"Lalka" Bolesława Prusa to jedno z największych dzieł polskiego pozytywizmu.... Pokaż więcej
Zarejestruj się, aby zobaczyć notatkęTo nic nie kosztuje!
Dostęp do wszystkich materiałów
Popraw swoje oceny
Dołącz do milionów studentów
Knowunity AI
Przedmioty
Triangle Congruence and Similarity Theorems
Triangle Properties and Classification
Linear Equations and Graphs
Geometric Angle Relationships
Trigonometric Functions and Identities
Equation Solving Techniques
Circle Geometry Fundamentals
Division Operations and Methods
Basic Differentiation Rules
Exponent and Logarithm Properties
Pokaż wszystkie tematy
Human Organ Systems
Reproductive Cell Cycles
Biological Sciences Subdisciplines
Cellular Energy Metabolism
Autotrophic Energy Processes
Inheritance Patterns and Principles
Biomolecular Structure and Organization
Cell Cycle and Division Mechanics
Cellular Organization and Development
Biological Structural Organization
Pokaż wszystkie tematy
Chemical Sciences and Applications
Atomic Structure and Composition
Molecular Electron Structure Representation
Atomic Electron Behavior
Matter Properties and Water
Mole Concept and Calculations
Gas Laws and Behavior
Periodic Table Organization
Chemical Thermodynamics Fundamentals
Chemical Bond Types and Properties
Pokaż wszystkie tematy
European Renaissance and Enlightenment
European Cultural Movements 800-1920
American Revolution Era 1763-1797
American Civil War 1861-1865
Global Imperial Systems
Mongol and Chinese Dynasties
U.S. Presidents and World Leaders
Historical Sources and Documentation
World Wars Era and Impact
World Religious Systems
Pokaż wszystkie tematy
Classic and Contemporary Novels
Literary Character Analysis
Rhetorical Theory and Practice
Classic Literary Narratives
Reading Analysis and Interpretation
Narrative Structure and Techniques
English Language Components
Influential English-Language Authors
Basic Sentence Structure
Narrative Voice and Perspective
Pokaż wszystkie tematy
526
•
Zaktualizowano Mar 8, 2026
•
onichimiukd
@onichimiukd_a3twsmnh
"Lalka" Bolesława Prusa to jedno z największych dzieł polskiego pozytywizmu.... Pokaż więcej





"Lalka" to powieść polifoniczna - wykorzystująca różne rodzaje narracji, które pozwalają poznać bohaterów z wielu perspektyw. Narrator trzecioosobowy przedstawia fakty obiektywnie, a "Pamiętnik starego subiekta" wprowadza narrację pierwszoosobową Rzeckiego, pełną retrospekcji i subiektywnych komentarzy.
Istotnym chwytem jest mowa pozornie zależna, która pozwala zajrzeć w myśli bohaterów, szczególnie Wokulskiego i Izabeli. Dzięki takiemu zabiegowi możemy dokładnie poznać motywacje i uczucia postaci, co sprawia, że są one niezwykle autentyczne.
Izabela Łęcka to postać reprezentująca upadającą arystokrację. Ta piękna dwudziestopięciolatka skrywa pod maską doskonałych manier i wykształcenia moralne zepsucie. Jej życie wypełniają spotkania towarzyskie, bale i kwesty dobroczynne, które traktuje jedynie jako okazje do bycia w centrum zainteresowania.
Warto zapamiętać! Prus celowo umieszcza Wokulskiego ostatecznie we Francji - kraju wolności i nauki, pokazując kontrast między Polską tłamszącą indywidualizm a miejscem, gdzie naukowcy jak Geist mogą swobodnie rozwijać swoje talenty.

Stanisław Wokulski to bohater na pograniczu dwóch epok - ma w sobie zarówno cechy romantyka, jak i pozytywisty. Jego romantyczna natura objawia się w uczestnictwie w powstaniu styczniowym, wszechogarniającej miłości do Izabeli Łęckiej i tragicznym, tajemniczym zakończeniu jego losów.
Jako pozytywista Wokulski wykazuje szacunek dla nauki i wiedzy, jest przedsiębiorczą jednostką, która doszła do fortuny własną pracą. Angażuje się w działalność filantropijną, próbując realizować ideę pracy u podstaw. Stoi na granicy dwóch światów: upadającej arystokracji i rodzącego się kapitalizmu.
Wokulski jest także osobowością neurotyczną - pragnie kochać i być kochanym za wszelką cenę, zaprzecza sam sobie (gardzi Starskim, ale chciałby być taki jak on). Bardzo zależy mu na akceptacji środowiska Izabeli, jest wrażliwy na swoim punkcie i boi się towarzyskiego odrzucenia.
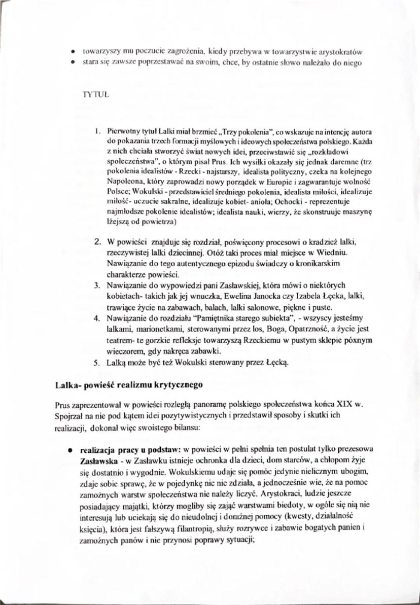
Ciekawostka: Pierwotny tytuł powieści miał brzmieć "Trzy pokolenia", co podkreślałoby znaczenie różnych generacji przedstawionych w utworze i zmiany zachodzące w społeczeństwie.

Prus pokazuje, że pozytywistyczne idee często pozostają jedynie w sferze postulatów. Praca organiczna w Polsce nie funkcjonuje - dużymi kapitałami dysponują tylko Niemcy i Żydzi, podczas gdy Polacy, a szczególnie arystokracja, uważają handel i pracę za coś poniżającego.
Postęp i nauka również nie znajdują uznania - naukowcy jak Geist, Ochocki czy Szuman traktowani są jak nieszkodliwi dziwacy. Społeczeństwo nie interesuje się nowymi odkryciami, zamykając sobie drogę do rozwoju.
Powieść krytycznie odnosi się też do realizacji hasła równouprawnienia kobiet. Helena Stawska, zmuszona do samodzielności, ciężko pracuje za znacznie mniejsze pieniądze niż mężczyźni. Prus pokazuje, że pozycja kobiety w ówczesnym społeczeństwie pozostaje niska.
Uwaga! W "Lalce" występuje język ezopowy - sposób pisania, w którym zamiast mówić wprost, autor używa parafraz. Przykładem jest "warzenie piwa" oznaczające udział Wokulskiego w powstaniu. Prus musiał stosować takie zabiegi ze względu na cenzurę.

Hasło asymilacji Żydów również pozostaje niespełnione - społeczeństwo przedstawione w powieści odnosi się do Żydów wrogo. Polacy przejawiają szowinizm i nacjonalizm, nie potrafiąc obiektywnie oceniać sytuacji. Subiekci ze sklepu Wokulskiego prześladują Szlangbauma tylko z powodu jego pochodzenia, mimo że ten udowodnił swój patriotyzm uczestnicząc w powstaniu styczniowym.
Prus przedstawia społeczeństwo pełne antagonizmów - od podziałów klasowych, przez narodowościowe, aż po różnice pokoleniowe. Zamiast jednoczyć się wokół wspólnych celów, jak kiedyś podczas Wiosny Ludów czy powstania styczniowego (co wspomina Rzecki), ludzie skupiają się na wzajemnej wrogości.
W powieści widać wyraźnie upadek dawnych wartości i brak nowych, które mogłyby je zastąpić. Arystokracja traci majątek i znaczenie, ale kurczowo trzyma się pozorów i konwenansów. Mieszczaństwo i kupcy bogacą się, ale często brak im moralnych fundamentów i szerszych horyzontów.
Kluczowe pytanie: Czy Prus w "Lalce" jest bardziej krytykiem czy wizjonerem? Zauważ, jak wiele z opisanych przez niego problemów społecznych pozostaje aktualnych również w naszych czasach!
Nasz asystent AI jest specjalnie dostosowany do potrzeb uczniów. W oparciu o miliony treści, które mamy na platformie, możemy udzielać uczniom naprawdę znaczących i trafnych odpowiedzi. Ale nie chodzi tylko o odpowiedzi, towarzysz prowadzi również uczniów przez codzienne wyzwania związane z nauką, ze spersonalizowanymi planami nauki, quizami lub treściami na czacie i 100% personalizacją opartą na umiejętnościach i rozwoju uczniów.
Aplikację możesz pobrać z Google Play i Apple Store.
Tak, masz całkowicie darmowy dostęp do wszystkich notatek w aplikacji, możesz w każdej chwili rozmawiać z Ekspertami lub ich obserwować. Możesz użyć punktów, aby odblokować pewne funkcje w aplikacji, które również możesz otrzymać za darmo. Dodatkowo oferujemy usługę Knowunity Premium, która pozwala na odblokowanie większej liczby funkcji.
App Store
Google Play
Aplikacja jest bardzo prosta i dobrze przemyślana. Do tej pory znalazłem wszystko, czego szukałem i mogłem się wiele nauczyć z innych notatek! Na pewno wykorzystam aplikację do pomocy przy robieniu prac domowych! No i oczywiście bardzo pomaga też jako inspiracja do robienia swoich notatek.
Stefan S
użytkownik iOS
Ta aplikacja jest naprawdę świetna. Jest tak wiele notatek i pomocnych informacji [...]. Moim problematycznym przedmiotem jest język niemiecki, a w aplikacji jest w czym wybierać. Dzięki tej aplikacji poprawiłam swój niemiecki. Polecam ją każdemu.
Samantha Klich
użytkownik Androida
Wow, jestem w szoku. Właśnie wypróbowałam aplikację, ponieważ widziałam ją kilka razy reklamowaną na TikToku jestem absolutnie w szoku. Ta aplikacja jest POMOCĄ, której potrzebujesz w szkole i przede wszystkim oferuje tak wiele rzeczy jak notatki czy streszczenia, które są BARDZO pomocne w moim przypadku.
Anna
użytkownik iOS
Kocham tę aplikację! Pomaga mi w zadaniach domowych, motywuje mnie i polepsza mi dzień. Dzięki tej aplikacji moje oceny się poprawiły. Lepszej aplikacji nie znajdę!🩷
Patrycja
użytkowniczka iOS
Super aplikacja! Ma odpowiedzi na wszystkie zadania. Testuję ją od paru miesięcy i jest po prostu perfekcyjna.
Szymon
użytkownik Android
Super aplikacja do nauki i sprawdzania wiedzy. Można znaleźć notatki z WSZYSTKICH przedmiotów. Polecam tym, którzy celują w oceny 5 i 6 😄
Szymon
użytkownik iOS
Aplikacja jest po prostu świetna! Wystarczy, że wpiszę w pasku wyszukiwania swój temat i od razu mam wyniki. Nie muszę oglądać 10 filmów na YouTube, żeby coś zrozumieć, więc oszczędzam swój czas. Po prostu polecam!
Kuba T
użytkownik Androida
W szkole byłem bardzo kiepski z matematyki, ale dzięki tej aplikacji radzę sobie teraz lepiej. Jestem bardzo wdzięczny, że ją stworzyliście.
Kriss
użytkownik Androida
Korzystam z Knowunity od ponad roku i jest mega! Najlepsze opcje z tej apki: ⭐️ Gotowe notatki ⭐️ Spersonalizowane treści ⭐️ Dostęp do chatu GPT W WERSJI SZKOLNEJ ⭐️ Konwersacje z innymi uczniami 🤍 NAUKA WRESZCIE NIE JEST NUDNA 🤍
Gosia
użytkowniczka Android
Bardzo lubię aplikację Knowunity, ponieważ pomaga mi w nauce. Odkąd ją mam moje oceny się poprawiają :)
Sara
użytkowniczka iOS
QUIZY I FISZKI SĄ SUPER PRZYDATNE I UWIELBIAM Knowunity AI. TO JEST DOSŁOWNIE JAK CHATGPT ALE MĄDRZEJSZY!! POMÓGŁ MI NAWET Z PROBLEMAMI Z TUSZEM DO RZĘS!! A TAKŻE Z PRAWDZIWYMI PRZEDMIOTAMI! OCZYWIŚCIE 😍😁😲🤑💗✨🎀😮
Krzysztof
użytkownik Android
Bardzo fajna aplikacja. Pomaga przygotować się do sprawdzianu, kartkówki lub odpowiedzi ustnej.
Oliwia
użytkowniczka iOS
Aplikacja jest bardzo prosta i dobrze przemyślana. Do tej pory znalazłem wszystko, czego szukałem i mogłem się wiele nauczyć z innych notatek! Na pewno wykorzystam aplikację do pomocy przy robieniu prac domowych! No i oczywiście bardzo pomaga też jako inspiracja do robienia swoich notatek.
Stefan S
użytkownik iOS
Ta aplikacja jest naprawdę świetna. Jest tak wiele notatek i pomocnych informacji [...]. Moim problematycznym przedmiotem jest język niemiecki, a w aplikacji jest w czym wybierać. Dzięki tej aplikacji poprawiłam swój niemiecki. Polecam ją każdemu.
Samantha Klich
użytkownik Androida
Wow, jestem w szoku. Właśnie wypróbowałam aplikację, ponieważ widziałam ją kilka razy reklamowaną na TikToku jestem absolutnie w szoku. Ta aplikacja jest POMOCĄ, której potrzebujesz w szkole i przede wszystkim oferuje tak wiele rzeczy jak notatki czy streszczenia, które są BARDZO pomocne w moim przypadku.
Anna
użytkownik iOS
Kocham tę aplikację! Pomaga mi w zadaniach domowych, motywuje mnie i polepsza mi dzień. Dzięki tej aplikacji moje oceny się poprawiły. Lepszej aplikacji nie znajdę!🩷
Patrycja
użytkowniczka iOS
Super aplikacja! Ma odpowiedzi na wszystkie zadania. Testuję ją od paru miesięcy i jest po prostu perfekcyjna.
Szymon
użytkownik Android
Super aplikacja do nauki i sprawdzania wiedzy. Można znaleźć notatki z WSZYSTKICH przedmiotów. Polecam tym, którzy celują w oceny 5 i 6 😄
Szymon
użytkownik iOS
Aplikacja jest po prostu świetna! Wystarczy, że wpiszę w pasku wyszukiwania swój temat i od razu mam wyniki. Nie muszę oglądać 10 filmów na YouTube, żeby coś zrozumieć, więc oszczędzam swój czas. Po prostu polecam!
Kuba T
użytkownik Androida
W szkole byłem bardzo kiepski z matematyki, ale dzięki tej aplikacji radzę sobie teraz lepiej. Jestem bardzo wdzięczny, że ją stworzyliście.
Kriss
użytkownik Androida
Korzystam z Knowunity od ponad roku i jest mega! Najlepsze opcje z tej apki: ⭐️ Gotowe notatki ⭐️ Spersonalizowane treści ⭐️ Dostęp do chatu GPT W WERSJI SZKOLNEJ ⭐️ Konwersacje z innymi uczniami 🤍 NAUKA WRESZCIE NIE JEST NUDNA 🤍
Gosia
użytkowniczka Android
Bardzo lubię aplikację Knowunity, ponieważ pomaga mi w nauce. Odkąd ją mam moje oceny się poprawiają :)
Sara
użytkowniczka iOS
QUIZY I FISZKI SĄ SUPER PRZYDATNE I UWIELBIAM Knowunity AI. TO JEST DOSŁOWNIE JAK CHATGPT ALE MĄDRZEJSZY!! POMÓGŁ MI NAWET Z PROBLEMAMI Z TUSZEM DO RZĘS!! A TAKŻE Z PRAWDZIWYMI PRZEDMIOTAMI! OCZYWIŚCIE 😍😁😲🤑💗✨🎀😮
Krzysztof
użytkownik Android
Bardzo fajna aplikacja. Pomaga przygotować się do sprawdzianu, kartkówki lub odpowiedzi ustnej.
Oliwia
użytkowniczka iOS
onichimiukd
@onichimiukd_a3twsmnh
"Lalka" Bolesława Prusa to jedno z największych dzieł polskiego pozytywizmu. Powieść przedstawia losy Stanisława Wokulskiego - kupca rozdartego między romantycznymi ideałami a pozytywistycznym pragmatyzmem. Poznamy nie tylko złożony charakter głównego bohatera, ale też wielowarstwową konstrukcję powieści, która odzwierciedla skomplikowaną rzeczywistość... Pokaż więcej

Dostęp do wszystkich materiałów
Popraw swoje oceny
Dołącz do milionów studentów
"Lalka" to powieść polifoniczna - wykorzystująca różne rodzaje narracji, które pozwalają poznać bohaterów z wielu perspektyw. Narrator trzecioosobowy przedstawia fakty obiektywnie, a "Pamiętnik starego subiekta" wprowadza narrację pierwszoosobową Rzeckiego, pełną retrospekcji i subiektywnych komentarzy.
Istotnym chwytem jest mowa pozornie zależna, która pozwala zajrzeć w myśli bohaterów, szczególnie Wokulskiego i Izabeli. Dzięki takiemu zabiegowi możemy dokładnie poznać motywacje i uczucia postaci, co sprawia, że są one niezwykle autentyczne.
Izabela Łęcka to postać reprezentująca upadającą arystokrację. Ta piękna dwudziestopięciolatka skrywa pod maską doskonałych manier i wykształcenia moralne zepsucie. Jej życie wypełniają spotkania towarzyskie, bale i kwesty dobroczynne, które traktuje jedynie jako okazje do bycia w centrum zainteresowania.
Warto zapamiętać! Prus celowo umieszcza Wokulskiego ostatecznie we Francji - kraju wolności i nauki, pokazując kontrast między Polską tłamszącą indywidualizm a miejscem, gdzie naukowcy jak Geist mogą swobodnie rozwijać swoje talenty.

Dostęp do wszystkich materiałów
Popraw swoje oceny
Dołącz do milionów studentów
Stanisław Wokulski to bohater na pograniczu dwóch epok - ma w sobie zarówno cechy romantyka, jak i pozytywisty. Jego romantyczna natura objawia się w uczestnictwie w powstaniu styczniowym, wszechogarniającej miłości do Izabeli Łęckiej i tragicznym, tajemniczym zakończeniu jego losów.
Jako pozytywista Wokulski wykazuje szacunek dla nauki i wiedzy, jest przedsiębiorczą jednostką, która doszła do fortuny własną pracą. Angażuje się w działalność filantropijną, próbując realizować ideę pracy u podstaw. Stoi na granicy dwóch światów: upadającej arystokracji i rodzącego się kapitalizmu.
Wokulski jest także osobowością neurotyczną - pragnie kochać i być kochanym za wszelką cenę, zaprzecza sam sobie (gardzi Starskim, ale chciałby być taki jak on). Bardzo zależy mu na akceptacji środowiska Izabeli, jest wrażliwy na swoim punkcie i boi się towarzyskiego odrzucenia.
Ciekawostka: Pierwotny tytuł powieści miał brzmieć "Trzy pokolenia", co podkreślałoby znaczenie różnych generacji przedstawionych w utworze i zmiany zachodzące w społeczeństwie.

Dostęp do wszystkich materiałów
Popraw swoje oceny
Dołącz do milionów studentów
Prus pokazuje, że pozytywistyczne idee często pozostają jedynie w sferze postulatów. Praca organiczna w Polsce nie funkcjonuje - dużymi kapitałami dysponują tylko Niemcy i Żydzi, podczas gdy Polacy, a szczególnie arystokracja, uważają handel i pracę za coś poniżającego.
Postęp i nauka również nie znajdują uznania - naukowcy jak Geist, Ochocki czy Szuman traktowani są jak nieszkodliwi dziwacy. Społeczeństwo nie interesuje się nowymi odkryciami, zamykając sobie drogę do rozwoju.
Powieść krytycznie odnosi się też do realizacji hasła równouprawnienia kobiet. Helena Stawska, zmuszona do samodzielności, ciężko pracuje za znacznie mniejsze pieniądze niż mężczyźni. Prus pokazuje, że pozycja kobiety w ówczesnym społeczeństwie pozostaje niska.
Uwaga! W "Lalce" występuje język ezopowy - sposób pisania, w którym zamiast mówić wprost, autor używa parafraz. Przykładem jest "warzenie piwa" oznaczające udział Wokulskiego w powstaniu. Prus musiał stosować takie zabiegi ze względu na cenzurę.

Dostęp do wszystkich materiałów
Popraw swoje oceny
Dołącz do milionów studentów
Hasło asymilacji Żydów również pozostaje niespełnione - społeczeństwo przedstawione w powieści odnosi się do Żydów wrogo. Polacy przejawiają szowinizm i nacjonalizm, nie potrafiąc obiektywnie oceniać sytuacji. Subiekci ze sklepu Wokulskiego prześladują Szlangbauma tylko z powodu jego pochodzenia, mimo że ten udowodnił swój patriotyzm uczestnicząc w powstaniu styczniowym.
Prus przedstawia społeczeństwo pełne antagonizmów - od podziałów klasowych, przez narodowościowe, aż po różnice pokoleniowe. Zamiast jednoczyć się wokół wspólnych celów, jak kiedyś podczas Wiosny Ludów czy powstania styczniowego (co wspomina Rzecki), ludzie skupiają się na wzajemnej wrogości.
W powieści widać wyraźnie upadek dawnych wartości i brak nowych, które mogłyby je zastąpić. Arystokracja traci majątek i znaczenie, ale kurczowo trzyma się pozorów i konwenansów. Mieszczaństwo i kupcy bogacą się, ale często brak im moralnych fundamentów i szerszych horyzontów.
Kluczowe pytanie: Czy Prus w "Lalce" jest bardziej krytykiem czy wizjonerem? Zauważ, jak wiele z opisanych przez niego problemów społecznych pozostaje aktualnych również w naszych czasach!
Nasz asystent AI jest specjalnie dostosowany do potrzeb uczniów. W oparciu o miliony treści, które mamy na platformie, możemy udzielać uczniom naprawdę znaczących i trafnych odpowiedzi. Ale nie chodzi tylko o odpowiedzi, towarzysz prowadzi również uczniów przez codzienne wyzwania związane z nauką, ze spersonalizowanymi planami nauki, quizami lub treściami na czacie i 100% personalizacją opartą na umiejętnościach i rozwoju uczniów.
Aplikację możesz pobrać z Google Play i Apple Store.
Tak, masz całkowicie darmowy dostęp do wszystkich notatek w aplikacji, możesz w każdej chwili rozmawiać z Ekspertami lub ich obserwować. Możesz użyć punktów, aby odblokować pewne funkcje w aplikacji, które również możesz otrzymać za darmo. Dodatkowo oferujemy usługę Knowunity Premium, która pozwala na odblokowanie większej liczby funkcji.
3
Inteligentne Narzędzia NOWE
Przekształć te notatki w: ✓ 50+ Pytań Testowych ✓ Interaktywne Fiszki ✓ Pełny egzamin próbny ✓ Plany Eseju
Zgłębiaj kluczowe motywy i postacie w 'Lalce' Bolesława Prusa. Odkryj znaczenie tytułu, analizę Stanisława Wokulskiego jako romantyka i pozytywistę, oraz tematykę samotności, cierpienia i miłości. Idealne dla uczniów przygotowujących się do lekcji lub egzaminów.
Zgłębiaj świat mitologii w tej notatce, która omawia podział mitów, funkcje mitów oraz kluczowe postacie bogów greckich i rzymskich. Dowiedz się o mitach o narodzinach świata, ich znaczeniu w kulturze oraz o pojęciach mitologicznych obecnych w języku współczesnym. Idealne dla studentów i pasjonatów historii.
Analiza dramatu 'Kordian' Juliusza Słowackiego, koncentrująca się na kluczowych motywach, takich jak mesjanizm, romantyczny bohater oraz dylematy egzystencjalne. Odkryj, jak postać Kordiana odzwierciedla walkę o wolność i sens cierpienia w kontekście historycznym i literackim. Typ: analiza literacka.
Zgłębiaj epokę Baroku poprzez analizę kluczowych cech sztuki, literatury oraz myśli filozoficznej. Odkryj twórczość takich autorów jak Daniel Naborowski, Jan Andrzej Morsztyn i Mikołaj Sęp Szarzyński. Notatka zawiera omówienie nurtów literackich, motywów vanitas oraz wpływu Sarmatyzmu na kulturę polską. Idealna dla uczniów liceum i technikum.
Zgłębiaj kluczowe tematy i postacie w 'Lalce' Bolesława Prusa. Odkryj istotne koncepcje, takie jak pozytywizm, romantyzm, oraz charakterystyki głównych bohaterów, w tym Stanisława Wokulskiego i Izabeli Łęckiej. Idealne dla studentów literatury polskiej, którzy chcą zrozumieć kontekst społeczny i psychologiczny powieści.
Szczegółowa analiza satyry Ignacego Krasickiego „Świat Zepsuty”, koncentrująca się na celach satyrycznych, krytyce społecznej, oraz głównych wadach moralnych przedstawionych w utworze. Obejmuje również alegorie i dydaktyzm autora, co czyni tę notatkę niezbędnym materiałem dla studentów literatury polskiej.
App Store
Google Play
Aplikacja jest bardzo prosta i dobrze przemyślana. Do tej pory znalazłem wszystko, czego szukałem i mogłem się wiele nauczyć z innych notatek! Na pewno wykorzystam aplikację do pomocy przy robieniu prac domowych! No i oczywiście bardzo pomaga też jako inspiracja do robienia swoich notatek.
Stefan S
użytkownik iOS
Ta aplikacja jest naprawdę świetna. Jest tak wiele notatek i pomocnych informacji [...]. Moim problematycznym przedmiotem jest język niemiecki, a w aplikacji jest w czym wybierać. Dzięki tej aplikacji poprawiłam swój niemiecki. Polecam ją każdemu.
Samantha Klich
użytkownik Androida
Wow, jestem w szoku. Właśnie wypróbowałam aplikację, ponieważ widziałam ją kilka razy reklamowaną na TikToku jestem absolutnie w szoku. Ta aplikacja jest POMOCĄ, której potrzebujesz w szkole i przede wszystkim oferuje tak wiele rzeczy jak notatki czy streszczenia, które są BARDZO pomocne w moim przypadku.
Anna
użytkownik iOS
Kocham tę aplikację! Pomaga mi w zadaniach domowych, motywuje mnie i polepsza mi dzień. Dzięki tej aplikacji moje oceny się poprawiły. Lepszej aplikacji nie znajdę!🩷
Patrycja
użytkowniczka iOS
Super aplikacja! Ma odpowiedzi na wszystkie zadania. Testuję ją od paru miesięcy i jest po prostu perfekcyjna.
Szymon
użytkownik Android
Super aplikacja do nauki i sprawdzania wiedzy. Można znaleźć notatki z WSZYSTKICH przedmiotów. Polecam tym, którzy celują w oceny 5 i 6 😄
Szymon
użytkownik iOS
Aplikacja jest po prostu świetna! Wystarczy, że wpiszę w pasku wyszukiwania swój temat i od razu mam wyniki. Nie muszę oglądać 10 filmów na YouTube, żeby coś zrozumieć, więc oszczędzam swój czas. Po prostu polecam!
Kuba T
użytkownik Androida
W szkole byłem bardzo kiepski z matematyki, ale dzięki tej aplikacji radzę sobie teraz lepiej. Jestem bardzo wdzięczny, że ją stworzyliście.
Kriss
użytkownik Androida
Korzystam z Knowunity od ponad roku i jest mega! Najlepsze opcje z tej apki: ⭐️ Gotowe notatki ⭐️ Spersonalizowane treści ⭐️ Dostęp do chatu GPT W WERSJI SZKOLNEJ ⭐️ Konwersacje z innymi uczniami 🤍 NAUKA WRESZCIE NIE JEST NUDNA 🤍
Gosia
użytkowniczka Android
Bardzo lubię aplikację Knowunity, ponieważ pomaga mi w nauce. Odkąd ją mam moje oceny się poprawiają :)
Sara
użytkowniczka iOS
QUIZY I FISZKI SĄ SUPER PRZYDATNE I UWIELBIAM Knowunity AI. TO JEST DOSŁOWNIE JAK CHATGPT ALE MĄDRZEJSZY!! POMÓGŁ MI NAWET Z PROBLEMAMI Z TUSZEM DO RZĘS!! A TAKŻE Z PRAWDZIWYMI PRZEDMIOTAMI! OCZYWIŚCIE 😍😁😲🤑💗✨🎀😮
Krzysztof
użytkownik Android
Bardzo fajna aplikacja. Pomaga przygotować się do sprawdzianu, kartkówki lub odpowiedzi ustnej.
Oliwia
użytkowniczka iOS
Aplikacja jest bardzo prosta i dobrze przemyślana. Do tej pory znalazłem wszystko, czego szukałem i mogłem się wiele nauczyć z innych notatek! Na pewno wykorzystam aplikację do pomocy przy robieniu prac domowych! No i oczywiście bardzo pomaga też jako inspiracja do robienia swoich notatek.
Stefan S
użytkownik iOS
Ta aplikacja jest naprawdę świetna. Jest tak wiele notatek i pomocnych informacji [...]. Moim problematycznym przedmiotem jest język niemiecki, a w aplikacji jest w czym wybierać. Dzięki tej aplikacji poprawiłam swój niemiecki. Polecam ją każdemu.
Samantha Klich
użytkownik Androida
Wow, jestem w szoku. Właśnie wypróbowałam aplikację, ponieważ widziałam ją kilka razy reklamowaną na TikToku jestem absolutnie w szoku. Ta aplikacja jest POMOCĄ, której potrzebujesz w szkole i przede wszystkim oferuje tak wiele rzeczy jak notatki czy streszczenia, które są BARDZO pomocne w moim przypadku.
Anna
użytkownik iOS
Kocham tę aplikację! Pomaga mi w zadaniach domowych, motywuje mnie i polepsza mi dzień. Dzięki tej aplikacji moje oceny się poprawiły. Lepszej aplikacji nie znajdę!🩷
Patrycja
użytkowniczka iOS
Super aplikacja! Ma odpowiedzi na wszystkie zadania. Testuję ją od paru miesięcy i jest po prostu perfekcyjna.
Szymon
użytkownik Android
Super aplikacja do nauki i sprawdzania wiedzy. Można znaleźć notatki z WSZYSTKICH przedmiotów. Polecam tym, którzy celują w oceny 5 i 6 😄
Szymon
użytkownik iOS
Aplikacja jest po prostu świetna! Wystarczy, że wpiszę w pasku wyszukiwania swój temat i od razu mam wyniki. Nie muszę oglądać 10 filmów na YouTube, żeby coś zrozumieć, więc oszczędzam swój czas. Po prostu polecam!
Kuba T
użytkownik Androida
W szkole byłem bardzo kiepski z matematyki, ale dzięki tej aplikacji radzę sobie teraz lepiej. Jestem bardzo wdzięczny, że ją stworzyliście.
Kriss
użytkownik Androida
Korzystam z Knowunity od ponad roku i jest mega! Najlepsze opcje z tej apki: ⭐️ Gotowe notatki ⭐️ Spersonalizowane treści ⭐️ Dostęp do chatu GPT W WERSJI SZKOLNEJ ⭐️ Konwersacje z innymi uczniami 🤍 NAUKA WRESZCIE NIE JEST NUDNA 🤍
Gosia
użytkowniczka Android
Bardzo lubię aplikację Knowunity, ponieważ pomaga mi w nauce. Odkąd ją mam moje oceny się poprawiają :)
Sara
użytkowniczka iOS
QUIZY I FISZKI SĄ SUPER PRZYDATNE I UWIELBIAM Knowunity AI. TO JEST DOSŁOWNIE JAK CHATGPT ALE MĄDRZEJSZY!! POMÓGŁ MI NAWET Z PROBLEMAMI Z TUSZEM DO RZĘS!! A TAKŻE Z PRAWDZIWYMI PRZEDMIOTAMI! OCZYWIŚCIE 😍😁😲🤑💗✨🎀😮
Krzysztof
użytkownik Android
Bardzo fajna aplikacja. Pomaga przygotować się do sprawdzianu, kartkówki lub odpowiedzi ustnej.
Oliwia
użytkowniczka iOS