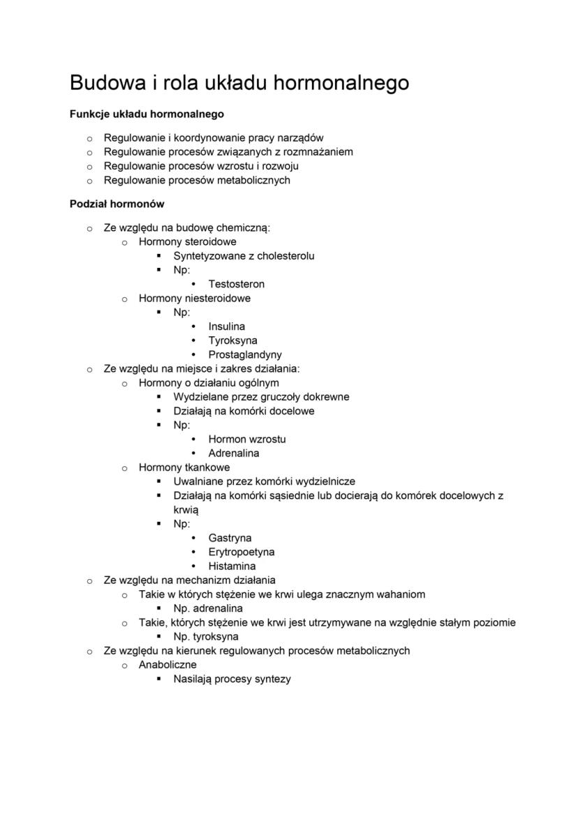
budowa i funkcjonowanie układu hormonalnego
biologia rozszerzona








Myśleliśmy, że nigdy nie zapytasz...
Czym jest Towarzysz AI z Knowunity?
Nasz asystent AI jest specjalnie dostosowany do potrzeb uczniów. W oparciu o miliony treści, które mamy na platformie, możemy udzielać uczniom naprawdę znaczących i trafnych odpowiedzi. Ale nie chodzi tylko o odpowiedzi, towarzysz prowadzi również uczniów przez codzienne wyzwania związane z nauką, ze spersonalizowanymi planami nauki, quizami lub treściami na czacie i 100% personalizacją opartą na umiejętnościach i rozwoju uczniów.
Gdzie mogę pobrać aplikację Knowunity?
Aplikację możesz pobrać z Google Play i Apple Store.
Czy aplikacja Knowunity naprawdę jest darmowa?
Tak, masz całkowicie darmowy dostęp do wszystkich notatek w aplikacji, możesz w każdej chwili rozmawiać z Ekspertami lub ich obserwować. Możesz użyć punktów, aby odblokować pewne funkcje w aplikacji, które również możesz otrzymać za darmo. Dodatkowo oferujemy usługę Knowunity Premium, która pozwala na odblokowanie większej liczby funkcji.
Najpopularniejsze notatki: Hypothalamus
4Mechanizmy Działania Hormonów
Zrozumienie mechanizmów działania hormonów steroidowych i białkowych oraz ich wpływu na metabolizm komórek. Notatka obejmuje budowę układu hormonalnego, rolę gruczołów dokrewnych oraz funkcje hormonów w regulacji procesów biologicznych. Idealna dla uczniów klas 3 rozszerzonych z biologii.
uklad hormonalny, 4 klasa liceum rozszerzenie
wszystkie tematy
Regulacja hormonów i układ nerwowy
Zrozumienie regulacji wydzielania hormonów w kontekście podwzgórza, przysadki oraz ich wpływu na układ nerwowy. Notatka omawia kluczowe hormony, takie jak oksytocyna i wazopresyna, oraz różnice między działaniem hormonalnym a nerwowym. Idealna dla uczniów biologii przygotowujących się do egzaminów.
Biologia klasa 7
Organizm człowieka jako funkcjonalna całość
Najpopularniejsze notatki z Biologia
9biologia- ryby klasa 6
Przed odpowiedzią ustnią idealny do powtórki ❤️
Korzeń- organ podziemny rośliny
prawie wszystko w temacie "korzeń- organ podziemny rośliny "
Mitoza i Mejoza
Zrozumienie cyklu komórkowego: szczegółowe omówienie mitozy i mejozy, ich etapów, znaczenia oraz różnic. Dowiedz się, jak te procesy wpływają na wzrost, rozwój i rozmnażanie organizmów. Idealne dla studentów biologii.
Funkcje i Struktura Układu Nerwowego
Zrozumienie funkcji i struktury układu nerwowego, w tym centralnego i obwodowego układu nerwowego, rodzajów neuronów oraz mechanizmów synaptycznych. Materiał obejmuje również odruchy, regulację autonomiczną oraz rolę neuroprzekaźników. Idealne dla uczniów biologii i studentów medycyny.
Ekologia
Pojęcia, wykresy i wsztstko czego potrzebujesz😉
Budowa i funkcje układu wydalniczego
Poznaj narządy tworzące układ wydalniczy, takie jak nerki i pęcherz moczowy, oraz dowiedz się, jaką rolę pełnią w organizmie.
Ryby- kręgowce środowisk wodnych
to quiz o rybach z klasy 6
Wirusy, bakterie, protisty i grzyby - quiz
Puls życia - Dział III - quiz
Układ nerwowy - poziom rozszerzony
Podział układu, mechanizm przewodzenia impulsu, odruchy, autonomiczny układ
Najpopularniejsze notatki
9Przedwiośnie: Analiza Tematów
Zanurz się w analizę powieści 'Przedwiośnie' Stefana Żeromskiego. Odkryj kluczowe motywy, takie jak dojrzewanie, rewolucja i podróż, oraz ich znaczenie w kontekście niepodległej Polski. Notatka zawiera szczegółowe omówienie bohaterów, narracji oraz symboliki, co czyni ją idealnym materiałem do nauki i przygotowania do egzaminów.
Analiza Lalki Prusa
Szczegółowa analiza powieści 'Lalka' Bolesława Prusa, obejmująca kompozycję, problematykę, głównych bohaterów oraz kontekst społeczny Warszawy lat 70. i 80. XIX wieku. Zawiera omówienie miłości Wokulskiego do Izabeli Łęckiej, różnorodności narracji oraz otwartości zakończenia. Idealna dla studentów literatury i miłośników polskiej prozy.
Analiza 'Lalki' Prusa
Szczegółowa analiza powieści 'Lalka' Bolesława Prusa, obejmująca gatunek, czas i miejsce akcji, kluczowych bohaterów, oraz motywy literackie. Zawiera omówienie postaci Stanisława Wokulskiego jako romantyka i pozytywisty oraz realistyczny obraz Warszawy i Paryża. Idealne dla studentów literatury polskiej.
Przedwiośnie: Kluczowe Motywy
Analiza powieści 'Przedwiośnie' Stefana Żeromskiego, obejmująca gatunek, czas i miejsce akcji, głównych bohaterów oraz szczegółowy plan wydarzeń. Zawiera omówienie kluczowych motywów literackich, takich jak patriotyzm, rewolucja, miłość i przemiana Cezarego Baryki. Idealne dla studentów przygotowujących się do egzaminów.
Wesele: Analiza Symboli
Zanurz się w głęboką analizę dramatu 'Wesele' Stanisława Wyspiańskiego. Odkryj kluczowe symbole, takie jak chochoł i złoty róg, oraz ich znaczenie w kontekście polskiego społeczeństwa przełomu XIX i XX wieku. Notatka zawiera omówienie genezy, kompozycji, tematów oraz portretu społecznego, co czyni ją idealnym materiałem do nauki i przygotowań do egzaminów.
Makbet: Analiza Tragedii Szekspira
Odkryj kluczowe cechy dramatu 'Makbet' Williama Szekspira, w tym złamanie zasady decorum, psychologię postaci oraz tematykę zbrodni i ambicji. Zrozum, jak Szekspir przekształca klasyczną tragedię, wprowadzając elementy fantastyki i psychologii. Idealne dla uczniów i studentów literatury. Typ: analiza literacka.
Młoda Polska: Kluczowe Tematy
Odkryj istotne cechy i motywy epoki Młodej Polski, w tym dekadentyzm, sztukę dla sztuki oraz wpływ filozofii Nietzschego i Schopenhauera. Analiza najważniejszych twórców, ich dzieł oraz typów bohaterów. Idealne dla studentów literatury i kultury polskiej.
Wesele: Analiza Społeczeństwa
Zanurz się w głęboką analizę dramatu 'Wesele' Stanisława Wyspiańskiego, który ukazuje podziały między inteligencją a chłopstwem w Polsce na początku XX wieku. Odkryj symbole, narodowe mity oraz kluczowe rozmowy, które ilustrują społeczne napięcia i brak zrozumienia. Idealne dla studentów literatury i kultury polskiej.
Bohaterowie Zbrodni i Kary
Analiza postaci i kluczowych motywów w 'Zbrodni i karze' Fiodora Dostojewskiego. Zawiera szczegółowe opisy bohaterów, ich relacji oraz wpływu zbrodni na psychikę Raskolnikowa. Idealne dla studentów literatury i analizy psychologicznej. Typ: streszczenie i charakterystyka.
Nie ma nic odpowiedniego? Sprawdź inne przedmioty.
Zobacz, co mówią o nas nasi użytkownicy. Pokochali nas — pokochasz też i Ty.
Aplikacja jest bardzo prosta i dobrze przemyślana. Do tej pory znalazłem wszystko, czego szukałem i mogłem się wiele nauczyć z innych notatek! Na pewno wykorzystam aplikację do pomocy przy robieniu prac domowych! No i oczywiście bardzo pomaga też jako inspiracja do robienia swoich notatek.
Ta aplikacja jest naprawdę świetna. Jest tak wiele notatek i pomocnych informacji [...]. Moim problematycznym przedmiotem jest język niemiecki, a w aplikacji jest w czym wybierać. Dzięki tej aplikacji poprawiłam swój niemiecki. Polecam ją każdemu.
Wow, jestem w szoku. Właśnie wypróbowałam aplikację, ponieważ widziałam ją kilka razy reklamowaną na TikToku jestem absolutnie w szoku. Ta aplikacja jest POMOCĄ, której potrzebujesz w szkole i przede wszystkim oferuje tak wiele rzeczy jak notatki czy streszczenia, które są BARDZO pomocne w moim przypadku.
budowa i funkcjonowanie układu hormonalnego
biologia rozszerzona

Zarejestruj się, aby zobaczyć notatkę. To nic nie kosztuje!
- Dostęp do wszystkich materiałów
- Popraw swoje oceny
- Dołącz do milionów studentów

Zarejestruj się, aby zobaczyć notatkę. To nic nie kosztuje!
- Dostęp do wszystkich materiałów
- Popraw swoje oceny
- Dołącz do milionów studentów

Zarejestruj się, aby zobaczyć notatkę. To nic nie kosztuje!
- Dostęp do wszystkich materiałów
- Popraw swoje oceny
- Dołącz do milionów studentów

Zarejestruj się, aby zobaczyć notatkę. To nic nie kosztuje!
- Dostęp do wszystkich materiałów
- Popraw swoje oceny
- Dołącz do milionów studentów
Myśleliśmy, że nigdy nie zapytasz...
Czym jest Towarzysz AI z Knowunity?
Nasz asystent AI jest specjalnie dostosowany do potrzeb uczniów. W oparciu o miliony treści, które mamy na platformie, możemy udzielać uczniom naprawdę znaczących i trafnych odpowiedzi. Ale nie chodzi tylko o odpowiedzi, towarzysz prowadzi również uczniów przez codzienne wyzwania związane z nauką, ze spersonalizowanymi planami nauki, quizami lub treściami na czacie i 100% personalizacją opartą na umiejętnościach i rozwoju uczniów.
Gdzie mogę pobrać aplikację Knowunity?
Aplikację możesz pobrać z Google Play i Apple Store.
Czy aplikacja Knowunity naprawdę jest darmowa?
Tak, masz całkowicie darmowy dostęp do wszystkich notatek w aplikacji, możesz w każdej chwili rozmawiać z Ekspertami lub ich obserwować. Możesz użyć punktów, aby odblokować pewne funkcje w aplikacji, które również możesz otrzymać za darmo. Dodatkowo oferujemy usługę Knowunity Premium, która pozwala na odblokowanie większej liczby funkcji.
Najpopularniejsze notatki: Hypothalamus
4Mechanizmy Działania Hormonów
Zrozumienie mechanizmów działania hormonów steroidowych i białkowych oraz ich wpływu na metabolizm komórek. Notatka obejmuje budowę układu hormonalnego, rolę gruczołów dokrewnych oraz funkcje hormonów w regulacji procesów biologicznych. Idealna dla uczniów klas 3 rozszerzonych z biologii.
uklad hormonalny, 4 klasa liceum rozszerzenie
wszystkie tematy
Regulacja hormonów i układ nerwowy
Zrozumienie regulacji wydzielania hormonów w kontekście podwzgórza, przysadki oraz ich wpływu na układ nerwowy. Notatka omawia kluczowe hormony, takie jak oksytocyna i wazopresyna, oraz różnice między działaniem hormonalnym a nerwowym. Idealna dla uczniów biologii przygotowujących się do egzaminów.
Biologia klasa 7
Organizm człowieka jako funkcjonalna całość
Najpopularniejsze notatki z Biologia
9biologia- ryby klasa 6
Przed odpowiedzią ustnią idealny do powtórki ❤️
Korzeń- organ podziemny rośliny
prawie wszystko w temacie "korzeń- organ podziemny rośliny "
Mitoza i Mejoza
Zrozumienie cyklu komórkowego: szczegółowe omówienie mitozy i mejozy, ich etapów, znaczenia oraz różnic. Dowiedz się, jak te procesy wpływają na wzrost, rozwój i rozmnażanie organizmów. Idealne dla studentów biologii.
Funkcje i Struktura Układu Nerwowego
Zrozumienie funkcji i struktury układu nerwowego, w tym centralnego i obwodowego układu nerwowego, rodzajów neuronów oraz mechanizmów synaptycznych. Materiał obejmuje również odruchy, regulację autonomiczną oraz rolę neuroprzekaźników. Idealne dla uczniów biologii i studentów medycyny.
Ekologia
Pojęcia, wykresy i wsztstko czego potrzebujesz😉
Budowa i funkcje układu wydalniczego
Poznaj narządy tworzące układ wydalniczy, takie jak nerki i pęcherz moczowy, oraz dowiedz się, jaką rolę pełnią w organizmie.
Ryby- kręgowce środowisk wodnych
to quiz o rybach z klasy 6
Wirusy, bakterie, protisty i grzyby - quiz
Puls życia - Dział III - quiz
Układ nerwowy - poziom rozszerzony
Podział układu, mechanizm przewodzenia impulsu, odruchy, autonomiczny układ
Najpopularniejsze notatki
9Przedwiośnie: Analiza Tematów
Zanurz się w analizę powieści 'Przedwiośnie' Stefana Żeromskiego. Odkryj kluczowe motywy, takie jak dojrzewanie, rewolucja i podróż, oraz ich znaczenie w kontekście niepodległej Polski. Notatka zawiera szczegółowe omówienie bohaterów, narracji oraz symboliki, co czyni ją idealnym materiałem do nauki i przygotowania do egzaminów.
Analiza Lalki Prusa
Szczegółowa analiza powieści 'Lalka' Bolesława Prusa, obejmująca kompozycję, problematykę, głównych bohaterów oraz kontekst społeczny Warszawy lat 70. i 80. XIX wieku. Zawiera omówienie miłości Wokulskiego do Izabeli Łęckiej, różnorodności narracji oraz otwartości zakończenia. Idealna dla studentów literatury i miłośników polskiej prozy.
Analiza 'Lalki' Prusa
Szczegółowa analiza powieści 'Lalka' Bolesława Prusa, obejmująca gatunek, czas i miejsce akcji, kluczowych bohaterów, oraz motywy literackie. Zawiera omówienie postaci Stanisława Wokulskiego jako romantyka i pozytywisty oraz realistyczny obraz Warszawy i Paryża. Idealne dla studentów literatury polskiej.
Przedwiośnie: Kluczowe Motywy
Analiza powieści 'Przedwiośnie' Stefana Żeromskiego, obejmująca gatunek, czas i miejsce akcji, głównych bohaterów oraz szczegółowy plan wydarzeń. Zawiera omówienie kluczowych motywów literackich, takich jak patriotyzm, rewolucja, miłość i przemiana Cezarego Baryki. Idealne dla studentów przygotowujących się do egzaminów.
Wesele: Analiza Symboli
Zanurz się w głęboką analizę dramatu 'Wesele' Stanisława Wyspiańskiego. Odkryj kluczowe symbole, takie jak chochoł i złoty róg, oraz ich znaczenie w kontekście polskiego społeczeństwa przełomu XIX i XX wieku. Notatka zawiera omówienie genezy, kompozycji, tematów oraz portretu społecznego, co czyni ją idealnym materiałem do nauki i przygotowań do egzaminów.
Makbet: Analiza Tragedii Szekspira
Odkryj kluczowe cechy dramatu 'Makbet' Williama Szekspira, w tym złamanie zasady decorum, psychologię postaci oraz tematykę zbrodni i ambicji. Zrozum, jak Szekspir przekształca klasyczną tragedię, wprowadzając elementy fantastyki i psychologii. Idealne dla uczniów i studentów literatury. Typ: analiza literacka.
Młoda Polska: Kluczowe Tematy
Odkryj istotne cechy i motywy epoki Młodej Polski, w tym dekadentyzm, sztukę dla sztuki oraz wpływ filozofii Nietzschego i Schopenhauera. Analiza najważniejszych twórców, ich dzieł oraz typów bohaterów. Idealne dla studentów literatury i kultury polskiej.
Wesele: Analiza Społeczeństwa
Zanurz się w głęboką analizę dramatu 'Wesele' Stanisława Wyspiańskiego, który ukazuje podziały między inteligencją a chłopstwem w Polsce na początku XX wieku. Odkryj symbole, narodowe mity oraz kluczowe rozmowy, które ilustrują społeczne napięcia i brak zrozumienia. Idealne dla studentów literatury i kultury polskiej.
Bohaterowie Zbrodni i Kary
Analiza postaci i kluczowych motywów w 'Zbrodni i karze' Fiodora Dostojewskiego. Zawiera szczegółowe opisy bohaterów, ich relacji oraz wpływu zbrodni na psychikę Raskolnikowa. Idealne dla studentów literatury i analizy psychologicznej. Typ: streszczenie i charakterystyka.
Nie ma nic odpowiedniego? Sprawdź inne przedmioty.
Zobacz, co mówią o nas nasi użytkownicy. Pokochali nas — pokochasz też i Ty.
Aplikacja jest bardzo prosta i dobrze przemyślana. Do tej pory znalazłem wszystko, czego szukałem i mogłem się wiele nauczyć z innych notatek! Na pewno wykorzystam aplikację do pomocy przy robieniu prac domowych! No i oczywiście bardzo pomaga też jako inspiracja do robienia swoich notatek.
Ta aplikacja jest naprawdę świetna. Jest tak wiele notatek i pomocnych informacji [...]. Moim problematycznym przedmiotem jest język niemiecki, a w aplikacji jest w czym wybierać. Dzięki tej aplikacji poprawiłam swój niemiecki. Polecam ją każdemu.
Wow, jestem w szoku. Właśnie wypróbowałam aplikację, ponieważ widziałam ją kilka razy reklamowaną na TikToku jestem absolutnie w szoku. Ta aplikacja jest POMOCĄ, której potrzebujesz w szkole i przede wszystkim oferuje tak wiele rzeczy jak notatki czy streszczenia, które są BARDZO pomocne w moim przypadku.