Dysocjacja elektrolitycznato proces, w którym związki chemiczne rozpadają się... Pokaż więcej
Zarejestruj się, aby zobaczyć notatkęTo nic nie kosztuje!
Dostęp do wszystkich materiałów
Popraw swoje oceny
Dołącz do milionów studentów
Knowunity AI
Przedmioty
Triangle Congruence and Similarity Theorems
Triangle Properties and Classification
Linear Equations and Graphs
Geometric Angle Relationships
Trigonometric Functions and Identities
Equation Solving Techniques
Circle Geometry Fundamentals
Division Operations and Methods
Basic Differentiation Rules
Exponent and Logarithm Properties
Pokaż wszystkie tematy
Human Organ Systems
Reproductive Cell Cycles
Biological Sciences Subdisciplines
Cellular Energy Metabolism
Autotrophic Energy Processes
Inheritance Patterns and Principles
Biomolecular Structure and Organization
Cell Cycle and Division Mechanics
Cellular Organization and Development
Biological Structural Organization
Pokaż wszystkie tematy
Chemical Sciences and Applications
Atomic Structure and Composition
Molecular Electron Structure Representation
Atomic Electron Behavior
Matter Properties and Water
Mole Concept and Calculations
Gas Laws and Behavior
Periodic Table Organization
Chemical Thermodynamics Fundamentals
Chemical Bond Types and Properties
Pokaż wszystkie tematy
European Renaissance and Enlightenment
European Cultural Movements 800-1920
American Revolution Era 1763-1797
American Civil War 1861-1865
Global Imperial Systems
Mongol and Chinese Dynasties
U.S. Presidents and World Leaders
Historical Sources and Documentation
World Wars Era and Impact
World Religious Systems
Pokaż wszystkie tematy
Classic and Contemporary Novels
Literary Character Analysis
Rhetorical Theory and Practice
Classic Literary Narratives
Reading Analysis and Interpretation
Narrative Structure and Techniques
English Language Components
Influential English-Language Authors
Basic Sentence Structure
Narrative Voice and Perspective
Pokaż wszystkie tematy
2,783
•
Zaktualizowano Mar 26, 2026
•
hum4n_study
@hum4n_study
Dysocjacja elektrolitycznato proces, w którym związki chemiczne rozpadają się... Pokaż więcej






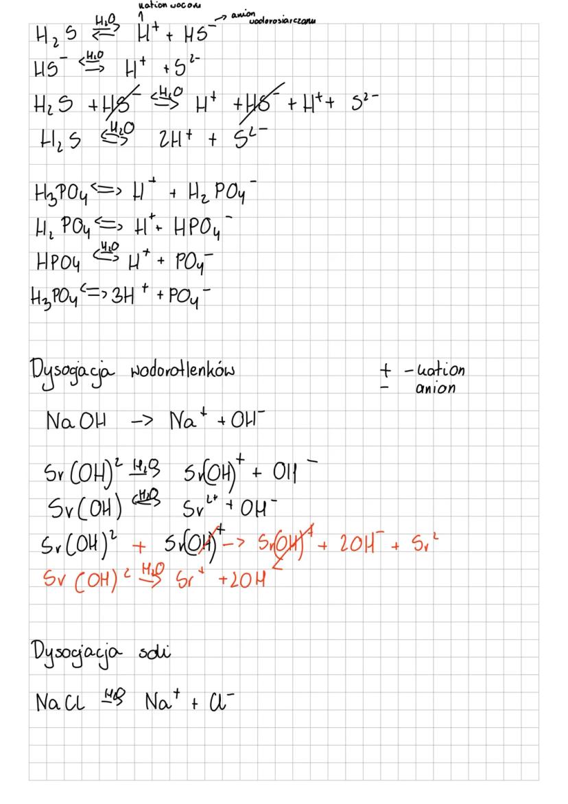
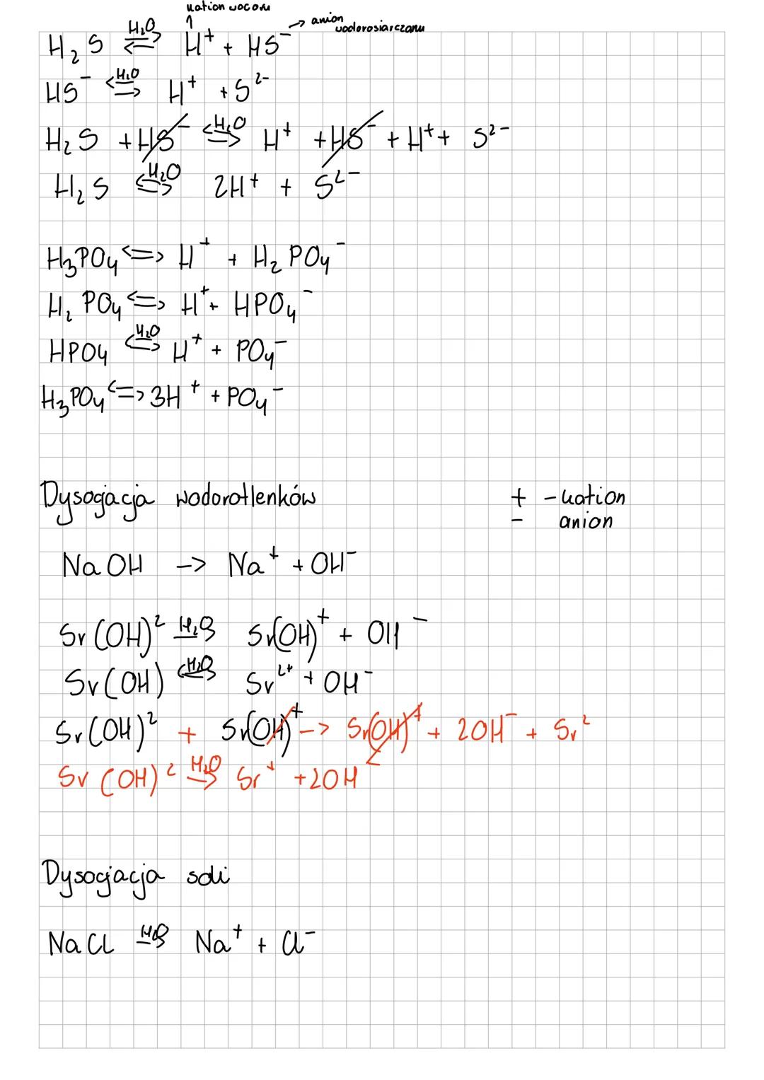
Kwasy w kontakcie z wodą oddają protony (H⁺) i tworzą jony. Dysocjacja kwasów może przebiegać jednostopniowo lub wielostopniowo, zależnie od liczby atomów wodoru w cząsteczce.
Kwasy jednoprotyczne jak HCl dysocjują od razu całkowicie: HCl → H⁺ + Cl⁻. To znaczy, że cała cząsteczka od razu się rozpada.
Kwasy wieloprotyczne jak H₂SO₃ dysocjują etapami. Pierwszy etap: H₂SO₃ → H⁺ + HSO₃⁻, drugi etap: HSO₃⁻ → H⁺ + SO₃²⁻. Ogólny wynik to H₂SO₃ → 2H⁺ + SO₃²⁻.
Pamiętaj: Liczba jonów H⁺ zawsze odpowiada liczbie atomów wodoru w kwasie!

Zasada zachowania ładunków to podstawowa reguła - suma ładunków po lewej stronie równania musi równać się sumie ładunków po prawej stronie. Zawsze musi wychodzić zero!
Sprawdźmy na przykładzie H₃PO₄ → 3H⁺ + PO₄³⁻. Po lewej: 0 (obojętna cząsteczka). Po prawej: 3×(+1) + (-3) = 0. Zgadza się!
Ta zasada pomoże ci sprawdzić, czy poprawnie napisałeś równanie dysocjacji. Jeśli ładunki się nie bilansują, znaczy że gdzieś jest błąd.
Wskazówka: Zawsze sprawdzaj bilans ładunków - to najszybszy sposób na wyłapanie błędów!

Wodorotlenki (zasady) w wodzie uwalniają jony OH⁻. Proces może być jednostopniowy lub wielostopniowy, podobnie jak u kwasów.
Proste wodorotlenki jak NaOH dysocjują jednostopniowo: NaOH → Na⁺ + OH⁻. To się dzieje od razu i całkowicie.
Wodorotlenki dwuwartościowe jak Sr(OH)₂ mają dysocjację wielostopniową. Pierwszy etap: Sr(OH)₂ → SrOH⁺ + OH⁻, drugi etap: SrOH⁺ → Sr²⁺ + OH⁻. Ostateczny wynik: Sr(OH)₂ → Sr²⁺ + 2OH⁻.
Ważne: Liczba jonów OH⁻ odpowiada liczbie grup wodorotlenowych w wzorze!

Sole dysocjują zawsze jednostopniowo - to znaczy, że rozpadają się od razu na jony metalu i reszty kwasowej. Nie ma tu etapów jak u kwasów czy wodorotlenków.
Przykład: NaCl → Na⁺ + Cl⁻. Prosto i bez komplikacji - jeden krok i gotowe.
Bardziej skomplikowane sole jak CuSO₄ działają tak samo: CuSO₄ → Cu²⁺ + SO₄²⁻. Jeden etap, pełna dysocjacja.
Reszty kwasowe to części kwasów bez wodoru - na przykład Cl⁻ z HCl, SO₄²⁻ z H₂SO₄, czy PO₄³⁻ z H₃PO₄. Ich wartościowość odpowiada liczbie atomów wodoru w pierwotnym kwasie.
Zapamiętaj: Sole = najprościej! Zawsze jeden krok dysocjacji.

Ćwiczenia to najlepszy sposób na opanowanie dysocjacji. Przyjrzyj się różnym typom związków i jak się zachowują w wodzie.
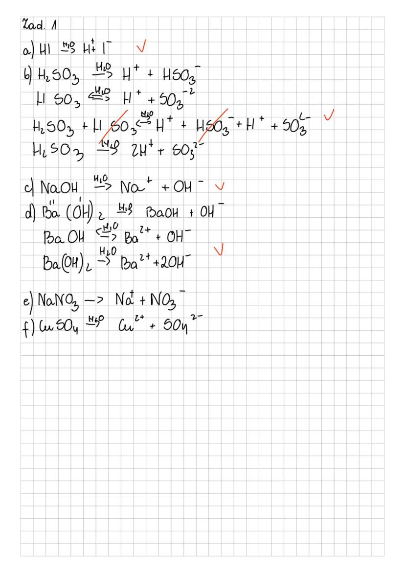
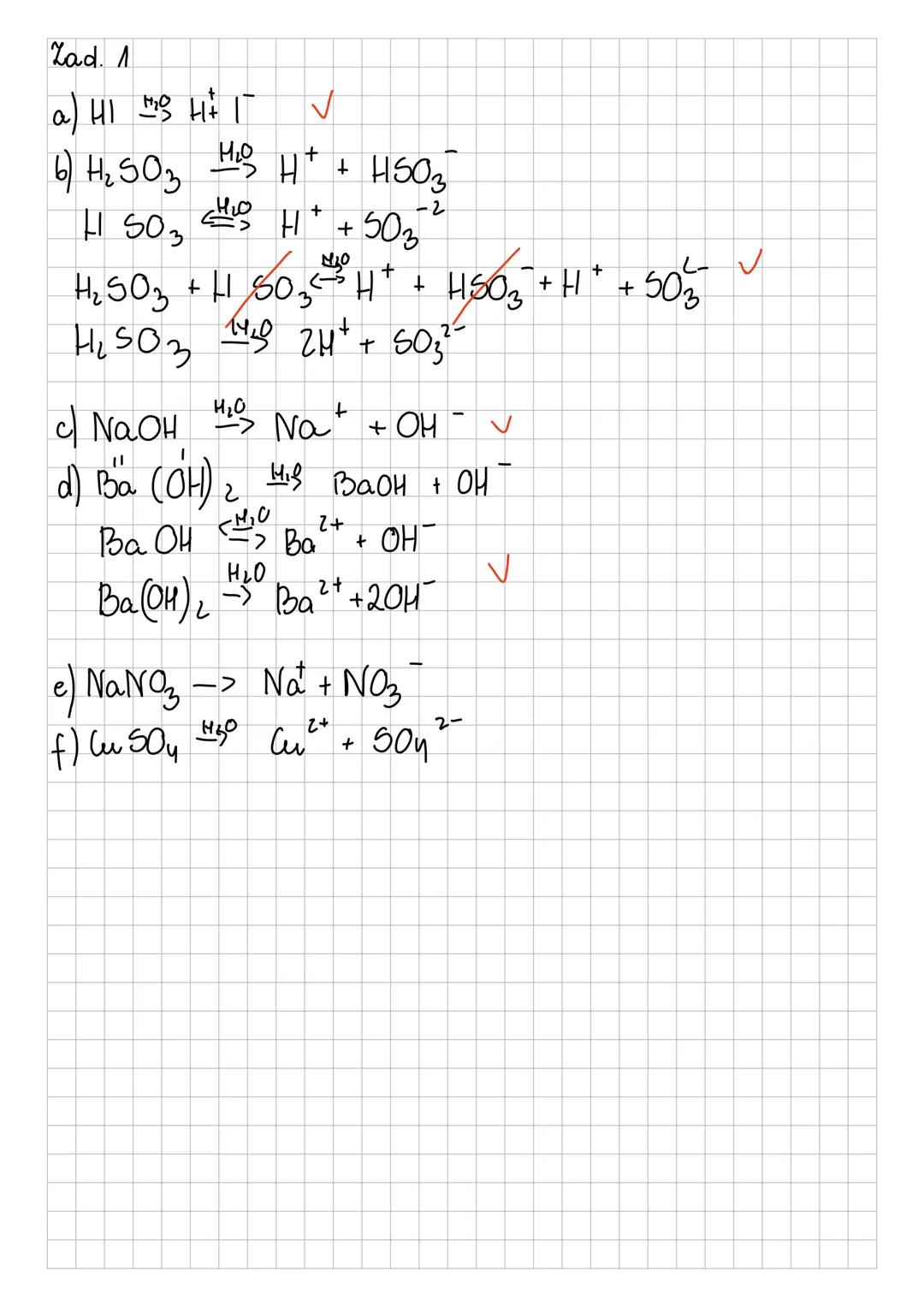
Kwasy: HI → H⁺ + I⁻ (jednostopniowo), H₂SO₃ → 2H⁺ + SO₃²⁻ (wielostopniowo). Pamiętaj o etapach dla kwasów wieloprotycznych!
Wodorotlenki: NaOH → Na⁺ + OH⁻ (jednostopniowo), Ba(OH)₂ → Ba²⁺ + 2OH⁻ (końcowy wynik dla wielostopniowej).
Sole: NaNO₃ → Na⁺ + NO₃⁻, CuSO₄ → Cu²⁺ + SO₄²⁻. Zawsze jeden krok, bez etapów pośrednich.
Tip: Zacznij od rozpoznania typu związku - to pomoże ci wybrać właściwy sposób dysocjacji!
Nasz asystent AI jest specjalnie dostosowany do potrzeb uczniów. W oparciu o miliony treści, które mamy na platformie, możemy udzielać uczniom naprawdę znaczących i trafnych odpowiedzi. Ale nie chodzi tylko o odpowiedzi, towarzysz prowadzi również uczniów przez codzienne wyzwania związane z nauką, ze spersonalizowanymi planami nauki, quizami lub treściami na czacie i 100% personalizacją opartą na umiejętnościach i rozwoju uczniów.
Aplikację możesz pobrać z Google Play i Apple Store.
Tak, masz całkowicie darmowy dostęp do wszystkich notatek w aplikacji, możesz w każdej chwili rozmawiać z Ekspertami lub ich obserwować. Możesz użyć punktów, aby odblokować pewne funkcje w aplikacji, które również możesz otrzymać za darmo. Dodatkowo oferujemy usługę Knowunity Premium, która pozwala na odblokowanie większej liczby funkcji.
App Store
Google Play
Aplikacja jest bardzo prosta i dobrze przemyślana. Do tej pory znalazłem wszystko, czego szukałem i mogłem się wiele nauczyć z innych notatek! Na pewno wykorzystam aplikację do pomocy przy robieniu prac domowych! No i oczywiście bardzo pomaga też jako inspiracja do robienia swoich notatek.
Stefan S
użytkownik iOS
Ta aplikacja jest naprawdę świetna. Jest tak wiele notatek i pomocnych informacji [...]. Moim problematycznym przedmiotem jest język niemiecki, a w aplikacji jest w czym wybierać. Dzięki tej aplikacji poprawiłam swój niemiecki. Polecam ją każdemu.
Samantha Klich
użytkownik Androida
Wow, jestem w szoku. Właśnie wypróbowałam aplikację, ponieważ widziałam ją kilka razy reklamowaną na TikToku jestem absolutnie w szoku. Ta aplikacja jest POMOCĄ, której potrzebujesz w szkole i przede wszystkim oferuje tak wiele rzeczy jak notatki czy streszczenia, które są BARDZO pomocne w moim przypadku.
Anna
użytkownik iOS
Kocham tę aplikację! Pomaga mi w zadaniach domowych, motywuje mnie i polepsza mi dzień. Dzięki tej aplikacji moje oceny się poprawiły. Lepszej aplikacji nie znajdę!🩷
Patrycja
użytkowniczka iOS
Super aplikacja! Ma odpowiedzi na wszystkie zadania. Testuję ją od paru miesięcy i jest po prostu perfekcyjna.
Szymon
użytkownik Android
Super aplikacja do nauki i sprawdzania wiedzy. Można znaleźć notatki z WSZYSTKICH przedmiotów. Polecam tym, którzy celują w oceny 5 i 6 😄
Szymon
użytkownik iOS
Aplikacja jest po prostu świetna! Wystarczy, że wpiszę w pasku wyszukiwania swój temat i od razu mam wyniki. Nie muszę oglądać 10 filmów na YouTube, żeby coś zrozumieć, więc oszczędzam swój czas. Po prostu polecam!
Kuba T
użytkownik Androida
W szkole byłem bardzo kiepski z matematyki, ale dzięki tej aplikacji radzę sobie teraz lepiej. Jestem bardzo wdzięczny, że ją stworzyliście.
Kriss
użytkownik Androida
Korzystam z Knowunity od ponad roku i jest mega! Najlepsze opcje z tej apki: ⭐️ Gotowe notatki ⭐️ Spersonalizowane treści ⭐️ Dostęp do chatu GPT W WERSJI SZKOLNEJ ⭐️ Konwersacje z innymi uczniami 🤍 NAUKA WRESZCIE NIE JEST NUDNA 🤍
Gosia
użytkowniczka Android
Bardzo lubię aplikację Knowunity, ponieważ pomaga mi w nauce. Odkąd ją mam moje oceny się poprawiają :)
Sara
użytkowniczka iOS
QUIZY I FISZKI SĄ SUPER PRZYDATNE I UWIELBIAM Knowunity AI. TO JEST DOSŁOWNIE JAK CHATGPT ALE MĄDRZEJSZY!! POMÓGŁ MI NAWET Z PROBLEMAMI Z TUSZEM DO RZĘS!! A TAKŻE Z PRAWDZIWYMI PRZEDMIOTAMI! OCZYWIŚCIE 😍😁😲🤑💗✨🎀😮
Krzysztof
użytkownik Android
Bardzo fajna aplikacja. Pomaga przygotować się do sprawdzianu, kartkówki lub odpowiedzi ustnej.
Oliwia
użytkowniczka iOS
Aplikacja jest bardzo prosta i dobrze przemyślana. Do tej pory znalazłem wszystko, czego szukałem i mogłem się wiele nauczyć z innych notatek! Na pewno wykorzystam aplikację do pomocy przy robieniu prac domowych! No i oczywiście bardzo pomaga też jako inspiracja do robienia swoich notatek.
Stefan S
użytkownik iOS
Ta aplikacja jest naprawdę świetna. Jest tak wiele notatek i pomocnych informacji [...]. Moim problematycznym przedmiotem jest język niemiecki, a w aplikacji jest w czym wybierać. Dzięki tej aplikacji poprawiłam swój niemiecki. Polecam ją każdemu.
Samantha Klich
użytkownik Androida
Wow, jestem w szoku. Właśnie wypróbowałam aplikację, ponieważ widziałam ją kilka razy reklamowaną na TikToku jestem absolutnie w szoku. Ta aplikacja jest POMOCĄ, której potrzebujesz w szkole i przede wszystkim oferuje tak wiele rzeczy jak notatki czy streszczenia, które są BARDZO pomocne w moim przypadku.
Anna
użytkownik iOS
Kocham tę aplikację! Pomaga mi w zadaniach domowych, motywuje mnie i polepsza mi dzień. Dzięki tej aplikacji moje oceny się poprawiły. Lepszej aplikacji nie znajdę!🩷
Patrycja
użytkowniczka iOS
Super aplikacja! Ma odpowiedzi na wszystkie zadania. Testuję ją od paru miesięcy i jest po prostu perfekcyjna.
Szymon
użytkownik Android
Super aplikacja do nauki i sprawdzania wiedzy. Można znaleźć notatki z WSZYSTKICH przedmiotów. Polecam tym, którzy celują w oceny 5 i 6 😄
Szymon
użytkownik iOS
Aplikacja jest po prostu świetna! Wystarczy, że wpiszę w pasku wyszukiwania swój temat i od razu mam wyniki. Nie muszę oglądać 10 filmów na YouTube, żeby coś zrozumieć, więc oszczędzam swój czas. Po prostu polecam!
Kuba T
użytkownik Androida
W szkole byłem bardzo kiepski z matematyki, ale dzięki tej aplikacji radzę sobie teraz lepiej. Jestem bardzo wdzięczny, że ją stworzyliście.
Kriss
użytkownik Androida
Korzystam z Knowunity od ponad roku i jest mega! Najlepsze opcje z tej apki: ⭐️ Gotowe notatki ⭐️ Spersonalizowane treści ⭐️ Dostęp do chatu GPT W WERSJI SZKOLNEJ ⭐️ Konwersacje z innymi uczniami 🤍 NAUKA WRESZCIE NIE JEST NUDNA 🤍
Gosia
użytkowniczka Android
Bardzo lubię aplikację Knowunity, ponieważ pomaga mi w nauce. Odkąd ją mam moje oceny się poprawiają :)
Sara
użytkowniczka iOS
QUIZY I FISZKI SĄ SUPER PRZYDATNE I UWIELBIAM Knowunity AI. TO JEST DOSŁOWNIE JAK CHATGPT ALE MĄDRZEJSZY!! POMÓGŁ MI NAWET Z PROBLEMAMI Z TUSZEM DO RZĘS!! A TAKŻE Z PRAWDZIWYMI PRZEDMIOTAMI! OCZYWIŚCIE 😍😁😲🤑💗✨🎀😮
Krzysztof
użytkownik Android
Bardzo fajna aplikacja. Pomaga przygotować się do sprawdzianu, kartkówki lub odpowiedzi ustnej.
Oliwia
użytkowniczka iOS
hum4n_study
@hum4n_study
Dysocjacja elektrolityczna to proces, w którym związki chemiczne rozpadają się w wodzie na jony. To kluczowy temat z chemii, który pomoże ci zrozumieć, jak zachowują się kwasy, zasady i sole w roztworach wodnych.

Dostęp do wszystkich materiałów
Popraw swoje oceny
Dołącz do milionów studentów
Kwasy w kontakcie z wodą oddają protony (H⁺) i tworzą jony. Dysocjacja kwasów może przebiegać jednostopniowo lub wielostopniowo, zależnie od liczby atomów wodoru w cząsteczce.
Kwasy jednoprotyczne jak HCl dysocjują od razu całkowicie: HCl → H⁺ + Cl⁻. To znaczy, że cała cząsteczka od razu się rozpada.
Kwasy wieloprotyczne jak H₂SO₃ dysocjują etapami. Pierwszy etap: H₂SO₃ → H⁺ + HSO₃⁻, drugi etap: HSO₃⁻ → H⁺ + SO₃²⁻. Ogólny wynik to H₂SO₃ → 2H⁺ + SO₃²⁻.
Pamiętaj: Liczba jonów H⁺ zawsze odpowiada liczbie atomów wodoru w kwasie!

Dostęp do wszystkich materiałów
Popraw swoje oceny
Dołącz do milionów studentów
Zasada zachowania ładunków to podstawowa reguła - suma ładunków po lewej stronie równania musi równać się sumie ładunków po prawej stronie. Zawsze musi wychodzić zero!
Sprawdźmy na przykładzie H₃PO₄ → 3H⁺ + PO₄³⁻. Po lewej: 0 (obojętna cząsteczka). Po prawej: 3×(+1) + (-3) = 0. Zgadza się!
Ta zasada pomoże ci sprawdzić, czy poprawnie napisałeś równanie dysocjacji. Jeśli ładunki się nie bilansują, znaczy że gdzieś jest błąd.
Wskazówka: Zawsze sprawdzaj bilans ładunków - to najszybszy sposób na wyłapanie błędów!

Dostęp do wszystkich materiałów
Popraw swoje oceny
Dołącz do milionów studentów
Wodorotlenki (zasady) w wodzie uwalniają jony OH⁻. Proces może być jednostopniowy lub wielostopniowy, podobnie jak u kwasów.
Proste wodorotlenki jak NaOH dysocjują jednostopniowo: NaOH → Na⁺ + OH⁻. To się dzieje od razu i całkowicie.
Wodorotlenki dwuwartościowe jak Sr(OH)₂ mają dysocjację wielostopniową. Pierwszy etap: Sr(OH)₂ → SrOH⁺ + OH⁻, drugi etap: SrOH⁺ → Sr²⁺ + OH⁻. Ostateczny wynik: Sr(OH)₂ → Sr²⁺ + 2OH⁻.
Ważne: Liczba jonów OH⁻ odpowiada liczbie grup wodorotlenowych w wzorze!

Dostęp do wszystkich materiałów
Popraw swoje oceny
Dołącz do milionów studentów
Sole dysocjują zawsze jednostopniowo - to znaczy, że rozpadają się od razu na jony metalu i reszty kwasowej. Nie ma tu etapów jak u kwasów czy wodorotlenków.
Przykład: NaCl → Na⁺ + Cl⁻. Prosto i bez komplikacji - jeden krok i gotowe.
Bardziej skomplikowane sole jak CuSO₄ działają tak samo: CuSO₄ → Cu²⁺ + SO₄²⁻. Jeden etap, pełna dysocjacja.
Reszty kwasowe to części kwasów bez wodoru - na przykład Cl⁻ z HCl, SO₄²⁻ z H₂SO₄, czy PO₄³⁻ z H₃PO₄. Ich wartościowość odpowiada liczbie atomów wodoru w pierwotnym kwasie.
Zapamiętaj: Sole = najprościej! Zawsze jeden krok dysocjacji.

Dostęp do wszystkich materiałów
Popraw swoje oceny
Dołącz do milionów studentów
Ćwiczenia to najlepszy sposób na opanowanie dysocjacji. Przyjrzyj się różnym typom związków i jak się zachowują w wodzie.
Kwasy: HI → H⁺ + I⁻ (jednostopniowo), H₂SO₃ → 2H⁺ + SO₃²⁻ (wielostopniowo). Pamiętaj o etapach dla kwasów wieloprotycznych!
Wodorotlenki: NaOH → Na⁺ + OH⁻ (jednostopniowo), Ba(OH)₂ → Ba²⁺ + 2OH⁻ (końcowy wynik dla wielostopniowej).
Sole: NaNO₃ → Na⁺ + NO₃⁻, CuSO₄ → Cu²⁺ + SO₄²⁻. Zawsze jeden krok, bez etapów pośrednich.
Tip: Zacznij od rozpoznania typu związku - to pomoże ci wybrać właściwy sposób dysocjacji!
Nasz asystent AI jest specjalnie dostosowany do potrzeb uczniów. W oparciu o miliony treści, które mamy na platformie, możemy udzielać uczniom naprawdę znaczących i trafnych odpowiedzi. Ale nie chodzi tylko o odpowiedzi, towarzysz prowadzi również uczniów przez codzienne wyzwania związane z nauką, ze spersonalizowanymi planami nauki, quizami lub treściami na czacie i 100% personalizacją opartą na umiejętnościach i rozwoju uczniów.
Aplikację możesz pobrać z Google Play i Apple Store.
Tak, masz całkowicie darmowy dostęp do wszystkich notatek w aplikacji, możesz w każdej chwili rozmawiać z Ekspertami lub ich obserwować. Możesz użyć punktów, aby odblokować pewne funkcje w aplikacji, które również możesz otrzymać za darmo. Dodatkowo oferujemy usługę Knowunity Premium, która pozwala na odblokowanie większej liczby funkcji.
21
Inteligentne Narzędzia NOWE
Przekształć te notatki w: ✓ 50+ Pytań Testowych ✓ Interaktywne Fiszki ✓ Pełny egzamin próbny ✓ Plany Eseju
Zrozumienie dysocjacji elektrolitycznej, w tym kationów i anionów, oraz ich roli w reakcjach chemicznych w roztworach wodnych. Notatka obejmuje mocne i słabe elektrolity, dysocjację kwasów i zasad oraz przykłady reakcji chemicznych. Idealna dla uczniów klasy 2 LO.
Zgłębiaj temat kwasów karboksylowych: ich nazewnictwo, metody syntezy, reakcje z metalami i zasadami, a także właściwości mydeł. Dowiedz się o kwasach polikarboksylowych i wyższych kwasach tłuszczowych. Idealne dla studentów chemii.
Odkryj kluczowe aspekty miareczkowania kwasów i zasad w chemii. Dowiedz się, jak kontrolowane dodawanie roztworu wpływa na oznaczanie stężenia substancji. Zrozumienie teorii kwasów i zasad oraz pH roztworu to fundamenty tej metody analitycznej. Idealne dla studentów chemii i osób przygotowujących się do egzaminów.
Zgłębiaj kluczowe informacje o aminokwasach i hydroksykwasach, ich strukturze, właściwościach oraz zastosowaniach. Dowiedz się o reakcjach chemicznych, takich jak estryfikacja i dekarboksylacja, oraz ich roli w przemyśle i kosmetykach. Idealne dla studentów chemii i biologii.
Zgłębiaj temat kwasów z tej notatki, która omawia ogólny wzór kwasów, ich rodzaje (kwasy tlenowe i beztlenowe), budowę cząsteczek, moc kwasów oraz proces dysocjacji. Dowiedz się także o metodach otrzymywania kwasów i szeregu aktywności metali. Idealne dla uczniów przygotowujących się do egzaminów z chemii.
Zgłębiaj właściwości fizyczne i chemiczne kwasów karboksylowych, w tym ich rozpuszczalność, temperaturę wrzenia, moc kwasową oraz procesy dysocjacji i redukcji. Idealne dla studentów chemii, którzy chcą zrozumieć zachowanie kwasów w różnych reakcjach chemicznych.
App Store
Google Play
Aplikacja jest bardzo prosta i dobrze przemyślana. Do tej pory znalazłem wszystko, czego szukałem i mogłem się wiele nauczyć z innych notatek! Na pewno wykorzystam aplikację do pomocy przy robieniu prac domowych! No i oczywiście bardzo pomaga też jako inspiracja do robienia swoich notatek.
Stefan S
użytkownik iOS
Ta aplikacja jest naprawdę świetna. Jest tak wiele notatek i pomocnych informacji [...]. Moim problematycznym przedmiotem jest język niemiecki, a w aplikacji jest w czym wybierać. Dzięki tej aplikacji poprawiłam swój niemiecki. Polecam ją każdemu.
Samantha Klich
użytkownik Androida
Wow, jestem w szoku. Właśnie wypróbowałam aplikację, ponieważ widziałam ją kilka razy reklamowaną na TikToku jestem absolutnie w szoku. Ta aplikacja jest POMOCĄ, której potrzebujesz w szkole i przede wszystkim oferuje tak wiele rzeczy jak notatki czy streszczenia, które są BARDZO pomocne w moim przypadku.
Anna
użytkownik iOS
Kocham tę aplikację! Pomaga mi w zadaniach domowych, motywuje mnie i polepsza mi dzień. Dzięki tej aplikacji moje oceny się poprawiły. Lepszej aplikacji nie znajdę!🩷
Patrycja
użytkowniczka iOS
Super aplikacja! Ma odpowiedzi na wszystkie zadania. Testuję ją od paru miesięcy i jest po prostu perfekcyjna.
Szymon
użytkownik Android
Super aplikacja do nauki i sprawdzania wiedzy. Można znaleźć notatki z WSZYSTKICH przedmiotów. Polecam tym, którzy celują w oceny 5 i 6 😄
Szymon
użytkownik iOS
Aplikacja jest po prostu świetna! Wystarczy, że wpiszę w pasku wyszukiwania swój temat i od razu mam wyniki. Nie muszę oglądać 10 filmów na YouTube, żeby coś zrozumieć, więc oszczędzam swój czas. Po prostu polecam!
Kuba T
użytkownik Androida
W szkole byłem bardzo kiepski z matematyki, ale dzięki tej aplikacji radzę sobie teraz lepiej. Jestem bardzo wdzięczny, że ją stworzyliście.
Kriss
użytkownik Androida
Korzystam z Knowunity od ponad roku i jest mega! Najlepsze opcje z tej apki: ⭐️ Gotowe notatki ⭐️ Spersonalizowane treści ⭐️ Dostęp do chatu GPT W WERSJI SZKOLNEJ ⭐️ Konwersacje z innymi uczniami 🤍 NAUKA WRESZCIE NIE JEST NUDNA 🤍
Gosia
użytkowniczka Android
Bardzo lubię aplikację Knowunity, ponieważ pomaga mi w nauce. Odkąd ją mam moje oceny się poprawiają :)
Sara
użytkowniczka iOS
QUIZY I FISZKI SĄ SUPER PRZYDATNE I UWIELBIAM Knowunity AI. TO JEST DOSŁOWNIE JAK CHATGPT ALE MĄDRZEJSZY!! POMÓGŁ MI NAWET Z PROBLEMAMI Z TUSZEM DO RZĘS!! A TAKŻE Z PRAWDZIWYMI PRZEDMIOTAMI! OCZYWIŚCIE 😍😁😲🤑💗✨🎀😮
Krzysztof
użytkownik Android
Bardzo fajna aplikacja. Pomaga przygotować się do sprawdzianu, kartkówki lub odpowiedzi ustnej.
Oliwia
użytkowniczka iOS
Aplikacja jest bardzo prosta i dobrze przemyślana. Do tej pory znalazłem wszystko, czego szukałem i mogłem się wiele nauczyć z innych notatek! Na pewno wykorzystam aplikację do pomocy przy robieniu prac domowych! No i oczywiście bardzo pomaga też jako inspiracja do robienia swoich notatek.
Stefan S
użytkownik iOS
Ta aplikacja jest naprawdę świetna. Jest tak wiele notatek i pomocnych informacji [...]. Moim problematycznym przedmiotem jest język niemiecki, a w aplikacji jest w czym wybierać. Dzięki tej aplikacji poprawiłam swój niemiecki. Polecam ją każdemu.
Samantha Klich
użytkownik Androida
Wow, jestem w szoku. Właśnie wypróbowałam aplikację, ponieważ widziałam ją kilka razy reklamowaną na TikToku jestem absolutnie w szoku. Ta aplikacja jest POMOCĄ, której potrzebujesz w szkole i przede wszystkim oferuje tak wiele rzeczy jak notatki czy streszczenia, które są BARDZO pomocne w moim przypadku.
Anna
użytkownik iOS
Kocham tę aplikację! Pomaga mi w zadaniach domowych, motywuje mnie i polepsza mi dzień. Dzięki tej aplikacji moje oceny się poprawiły. Lepszej aplikacji nie znajdę!🩷
Patrycja
użytkowniczka iOS
Super aplikacja! Ma odpowiedzi na wszystkie zadania. Testuję ją od paru miesięcy i jest po prostu perfekcyjna.
Szymon
użytkownik Android
Super aplikacja do nauki i sprawdzania wiedzy. Można znaleźć notatki z WSZYSTKICH przedmiotów. Polecam tym, którzy celują w oceny 5 i 6 😄
Szymon
użytkownik iOS
Aplikacja jest po prostu świetna! Wystarczy, że wpiszę w pasku wyszukiwania swój temat i od razu mam wyniki. Nie muszę oglądać 10 filmów na YouTube, żeby coś zrozumieć, więc oszczędzam swój czas. Po prostu polecam!
Kuba T
użytkownik Androida
W szkole byłem bardzo kiepski z matematyki, ale dzięki tej aplikacji radzę sobie teraz lepiej. Jestem bardzo wdzięczny, że ją stworzyliście.
Kriss
użytkownik Androida
Korzystam z Knowunity od ponad roku i jest mega! Najlepsze opcje z tej apki: ⭐️ Gotowe notatki ⭐️ Spersonalizowane treści ⭐️ Dostęp do chatu GPT W WERSJI SZKOLNEJ ⭐️ Konwersacje z innymi uczniami 🤍 NAUKA WRESZCIE NIE JEST NUDNA 🤍
Gosia
użytkowniczka Android
Bardzo lubię aplikację Knowunity, ponieważ pomaga mi w nauce. Odkąd ją mam moje oceny się poprawiają :)
Sara
użytkowniczka iOS
QUIZY I FISZKI SĄ SUPER PRZYDATNE I UWIELBIAM Knowunity AI. TO JEST DOSŁOWNIE JAK CHATGPT ALE MĄDRZEJSZY!! POMÓGŁ MI NAWET Z PROBLEMAMI Z TUSZEM DO RZĘS!! A TAKŻE Z PRAWDZIWYMI PRZEDMIOTAMI! OCZYWIŚCIE 😍😁😲🤑💗✨🎀😮
Krzysztof
użytkownik Android
Bardzo fajna aplikacja. Pomaga przygotować się do sprawdzianu, kartkówki lub odpowiedzi ustnej.
Oliwia
użytkowniczka iOS