Aldehydy i ketony to organiczne związki chemiczne zawierające grupę karbonylową.... Pokaż więcej
Zarejestruj się, aby zobaczyć notatkęTo nic nie kosztuje!
Dostęp do wszystkich materiałów
Popraw swoje oceny
Dołącz do milionów studentów
Knowunity AI
Przedmioty
Triangle Congruence and Similarity Theorems
Triangle Properties and Classification
Linear Equations and Graphs
Geometric Angle Relationships
Trigonometric Functions and Identities
Equation Solving Techniques
Circle Geometry Fundamentals
Division Operations and Methods
Basic Differentiation Rules
Exponent and Logarithm Properties
Pokaż wszystkie tematy
Human Organ Systems
Reproductive Cell Cycles
Biological Sciences Subdisciplines
Cellular Energy Metabolism
Autotrophic Energy Processes
Inheritance Patterns and Principles
Biomolecular Structure and Organization
Cell Cycle and Division Mechanics
Cellular Organization and Development
Biological Structural Organization
Pokaż wszystkie tematy
Chemical Sciences and Applications
Atomic Structure and Composition
Molecular Electron Structure Representation
Atomic Electron Behavior
Matter Properties and Water
Mole Concept and Calculations
Gas Laws and Behavior
Periodic Table Organization
Chemical Thermodynamics Fundamentals
Chemical Bond Types and Properties
Pokaż wszystkie tematy
European Renaissance and Enlightenment
European Cultural Movements 800-1920
American Revolution Era 1763-1797
American Civil War 1861-1865
Global Imperial Systems
Mongol and Chinese Dynasties
U.S. Presidents and World Leaders
Historical Sources and Documentation
World Wars Era and Impact
World Religious Systems
Pokaż wszystkie tematy
Classic and Contemporary Novels
Literary Character Analysis
Rhetorical Theory and Practice
Classic Literary Narratives
Reading Analysis and Interpretation
Narrative Structure and Techniques
English Language Components
Influential English-Language Authors
Basic Sentence Structure
Narrative Voice and Perspective
Pokaż wszystkie tematy
524
•
Zaktualizowano Mar 15, 2026
•
Kasia Michnowicz
@kasiamichnowicz_
Aldehydy i ketony to organiczne związki chemiczne zawierające grupę karbonylową.... Pokaż więcej









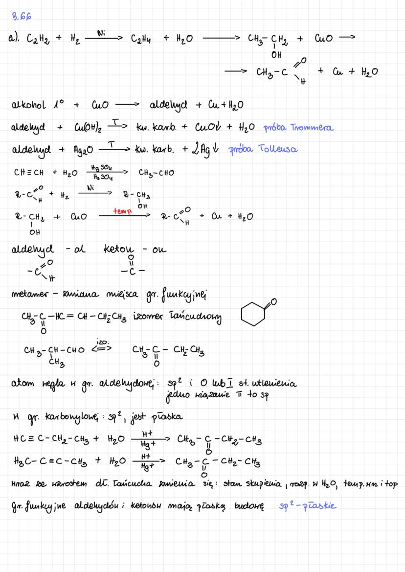
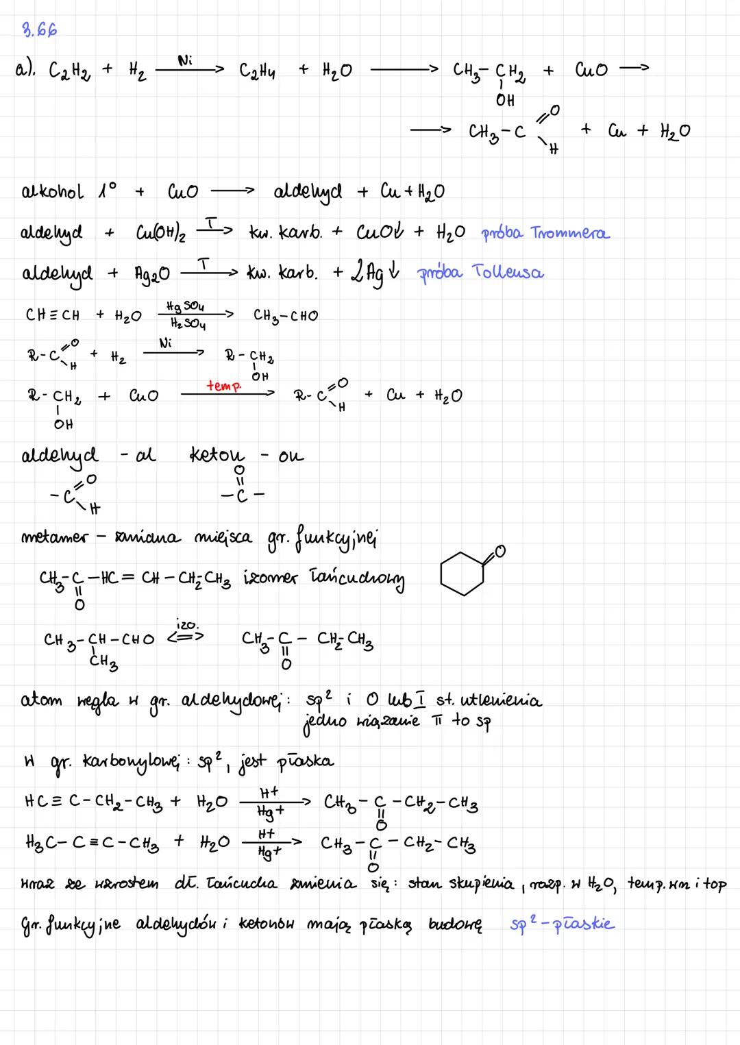
Aldehydy zawierają grupę aldehydową na końcu łańcucha węglowego. Ich ogólny wzór to R-C\O\H, gdzie R to grupa alkilowa. Tworzą szereg homologiczny zaczynający się od metanalu (HCHO) poprzez etanal (CH₃CHO), propanal (CH₃CH₂CHO) i kolejne.
Nazewnictwo aldehydów jest proste - do nazwy alkanu dodajemy końcówkę "-al". Ważne jest też, że aldehydy wykazują izomerię, np. butanal (CH₃CH₂CH₂CHO) i 2-metylopropanol mają ten sam wzór sumaryczny, ale inną budowę.
Aldehydy otrzymuje się głównie przez utlenianie alkoholi I-rzędowych. W reakcji tej alkohol reaguje z tlenkiem miedzi(II) w podwyższonej temperaturze, tworząc aldehyd, miedź metaliczną i wodę.
💡 Zapamiętaj: Grupa aldehydowa zawsze znajduje się na końcu łańcucha węglowego, co wpływa na jej reaktywność. Dzięki temu aldehydy ulegają charakterystycznym reakcjom addycji i polimeryzacji.

Aldehydy charakteryzują się dużą reaktywnością chemiczną ze względu na obecność grupy karbonylowej. Najważniejsze reakcje to redukcja i utlenianie. Podczas redukcji (np. z wodorem w obecności niklu jako katalizatora) aldehydy przekształcają się w alkohole I-rzędowe.
Szczególnie ważne są reakcje utleniania, które pozwalają na identyfikację aldehydów. Próba Trommera z wodorotlenkiem miedzi(II) oraz próba Tollensa z amoniakalnym roztworem tlenku srebra to podstawowe testy na obecność aldehydów. W obu przypadkach powstaje kwas karboksylowy, a odczynnik ulega redukcji.
W miarę wydłużania łańcucha węglowego maleje polarność aldehydów, a tym samym ich rozpuszczalność w wodzie. Najprostsze aldehydy, jak formaldehyd (HCHO) i acetaldehyd (CH₃CHO), są dobrze rozpuszczalne w wodzie.
⚠️ Uwaga: Formaldehyd w roztworze wodnym tworzy formalinę , która jest szeroko stosowana jako środek konserwujący i dezynfekujący.

Aldehydy mogą ulegać ciekawym reakcjom tworzenia większych struktur. Jedną z nich jest trimeryzacja, gdzie trzy cząsteczki aldehydu łączą się w pierścień. Przykładowo, formaldehyd może tworzyć trioksan - cykliczną strukturę o wzorze (CH₂O)₃.
W procesie polimeryzacji formaldehyd tworzy poliformaldehyd, długi łańcuch jednostek -CH₂O-. Ta reakcja zachodzi w odpowiedniej temperaturze i prowadzi do powstania materiałów polimerowych o cennych właściwościach.
Aldehydy mogą również uczestniczyć w reakcjach polikondensacji, gdzie dwa różne substraty reagują ze sobą, tworząc produkt wielkocząsteczkowy i małocząsteczkowy produkt uboczny (najczęściej wodę). Te reakcje są kluczowe w produkcji wielu tworzyw sztucznych.
💡 Pamiętaj: Aldehydy mają właściwości redukujące, co można zaobserwować w próbie Trommera. Gdy dodamy aldehyd do roztworu Cu(OH)₂, kompleks ulega redukcji do Cu₂O (ceglastego osadu), co potwierdza obecność grupy aldehydowej.

Aldehydy łatwo ulegają reakcjom utleniania i redukcji. W reakcjach z silnymi utleniaczami, jak nadmanganian potasu (KMnO₄), aldehydy są utleniane do kwasów karboksylowych lub nawet całkowicie do CO₂ i H₂O, w zależności od warunków.
Przykładowa reakcja z nadmanganianem potasu w środowisku kwasowym: 5HCHO + 4KMnO₄ + 6H₂SO₄ → 5CO₂ + 2K₂SO₄ + 4MnSO₄ + 11H₂O
Podczas tej reakcji można zaobserwować odbarwienie fioletowego roztworu KMnO₄ i wydzielanie się gazu (CO₂). To potwierdza, że aldehydy są dobrymi reduktorami.
Ciekawym przypadkiem jest reakcja dysproporcjonowania (reakcja Cannizzaro), w której część cząsteczek aldehydu ulega utlenieniu, a część redukcji. Ta reakcja zachodzi szczególnie łatwo w przypadku aldehydów aromatycznych, jak benzenokarboaldehyd.
🔍 Praktyczna wskazówka: Reakcje redoks aldehydów wykorzystuje się nie tylko w analityce chemicznej do wykrywania tych związków, ale też w syntezie organicznej do otrzymywania różnych pochodnych.

Nazewnictwo aldehydów wymaga znajomości podstawowych zasad - grupa aldehydowa znajduje się na końcu łańcucha i otrzymuje najniższy możliwy numer. Przykłady: metanal, 2-metylopropanal, but-2-enal, 3-metylobutanal, cykloheksankarboaldehyd.
Rysowanie wzorów strukturalnych to kolejna ważna umiejętność. Na przykład 2-metylopentanal to CH₃-CH₂-CH₂-CH(CH₃)-CHO, a 2,4-dimetylopentanal to CH₃-CH(CH₃)-CH₂-CH(CH₃)-CHO.
Znajomość reakcji aldehydów pozwala rozwiązywać zadania dotyczące ich przemian. Oto typowe przykłady:
💡 Zapamiętaj: Próby Tollensa i Trommera pozwalają wykryć grupę aldehydową w związkach organicznych. Positive wynik tych prób (wytrącenie srebra lub powstanie czerwonego osadu Cu₂O) jednoznacznie wskazuje na obecność aldehydu.

Ketony, podobnie jak aldehydy, zawierają grupę karbonylową , ale umiejscowioną między dwoma atomami węgla. Ogólny wzór ketonu to R-CO-R', gdzie R i R' to grupy alkilowe lub arylowe.
W nazewnictwie systematycznym ketony otrzymują końcówkę "-on", a pozycję grupy karbonylowej oznacza się liczbą. Przykłady: butan-2-on (CH₃COCH₂CH₃), 3-etylopentan-2-on (CH₃COCH(C₂H₅)CH₂CH₃), cykloheksanon.
Ketony mogą mieć w swojej strukturze także inne grupy funkcyjne lub wiązania nienasycone, np. pent-4-en-2-on czy 4-bromopentan-2-on (CH₃COCH₂CH(Br)CH₃).
🔑 Kluczowa różnica: Grupa karbonylowa w ketonach znajduje się między atomami węgla , natomiast w aldehydach na końcu łańcucha . Ta różnica w budowie ma ogromny wpływ na właściwości chemiczne tych związków.

Aldehydy i ketony mają podobną grupę funkcyjną (karbonylową), ale różnice w jej położeniu wpływają na ich reaktywność. Grupa karbonylowa w obu przypadkach ma budowę płaską (hybrydyzacja sp²), co wpływa na ich właściwości.
Aldehydy są bardziej reaktywne niż ketony, szczególnie w reakcjach utleniania. Podczas gdy aldehydy łatwo utleniają się do kwasów karboksylowych, ketony są bardziej odporne na utlenianie. Dlatego próby Tollensa i Trommera dają pozytywne wyniki tylko dla aldehydów.
Oba typy związków mogą powstawać w reakcji hydratacji alkinów. Na przykład:
Wraz ze wzrostem długości łańcucha węglowego zmieniają się właściwości fizyczne aldehydów i ketonów: stan skupienia, rozpuszczalność w wodzie oraz temperatury topnienia i wrzenia.
💡 Ciekawostka: Grupa karbonylowa zarówno w aldehydach, jak i ketonach ma płaską strukturę ze względu na hybrydyzację sp² atomu węgla. To wpływa na geometrię całej cząsteczki i jej właściwości.

Aldehydy i ketony wykazują zróżnicowaną reaktywność w różnych typach reakcji. W reakcjach z chlorem w obecności światła (hv) zachodzi substytucja rodnikowa prowadząca do powstania produktu chlorowanego i HCl.
W środowisku zasadowym (KOH) w podwyższonej temperaturze mogą zachodzić reakcje eliminacji, natomiast addycja elektrofilowa jest typowa dla reakcji z halogenami, jak Cl₂.
Alkohole pierwszorzędowe mogą być utleniane tlenkiem miedzi(II) do aldehydów: ROH + CuO → RCHO + Cu + H₂O. Reakcja ta wymaga podwyższonej temperatury i jest ważną metodą otrzymywania aldehydów.
⚗️ Laboratoryjnie: Przy planowaniu syntezy pamiętaj, że do otrzymania 4 moli aldehydu potrzebujesz 4 mole alkoholu i 8 moli CuO (dwukrotnie więcej utleniacza). Dbałość o proporcje reagentów jest kluczowa dla wysokiej wydajności.
Nasz asystent AI jest specjalnie dostosowany do potrzeb uczniów. W oparciu o miliony treści, które mamy na platformie, możemy udzielać uczniom naprawdę znaczących i trafnych odpowiedzi. Ale nie chodzi tylko o odpowiedzi, towarzysz prowadzi również uczniów przez codzienne wyzwania związane z nauką, ze spersonalizowanymi planami nauki, quizami lub treściami na czacie i 100% personalizacją opartą na umiejętnościach i rozwoju uczniów.
Aplikację możesz pobrać z Google Play i Apple Store.
Tak, masz całkowicie darmowy dostęp do wszystkich notatek w aplikacji, możesz w każdej chwili rozmawiać z Ekspertami lub ich obserwować. Możesz użyć punktów, aby odblokować pewne funkcje w aplikacji, które również możesz otrzymać za darmo. Dodatkowo oferujemy usługę Knowunity Premium, która pozwala na odblokowanie większej liczby funkcji.
App Store
Google Play
Aplikacja jest bardzo prosta i dobrze przemyślana. Do tej pory znalazłem wszystko, czego szukałem i mogłem się wiele nauczyć z innych notatek! Na pewno wykorzystam aplikację do pomocy przy robieniu prac domowych! No i oczywiście bardzo pomaga też jako inspiracja do robienia swoich notatek.
Stefan S
użytkownik iOS
Ta aplikacja jest naprawdę świetna. Jest tak wiele notatek i pomocnych informacji [...]. Moim problematycznym przedmiotem jest język niemiecki, a w aplikacji jest w czym wybierać. Dzięki tej aplikacji poprawiłam swój niemiecki. Polecam ją każdemu.
Samantha Klich
użytkownik Androida
Wow, jestem w szoku. Właśnie wypróbowałam aplikację, ponieważ widziałam ją kilka razy reklamowaną na TikToku jestem absolutnie w szoku. Ta aplikacja jest POMOCĄ, której potrzebujesz w szkole i przede wszystkim oferuje tak wiele rzeczy jak notatki czy streszczenia, które są BARDZO pomocne w moim przypadku.
Anna
użytkownik iOS
Kocham tę aplikację! Pomaga mi w zadaniach domowych, motywuje mnie i polepsza mi dzień. Dzięki tej aplikacji moje oceny się poprawiły. Lepszej aplikacji nie znajdę!🩷
Patrycja
użytkowniczka iOS
Super aplikacja! Ma odpowiedzi na wszystkie zadania. Testuję ją od paru miesięcy i jest po prostu perfekcyjna.
Szymon
użytkownik Android
Super aplikacja do nauki i sprawdzania wiedzy. Można znaleźć notatki z WSZYSTKICH przedmiotów. Polecam tym, którzy celują w oceny 5 i 6 😄
Szymon
użytkownik iOS
Aplikacja jest po prostu świetna! Wystarczy, że wpiszę w pasku wyszukiwania swój temat i od razu mam wyniki. Nie muszę oglądać 10 filmów na YouTube, żeby coś zrozumieć, więc oszczędzam swój czas. Po prostu polecam!
Kuba T
użytkownik Androida
W szkole byłem bardzo kiepski z matematyki, ale dzięki tej aplikacji radzę sobie teraz lepiej. Jestem bardzo wdzięczny, że ją stworzyliście.
Kriss
użytkownik Androida
Korzystam z Knowunity od ponad roku i jest mega! Najlepsze opcje z tej apki: ⭐️ Gotowe notatki ⭐️ Spersonalizowane treści ⭐️ Dostęp do chatu GPT W WERSJI SZKOLNEJ ⭐️ Konwersacje z innymi uczniami 🤍 NAUKA WRESZCIE NIE JEST NUDNA 🤍
Gosia
użytkowniczka Android
Bardzo lubię aplikację Knowunity, ponieważ pomaga mi w nauce. Odkąd ją mam moje oceny się poprawiają :)
Sara
użytkowniczka iOS
QUIZY I FISZKI SĄ SUPER PRZYDATNE I UWIELBIAM Knowunity AI. TO JEST DOSŁOWNIE JAK CHATGPT ALE MĄDRZEJSZY!! POMÓGŁ MI NAWET Z PROBLEMAMI Z TUSZEM DO RZĘS!! A TAKŻE Z PRAWDZIWYMI PRZEDMIOTAMI! OCZYWIŚCIE 😍😁😲🤑💗✨🎀😮
Krzysztof
użytkownik Android
Bardzo fajna aplikacja. Pomaga przygotować się do sprawdzianu, kartkówki lub odpowiedzi ustnej.
Oliwia
użytkowniczka iOS
Aplikacja jest bardzo prosta i dobrze przemyślana. Do tej pory znalazłem wszystko, czego szukałem i mogłem się wiele nauczyć z innych notatek! Na pewno wykorzystam aplikację do pomocy przy robieniu prac domowych! No i oczywiście bardzo pomaga też jako inspiracja do robienia swoich notatek.
Stefan S
użytkownik iOS
Ta aplikacja jest naprawdę świetna. Jest tak wiele notatek i pomocnych informacji [...]. Moim problematycznym przedmiotem jest język niemiecki, a w aplikacji jest w czym wybierać. Dzięki tej aplikacji poprawiłam swój niemiecki. Polecam ją każdemu.
Samantha Klich
użytkownik Androida
Wow, jestem w szoku. Właśnie wypróbowałam aplikację, ponieważ widziałam ją kilka razy reklamowaną na TikToku jestem absolutnie w szoku. Ta aplikacja jest POMOCĄ, której potrzebujesz w szkole i przede wszystkim oferuje tak wiele rzeczy jak notatki czy streszczenia, które są BARDZO pomocne w moim przypadku.
Anna
użytkownik iOS
Kocham tę aplikację! Pomaga mi w zadaniach domowych, motywuje mnie i polepsza mi dzień. Dzięki tej aplikacji moje oceny się poprawiły. Lepszej aplikacji nie znajdę!🩷
Patrycja
użytkowniczka iOS
Super aplikacja! Ma odpowiedzi na wszystkie zadania. Testuję ją od paru miesięcy i jest po prostu perfekcyjna.
Szymon
użytkownik Android
Super aplikacja do nauki i sprawdzania wiedzy. Można znaleźć notatki z WSZYSTKICH przedmiotów. Polecam tym, którzy celują w oceny 5 i 6 😄
Szymon
użytkownik iOS
Aplikacja jest po prostu świetna! Wystarczy, że wpiszę w pasku wyszukiwania swój temat i od razu mam wyniki. Nie muszę oglądać 10 filmów na YouTube, żeby coś zrozumieć, więc oszczędzam swój czas. Po prostu polecam!
Kuba T
użytkownik Androida
W szkole byłem bardzo kiepski z matematyki, ale dzięki tej aplikacji radzę sobie teraz lepiej. Jestem bardzo wdzięczny, że ją stworzyliście.
Kriss
użytkownik Androida
Korzystam z Knowunity od ponad roku i jest mega! Najlepsze opcje z tej apki: ⭐️ Gotowe notatki ⭐️ Spersonalizowane treści ⭐️ Dostęp do chatu GPT W WERSJI SZKOLNEJ ⭐️ Konwersacje z innymi uczniami 🤍 NAUKA WRESZCIE NIE JEST NUDNA 🤍
Gosia
użytkowniczka Android
Bardzo lubię aplikację Knowunity, ponieważ pomaga mi w nauce. Odkąd ją mam moje oceny się poprawiają :)
Sara
użytkowniczka iOS
QUIZY I FISZKI SĄ SUPER PRZYDATNE I UWIELBIAM Knowunity AI. TO JEST DOSŁOWNIE JAK CHATGPT ALE MĄDRZEJSZY!! POMÓGŁ MI NAWET Z PROBLEMAMI Z TUSZEM DO RZĘS!! A TAKŻE Z PRAWDZIWYMI PRZEDMIOTAMI! OCZYWIŚCIE 😍😁😲🤑💗✨🎀😮
Krzysztof
użytkownik Android
Bardzo fajna aplikacja. Pomaga przygotować się do sprawdzianu, kartkówki lub odpowiedzi ustnej.
Oliwia
użytkowniczka iOS
Kasia Michnowicz
@kasiamichnowicz_
Aldehydy i ketony to organiczne związki chemiczne zawierające grupę karbonylową. Różnią się miejscem występowania tej grupy - w aldehydach znajduje się na końcu łańcucha, a w ketonach w środku. Te związki odgrywają ważną rolę w chemii organicznej i mają liczne... Pokaż więcej

Dostęp do wszystkich materiałów
Popraw swoje oceny
Dołącz do milionów studentów
Aldehydy zawierają grupę aldehydową na końcu łańcucha węglowego. Ich ogólny wzór to R-C\O\H, gdzie R to grupa alkilowa. Tworzą szereg homologiczny zaczynający się od metanalu (HCHO) poprzez etanal (CH₃CHO), propanal (CH₃CH₂CHO) i kolejne.
Nazewnictwo aldehydów jest proste - do nazwy alkanu dodajemy końcówkę "-al". Ważne jest też, że aldehydy wykazują izomerię, np. butanal (CH₃CH₂CH₂CHO) i 2-metylopropanol mają ten sam wzór sumaryczny, ale inną budowę.
Aldehydy otrzymuje się głównie przez utlenianie alkoholi I-rzędowych. W reakcji tej alkohol reaguje z tlenkiem miedzi(II) w podwyższonej temperaturze, tworząc aldehyd, miedź metaliczną i wodę.
💡 Zapamiętaj: Grupa aldehydowa zawsze znajduje się na końcu łańcucha węglowego, co wpływa na jej reaktywność. Dzięki temu aldehydy ulegają charakterystycznym reakcjom addycji i polimeryzacji.

Dostęp do wszystkich materiałów
Popraw swoje oceny
Dołącz do milionów studentów
Aldehydy charakteryzują się dużą reaktywnością chemiczną ze względu na obecność grupy karbonylowej. Najważniejsze reakcje to redukcja i utlenianie. Podczas redukcji (np. z wodorem w obecności niklu jako katalizatora) aldehydy przekształcają się w alkohole I-rzędowe.
Szczególnie ważne są reakcje utleniania, które pozwalają na identyfikację aldehydów. Próba Trommera z wodorotlenkiem miedzi(II) oraz próba Tollensa z amoniakalnym roztworem tlenku srebra to podstawowe testy na obecność aldehydów. W obu przypadkach powstaje kwas karboksylowy, a odczynnik ulega redukcji.
W miarę wydłużania łańcucha węglowego maleje polarność aldehydów, a tym samym ich rozpuszczalność w wodzie. Najprostsze aldehydy, jak formaldehyd (HCHO) i acetaldehyd (CH₃CHO), są dobrze rozpuszczalne w wodzie.
⚠️ Uwaga: Formaldehyd w roztworze wodnym tworzy formalinę , która jest szeroko stosowana jako środek konserwujący i dezynfekujący.

Dostęp do wszystkich materiałów
Popraw swoje oceny
Dołącz do milionów studentów
Aldehydy mogą ulegać ciekawym reakcjom tworzenia większych struktur. Jedną z nich jest trimeryzacja, gdzie trzy cząsteczki aldehydu łączą się w pierścień. Przykładowo, formaldehyd może tworzyć trioksan - cykliczną strukturę o wzorze (CH₂O)₃.
W procesie polimeryzacji formaldehyd tworzy poliformaldehyd, długi łańcuch jednostek -CH₂O-. Ta reakcja zachodzi w odpowiedniej temperaturze i prowadzi do powstania materiałów polimerowych o cennych właściwościach.
Aldehydy mogą również uczestniczyć w reakcjach polikondensacji, gdzie dwa różne substraty reagują ze sobą, tworząc produkt wielkocząsteczkowy i małocząsteczkowy produkt uboczny (najczęściej wodę). Te reakcje są kluczowe w produkcji wielu tworzyw sztucznych.
💡 Pamiętaj: Aldehydy mają właściwości redukujące, co można zaobserwować w próbie Trommera. Gdy dodamy aldehyd do roztworu Cu(OH)₂, kompleks ulega redukcji do Cu₂O (ceglastego osadu), co potwierdza obecność grupy aldehydowej.

Dostęp do wszystkich materiałów
Popraw swoje oceny
Dołącz do milionów studentów
Aldehydy łatwo ulegają reakcjom utleniania i redukcji. W reakcjach z silnymi utleniaczami, jak nadmanganian potasu (KMnO₄), aldehydy są utleniane do kwasów karboksylowych lub nawet całkowicie do CO₂ i H₂O, w zależności od warunków.
Przykładowa reakcja z nadmanganianem potasu w środowisku kwasowym: 5HCHO + 4KMnO₄ + 6H₂SO₄ → 5CO₂ + 2K₂SO₄ + 4MnSO₄ + 11H₂O
Podczas tej reakcji można zaobserwować odbarwienie fioletowego roztworu KMnO₄ i wydzielanie się gazu (CO₂). To potwierdza, że aldehydy są dobrymi reduktorami.
Ciekawym przypadkiem jest reakcja dysproporcjonowania (reakcja Cannizzaro), w której część cząsteczek aldehydu ulega utlenieniu, a część redukcji. Ta reakcja zachodzi szczególnie łatwo w przypadku aldehydów aromatycznych, jak benzenokarboaldehyd.
🔍 Praktyczna wskazówka: Reakcje redoks aldehydów wykorzystuje się nie tylko w analityce chemicznej do wykrywania tych związków, ale też w syntezie organicznej do otrzymywania różnych pochodnych.

Dostęp do wszystkich materiałów
Popraw swoje oceny
Dołącz do milionów studentów
Nazewnictwo aldehydów wymaga znajomości podstawowych zasad - grupa aldehydowa znajduje się na końcu łańcucha i otrzymuje najniższy możliwy numer. Przykłady: metanal, 2-metylopropanal, but-2-enal, 3-metylobutanal, cykloheksankarboaldehyd.
Rysowanie wzorów strukturalnych to kolejna ważna umiejętność. Na przykład 2-metylopentanal to CH₃-CH₂-CH₂-CH(CH₃)-CHO, a 2,4-dimetylopentanal to CH₃-CH(CH₃)-CH₂-CH(CH₃)-CHO.
Znajomość reakcji aldehydów pozwala rozwiązywać zadania dotyczące ich przemian. Oto typowe przykłady:
💡 Zapamiętaj: Próby Tollensa i Trommera pozwalają wykryć grupę aldehydową w związkach organicznych. Positive wynik tych prób (wytrącenie srebra lub powstanie czerwonego osadu Cu₂O) jednoznacznie wskazuje na obecność aldehydu.

Dostęp do wszystkich materiałów
Popraw swoje oceny
Dołącz do milionów studentów
Ketony, podobnie jak aldehydy, zawierają grupę karbonylową , ale umiejscowioną między dwoma atomami węgla. Ogólny wzór ketonu to R-CO-R', gdzie R i R' to grupy alkilowe lub arylowe.
W nazewnictwie systematycznym ketony otrzymują końcówkę "-on", a pozycję grupy karbonylowej oznacza się liczbą. Przykłady: butan-2-on (CH₃COCH₂CH₃), 3-etylopentan-2-on (CH₃COCH(C₂H₅)CH₂CH₃), cykloheksanon.
Ketony mogą mieć w swojej strukturze także inne grupy funkcyjne lub wiązania nienasycone, np. pent-4-en-2-on czy 4-bromopentan-2-on (CH₃COCH₂CH(Br)CH₃).
🔑 Kluczowa różnica: Grupa karbonylowa w ketonach znajduje się między atomami węgla , natomiast w aldehydach na końcu łańcucha . Ta różnica w budowie ma ogromny wpływ na właściwości chemiczne tych związków.

Dostęp do wszystkich materiałów
Popraw swoje oceny
Dołącz do milionów studentów
Aldehydy i ketony mają podobną grupę funkcyjną (karbonylową), ale różnice w jej położeniu wpływają na ich reaktywność. Grupa karbonylowa w obu przypadkach ma budowę płaską (hybrydyzacja sp²), co wpływa na ich właściwości.
Aldehydy są bardziej reaktywne niż ketony, szczególnie w reakcjach utleniania. Podczas gdy aldehydy łatwo utleniają się do kwasów karboksylowych, ketony są bardziej odporne na utlenianie. Dlatego próby Tollensa i Trommera dają pozytywne wyniki tylko dla aldehydów.
Oba typy związków mogą powstawać w reakcji hydratacji alkinów. Na przykład:
Wraz ze wzrostem długości łańcucha węglowego zmieniają się właściwości fizyczne aldehydów i ketonów: stan skupienia, rozpuszczalność w wodzie oraz temperatury topnienia i wrzenia.
💡 Ciekawostka: Grupa karbonylowa zarówno w aldehydach, jak i ketonach ma płaską strukturę ze względu na hybrydyzację sp² atomu węgla. To wpływa na geometrię całej cząsteczki i jej właściwości.

Dostęp do wszystkich materiałów
Popraw swoje oceny
Dołącz do milionów studentów
Aldehydy i ketony wykazują zróżnicowaną reaktywność w różnych typach reakcji. W reakcjach z chlorem w obecności światła (hv) zachodzi substytucja rodnikowa prowadząca do powstania produktu chlorowanego i HCl.
W środowisku zasadowym (KOH) w podwyższonej temperaturze mogą zachodzić reakcje eliminacji, natomiast addycja elektrofilowa jest typowa dla reakcji z halogenami, jak Cl₂.
Alkohole pierwszorzędowe mogą być utleniane tlenkiem miedzi(II) do aldehydów: ROH + CuO → RCHO + Cu + H₂O. Reakcja ta wymaga podwyższonej temperatury i jest ważną metodą otrzymywania aldehydów.
⚗️ Laboratoryjnie: Przy planowaniu syntezy pamiętaj, że do otrzymania 4 moli aldehydu potrzebujesz 4 mole alkoholu i 8 moli CuO (dwukrotnie więcej utleniacza). Dbałość o proporcje reagentów jest kluczowa dla wysokiej wydajności.
Nasz asystent AI jest specjalnie dostosowany do potrzeb uczniów. W oparciu o miliony treści, które mamy na platformie, możemy udzielać uczniom naprawdę znaczących i trafnych odpowiedzi. Ale nie chodzi tylko o odpowiedzi, towarzysz prowadzi również uczniów przez codzienne wyzwania związane z nauką, ze spersonalizowanymi planami nauki, quizami lub treściami na czacie i 100% personalizacją opartą na umiejętnościach i rozwoju uczniów.
Aplikację możesz pobrać z Google Play i Apple Store.
Tak, masz całkowicie darmowy dostęp do wszystkich notatek w aplikacji, możesz w każdej chwili rozmawiać z Ekspertami lub ich obserwować. Możesz użyć punktów, aby odblokować pewne funkcje w aplikacji, które również możesz otrzymać za darmo. Dodatkowo oferujemy usługę Knowunity Premium, która pozwala na odblokowanie większej liczby funkcji.
14
Inteligentne Narzędzia NOWE
Przekształć te notatki w: ✓ 50+ Pytań Testowych ✓ Interaktywne Fiszki ✓ Pełny egzamin próbny ✓ Plany Eseju
App Store
Google Play
Aplikacja jest bardzo prosta i dobrze przemyślana. Do tej pory znalazłem wszystko, czego szukałem i mogłem się wiele nauczyć z innych notatek! Na pewno wykorzystam aplikację do pomocy przy robieniu prac domowych! No i oczywiście bardzo pomaga też jako inspiracja do robienia swoich notatek.
Stefan S
użytkownik iOS
Ta aplikacja jest naprawdę świetna. Jest tak wiele notatek i pomocnych informacji [...]. Moim problematycznym przedmiotem jest język niemiecki, a w aplikacji jest w czym wybierać. Dzięki tej aplikacji poprawiłam swój niemiecki. Polecam ją każdemu.
Samantha Klich
użytkownik Androida
Wow, jestem w szoku. Właśnie wypróbowałam aplikację, ponieważ widziałam ją kilka razy reklamowaną na TikToku jestem absolutnie w szoku. Ta aplikacja jest POMOCĄ, której potrzebujesz w szkole i przede wszystkim oferuje tak wiele rzeczy jak notatki czy streszczenia, które są BARDZO pomocne w moim przypadku.
Anna
użytkownik iOS
Kocham tę aplikację! Pomaga mi w zadaniach domowych, motywuje mnie i polepsza mi dzień. Dzięki tej aplikacji moje oceny się poprawiły. Lepszej aplikacji nie znajdę!🩷
Patrycja
użytkowniczka iOS
Super aplikacja! Ma odpowiedzi na wszystkie zadania. Testuję ją od paru miesięcy i jest po prostu perfekcyjna.
Szymon
użytkownik Android
Super aplikacja do nauki i sprawdzania wiedzy. Można znaleźć notatki z WSZYSTKICH przedmiotów. Polecam tym, którzy celują w oceny 5 i 6 😄
Szymon
użytkownik iOS
Aplikacja jest po prostu świetna! Wystarczy, że wpiszę w pasku wyszukiwania swój temat i od razu mam wyniki. Nie muszę oglądać 10 filmów na YouTube, żeby coś zrozumieć, więc oszczędzam swój czas. Po prostu polecam!
Kuba T
użytkownik Androida
W szkole byłem bardzo kiepski z matematyki, ale dzięki tej aplikacji radzę sobie teraz lepiej. Jestem bardzo wdzięczny, że ją stworzyliście.
Kriss
użytkownik Androida
Korzystam z Knowunity od ponad roku i jest mega! Najlepsze opcje z tej apki: ⭐️ Gotowe notatki ⭐️ Spersonalizowane treści ⭐️ Dostęp do chatu GPT W WERSJI SZKOLNEJ ⭐️ Konwersacje z innymi uczniami 🤍 NAUKA WRESZCIE NIE JEST NUDNA 🤍
Gosia
użytkowniczka Android
Bardzo lubię aplikację Knowunity, ponieważ pomaga mi w nauce. Odkąd ją mam moje oceny się poprawiają :)
Sara
użytkowniczka iOS
QUIZY I FISZKI SĄ SUPER PRZYDATNE I UWIELBIAM Knowunity AI. TO JEST DOSŁOWNIE JAK CHATGPT ALE MĄDRZEJSZY!! POMÓGŁ MI NAWET Z PROBLEMAMI Z TUSZEM DO RZĘS!! A TAKŻE Z PRAWDZIWYMI PRZEDMIOTAMI! OCZYWIŚCIE 😍😁😲🤑💗✨🎀😮
Krzysztof
użytkownik Android
Bardzo fajna aplikacja. Pomaga przygotować się do sprawdzianu, kartkówki lub odpowiedzi ustnej.
Oliwia
użytkowniczka iOS
Aplikacja jest bardzo prosta i dobrze przemyślana. Do tej pory znalazłem wszystko, czego szukałem i mogłem się wiele nauczyć z innych notatek! Na pewno wykorzystam aplikację do pomocy przy robieniu prac domowych! No i oczywiście bardzo pomaga też jako inspiracja do robienia swoich notatek.
Stefan S
użytkownik iOS
Ta aplikacja jest naprawdę świetna. Jest tak wiele notatek i pomocnych informacji [...]. Moim problematycznym przedmiotem jest język niemiecki, a w aplikacji jest w czym wybierać. Dzięki tej aplikacji poprawiłam swój niemiecki. Polecam ją każdemu.
Samantha Klich
użytkownik Androida
Wow, jestem w szoku. Właśnie wypróbowałam aplikację, ponieważ widziałam ją kilka razy reklamowaną na TikToku jestem absolutnie w szoku. Ta aplikacja jest POMOCĄ, której potrzebujesz w szkole i przede wszystkim oferuje tak wiele rzeczy jak notatki czy streszczenia, które są BARDZO pomocne w moim przypadku.
Anna
użytkownik iOS
Kocham tę aplikację! Pomaga mi w zadaniach domowych, motywuje mnie i polepsza mi dzień. Dzięki tej aplikacji moje oceny się poprawiły. Lepszej aplikacji nie znajdę!🩷
Patrycja
użytkowniczka iOS
Super aplikacja! Ma odpowiedzi na wszystkie zadania. Testuję ją od paru miesięcy i jest po prostu perfekcyjna.
Szymon
użytkownik Android
Super aplikacja do nauki i sprawdzania wiedzy. Można znaleźć notatki z WSZYSTKICH przedmiotów. Polecam tym, którzy celują w oceny 5 i 6 😄
Szymon
użytkownik iOS
Aplikacja jest po prostu świetna! Wystarczy, że wpiszę w pasku wyszukiwania swój temat i od razu mam wyniki. Nie muszę oglądać 10 filmów na YouTube, żeby coś zrozumieć, więc oszczędzam swój czas. Po prostu polecam!
Kuba T
użytkownik Androida
W szkole byłem bardzo kiepski z matematyki, ale dzięki tej aplikacji radzę sobie teraz lepiej. Jestem bardzo wdzięczny, że ją stworzyliście.
Kriss
użytkownik Androida
Korzystam z Knowunity od ponad roku i jest mega! Najlepsze opcje z tej apki: ⭐️ Gotowe notatki ⭐️ Spersonalizowane treści ⭐️ Dostęp do chatu GPT W WERSJI SZKOLNEJ ⭐️ Konwersacje z innymi uczniami 🤍 NAUKA WRESZCIE NIE JEST NUDNA 🤍
Gosia
użytkowniczka Android
Bardzo lubię aplikację Knowunity, ponieważ pomaga mi w nauce. Odkąd ją mam moje oceny się poprawiają :)
Sara
użytkowniczka iOS
QUIZY I FISZKI SĄ SUPER PRZYDATNE I UWIELBIAM Knowunity AI. TO JEST DOSŁOWNIE JAK CHATGPT ALE MĄDRZEJSZY!! POMÓGŁ MI NAWET Z PROBLEMAMI Z TUSZEM DO RZĘS!! A TAKŻE Z PRAWDZIWYMI PRZEDMIOTAMI! OCZYWIŚCIE 😍😁😲🤑💗✨🎀😮
Krzysztof
użytkownik Android
Bardzo fajna aplikacja. Pomaga przygotować się do sprawdzianu, kartkówki lub odpowiedzi ustnej.
Oliwia
użytkowniczka iOS