Hydroksy kwasy i aminokwasy to super ważne związki organiczne, które... Pokaż więcej
Zarejestruj się, aby zobaczyć notatkęTo nic nie kosztuje!
Dostęp do wszystkich materiałów
Popraw swoje oceny
Dołącz do milionów studentów
Knowunity AI
Przedmioty
Triangle Congruence and Similarity Theorems
Triangle Properties and Classification
Linear Equations and Graphs
Geometric Angle Relationships
Trigonometric Functions and Identities
Equation Solving Techniques
Circle Geometry Fundamentals
Division Operations and Methods
Basic Differentiation Rules
Exponent and Logarithm Properties
Pokaż wszystkie tematy
Human Organ Systems
Reproductive Cell Cycles
Biological Sciences Subdisciplines
Cellular Energy Metabolism
Autotrophic Energy Processes
Inheritance Patterns and Principles
Biomolecular Structure and Organization
Cell Cycle and Division Mechanics
Cellular Organization and Development
Biological Structural Organization
Pokaż wszystkie tematy
Chemical Sciences and Applications
Atomic Structure and Composition
Molecular Electron Structure Representation
Atomic Electron Behavior
Matter Properties and Water
Mole Concept and Calculations
Gas Laws and Behavior
Periodic Table Organization
Chemical Thermodynamics Fundamentals
Chemical Bond Types and Properties
Pokaż wszystkie tematy
European Renaissance and Enlightenment
European Cultural Movements 800-1920
American Revolution Era 1763-1797
American Civil War 1861-1865
Global Imperial Systems
Mongol and Chinese Dynasties
U.S. Presidents and World Leaders
Historical Sources and Documentation
World Wars Era and Impact
World Religious Systems
Pokaż wszystkie tematy
Classic and Contemporary Novels
Literary Character Analysis
Rhetorical Theory and Practice
Classic Literary Narratives
Reading Analysis and Interpretation
Narrative Structure and Techniques
English Language Components
Influential English-Language Authors
Basic Sentence Structure
Narrative Voice and Perspective
Pokaż wszystkie tematy
2,674
•
Zaktualizowano Apr 10, 2026
•
Jagoda Popowska
@jagodapopowska_rqnz
Hydroksy kwasy i aminokwasy to super ważne związki organiczne, które... Pokaż więcej











Żeby zrobić hydroksy kwas alifatyczny, musisz przejść przez trzy etapy, które są jak przepis na ciasto - każdy krok jest ważny!
Pierwszy etap to chlorowanie kwasu pod wpływem światła UV. Tutaj chlor wstawia się w miejsce wodoru, tworząc wiązanie z węglem. To substitucja, którą pewnie już znasz z alkanów.
Drugi etap to hydroliza zasadowa, gdzie NaOH zamienia chlor na grupę OH. Trzeci etap to po prostu zakwaszenie, żeby wrócić do formy kwasu zamiast soli.
Pamiętaj: UV w pierwszym etapie jest kluczowe - bez niego reakcja nie zajdzie!

Z kwasami aromatycznymi jest trochę inaczej - zaczynamy od fenolu i robimy syntezę Kolbego-Schmitta.
Najpierw fenol reaguje z NaOH, tworząc fenolan sodu. To klasyczna reakcja kwasowo-zasadowa, bo fenol jest słabym kwasem.
Potem fenolan sodu reaguje z dwutlenkiem węgla pod ciśnieniem. CO₂ wstawia się do pierścienia, tworząc grupę karboksylową. Na końcu zakwaszamy kwasem siarkowym, żeby otrzymać finalny produkt.
Efekt? Kwas salicylowy - tak, ten sam, który znajdziesz w aspirynie!
Ciekawostka: Ta reakcja działa tylko z fenolanami, nie z samym fenolem!

Hydroksy kwasy to prawdziwe chamelenony chemiczne - mają grupę karboksylową I grupę hydroksylową, więc reagują podwójnie!
Z metalami aktywnymi jak potas, reagują tak jak normalne kwasy. Wydzielają wodór i tworzą sole. Z zasadami też robią to, co każdy kwas - dają sól i wodę.
Estryfikacja to najciekawsza reakcja! Hydroksy kwas może reagować na dwa sposoby. Może zachowywać się jak kwas (grupa COOH reaguje) albo jak alkohol (grupa OH reaguje).
To znaczy, że z tym samym związkiem możesz otrzymać dwa różne estry!
Uwaga na maturze: Zawsze sprawdź, która grupa funkcyjna reaguje w estryfikacji!

Hydroksy kwasy reagują też z tlenkami metali - to normalna reakcja kwasowo-zasadowa, gdzie powstają sole i woda.
Dekarboksylacja to reakcja, gdzie tracisz grupę karboksylową jako CO₂. Zostaje ci wtedy alkohol. To ważne, bo pokazuje, jak można "skracać" cząsteczki.
Temperatura ma tutaj kluczowe znaczenie - bez odpowiedniego ogrzewania dekarboksylacja nie zajdzie. Produktem jest zawsze alkohol z jednym węglem mniej.
Ta reakcja jest odwracalna względem syntezy, więc możesz myśleć o niej jak o "rozkładaniu" kwasu.
Mnemotechnika: DEkarboksylacja = Usuwanie CO₂ !

Laktydy powstają z α-hydroksykwasów, gdy dwie cząsteczki łączą się razem, tracąc wodę. To kondensacja, która tworzy pierścień z dwóch molekuł.
Nazwa "laktyd" pochodzi od kwasu mlekowego , który najczęściej tworzy takie struktury. Powstaje wiązanie estrowe między cząsteczkami.
Laktony to co innego - powstają z γ-hydroksykwasów w reakcji wewnątrzcząsteczkowej. Grupa OH reaguje z grupą COOH tej samej molekuły!
Rezultat? Cykliczny ester o pięciu członach. To jak gdyby cząsteczka "zwijała się" sama w sobie, tworząc pierścień.
Rozróżnienie: Laktydy = z dwóch cząsteczek, laktony = z jednej cząsteczki!

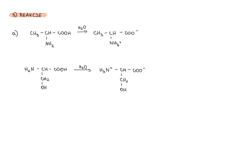
Aminokwasy to building blocki białek! Mają grupę aminową i grupę karboksylową połączone z tym samym węglem α.
Pozycje węgli oznaczamy literami greckimi: α, β, γ. Węgiel α to ten, który jest bezpośrednio przy grupie COOH. Właśnie tam znajduje się grupa aminowa.
Glicyna to najprostszy aminokwas - zamiast łańcucha bocznego ma tylko wodór. Alanina ma już grupę metylową jako łańcuch boczny.
Te dwa to musisz znać na pamięć! Glicyna = Gly, Alanina = Ala. To standardowe oznaczenia używane w biochemii.
Fakt: W przyrodzie występuje 20 podstawowych aminokwasów budujących białka!

Pierwszy sposób to amonoliza kwasu halogenokarboksylowego. Amoniak (NH₃) zastępuje halogen, tworząc grupę aminową. To prosta substitucja nukleofilowa.
Drugi sposób to synteza Streckera - dwa etapy, które dają lepsze wyniki. Zaczynasz od aldehydu i cyjanku amonu, tworzysz nitryl aminowy.
Potem hydrolujesz nitryl w środowisku kwaśnym. Grupa CN zamienia się w COOH, a przy okazji powstaje amoniak. To elegancka metoda, bo w jednej reakcji budujesz szkielet aminokwasu.
Synteza Streckera jest przemysłowo ważniejsza, bo daje czyste produkty i można ją łatwo skalować.
Wskazówka: Strecker = aldehydy + CN⁻, potem hydroliza!

Aminokwasy są amfoteryczne - mogą być zarówno kwasami, jak i zasadami! To dlatego, że mają obie grupy funkcyjne.
W wodzie tworzą jon obojętny (zwitterion), gdzie grupa aminowa jest sprotonowana , a grupa karboksylowa zdeprotonowana (COO⁻).
Stan ten nazywa się punktem izoelektrycznym. Aminokwas ma wtedy ładunek netto równy zero, mimo że lokalnie ma ładunki dodatnie i ujemne.
To właśnie dlatego aminokwasy dobrze rozpuszczają się w wodzie i mają wysokie temperatury topnienia - są praktycznie solami wewnętrznymi!
Kluczowe: Zwitterion = forma z oba ładunkami w tej samej cząsteczce!

Z zasadami aminokwasy reagują grupą karboksylową. NaOH neutralizuje kwasowy charakter, tworząc sól sodową i wodę. To normalna reakcja kwasowo-zasadowa.
Z kwasami reaguje grupa aminowa, która ma charakter zasadowy. HCl protonuje azot, tworząc jon amoniowy. Powstaje sól chlorkowa.
Te reakcje pokazują podwójną naturę aminokwasów. W zależności od pH środowiska, mogą zachowywać się jak kwasy lub zasady.
W praktyce oznacza to, że aminokwasy są doskonałymi buforami pH - mogą stabilizować odczyn roztworów.
Pamiętaj: Zasady atakują COOH, kwasy atakują NH₂!

Nasz asystent AI jest specjalnie dostosowany do potrzeb uczniów. W oparciu o miliony treści, które mamy na platformie, możemy udzielać uczniom naprawdę znaczących i trafnych odpowiedzi. Ale nie chodzi tylko o odpowiedzi, towarzysz prowadzi również uczniów przez codzienne wyzwania związane z nauką, ze spersonalizowanymi planami nauki, quizami lub treściami na czacie i 100% personalizacją opartą na umiejętnościach i rozwoju uczniów.
Aplikację możesz pobrać z Google Play i Apple Store.
Tak, masz całkowicie darmowy dostęp do wszystkich notatek w aplikacji, możesz w każdej chwili rozmawiać z Ekspertami lub ich obserwować. Możesz użyć punktów, aby odblokować pewne funkcje w aplikacji, które również możesz otrzymać za darmo. Dodatkowo oferujemy usługę Knowunity Premium, która pozwala na odblokowanie większej liczby funkcji.
App Store
Google Play
Aplikacja jest bardzo prosta i dobrze przemyślana. Do tej pory znalazłem wszystko, czego szukałem i mogłem się wiele nauczyć z innych notatek! Na pewno wykorzystam aplikację do pomocy przy robieniu prac domowych! No i oczywiście bardzo pomaga też jako inspiracja do robienia swoich notatek.
Stefan S
użytkownik iOS
Ta aplikacja jest naprawdę świetna. Jest tak wiele notatek i pomocnych informacji [...]. Moim problematycznym przedmiotem jest język niemiecki, a w aplikacji jest w czym wybierać. Dzięki tej aplikacji poprawiłam swój niemiecki. Polecam ją każdemu.
Samantha Klich
użytkownik Androida
Wow, jestem w szoku. Właśnie wypróbowałam aplikację, ponieważ widziałam ją kilka razy reklamowaną na TikToku jestem absolutnie w szoku. Ta aplikacja jest POMOCĄ, której potrzebujesz w szkole i przede wszystkim oferuje tak wiele rzeczy jak notatki czy streszczenia, które są BARDZO pomocne w moim przypadku.
Anna
użytkownik iOS
Kocham tę aplikację! Pomaga mi w zadaniach domowych, motywuje mnie i polepsza mi dzień. Dzięki tej aplikacji moje oceny się poprawiły. Lepszej aplikacji nie znajdę!🩷
Patrycja
użytkowniczka iOS
Super aplikacja! Ma odpowiedzi na wszystkie zadania. Testuję ją od paru miesięcy i jest po prostu perfekcyjna.
Szymon
użytkownik Android
Super aplikacja do nauki i sprawdzania wiedzy. Można znaleźć notatki z WSZYSTKICH przedmiotów. Polecam tym, którzy celują w oceny 5 i 6 😄
Szymon
użytkownik iOS
Aplikacja jest po prostu świetna! Wystarczy, że wpiszę w pasku wyszukiwania swój temat i od razu mam wyniki. Nie muszę oglądać 10 filmów na YouTube, żeby coś zrozumieć, więc oszczędzam swój czas. Po prostu polecam!
Kuba T
użytkownik Androida
W szkole byłem bardzo kiepski z matematyki, ale dzięki tej aplikacji radzę sobie teraz lepiej. Jestem bardzo wdzięczny, że ją stworzyliście.
Kriss
użytkownik Androida
Korzystam z Knowunity od ponad roku i jest mega! Najlepsze opcje z tej apki: ⭐️ Gotowe notatki ⭐️ Spersonalizowane treści ⭐️ Dostęp do chatu GPT W WERSJI SZKOLNEJ ⭐️ Konwersacje z innymi uczniami 🤍 NAUKA WRESZCIE NIE JEST NUDNA 🤍
Gosia
użytkowniczka Android
Bardzo lubię aplikację Knowunity, ponieważ pomaga mi w nauce. Odkąd ją mam moje oceny się poprawiają :)
Sara
użytkowniczka iOS
QUIZY I FISZKI SĄ SUPER PRZYDATNE I UWIELBIAM Knowunity AI. TO JEST DOSŁOWNIE JAK CHATGPT ALE MĄDRZEJSZY!! POMÓGŁ MI NAWET Z PROBLEMAMI Z TUSZEM DO RZĘS!! A TAKŻE Z PRAWDZIWYMI PRZEDMIOTAMI! OCZYWIŚCIE 😍😁😲🤑💗✨🎀😮
Krzysztof
użytkownik Android
Bardzo fajna aplikacja. Pomaga przygotować się do sprawdzianu, kartkówki lub odpowiedzi ustnej.
Oliwia
użytkowniczka iOS
Aplikacja jest bardzo prosta i dobrze przemyślana. Do tej pory znalazłem wszystko, czego szukałem i mogłem się wiele nauczyć z innych notatek! Na pewno wykorzystam aplikację do pomocy przy robieniu prac domowych! No i oczywiście bardzo pomaga też jako inspiracja do robienia swoich notatek.
Stefan S
użytkownik iOS
Ta aplikacja jest naprawdę świetna. Jest tak wiele notatek i pomocnych informacji [...]. Moim problematycznym przedmiotem jest język niemiecki, a w aplikacji jest w czym wybierać. Dzięki tej aplikacji poprawiłam swój niemiecki. Polecam ją każdemu.
Samantha Klich
użytkownik Androida
Wow, jestem w szoku. Właśnie wypróbowałam aplikację, ponieważ widziałam ją kilka razy reklamowaną na TikToku jestem absolutnie w szoku. Ta aplikacja jest POMOCĄ, której potrzebujesz w szkole i przede wszystkim oferuje tak wiele rzeczy jak notatki czy streszczenia, które są BARDZO pomocne w moim przypadku.
Anna
użytkownik iOS
Kocham tę aplikację! Pomaga mi w zadaniach domowych, motywuje mnie i polepsza mi dzień. Dzięki tej aplikacji moje oceny się poprawiły. Lepszej aplikacji nie znajdę!🩷
Patrycja
użytkowniczka iOS
Super aplikacja! Ma odpowiedzi na wszystkie zadania. Testuję ją od paru miesięcy i jest po prostu perfekcyjna.
Szymon
użytkownik Android
Super aplikacja do nauki i sprawdzania wiedzy. Można znaleźć notatki z WSZYSTKICH przedmiotów. Polecam tym, którzy celują w oceny 5 i 6 😄
Szymon
użytkownik iOS
Aplikacja jest po prostu świetna! Wystarczy, że wpiszę w pasku wyszukiwania swój temat i od razu mam wyniki. Nie muszę oglądać 10 filmów na YouTube, żeby coś zrozumieć, więc oszczędzam swój czas. Po prostu polecam!
Kuba T
użytkownik Androida
W szkole byłem bardzo kiepski z matematyki, ale dzięki tej aplikacji radzę sobie teraz lepiej. Jestem bardzo wdzięczny, że ją stworzyliście.
Kriss
użytkownik Androida
Korzystam z Knowunity od ponad roku i jest mega! Najlepsze opcje z tej apki: ⭐️ Gotowe notatki ⭐️ Spersonalizowane treści ⭐️ Dostęp do chatu GPT W WERSJI SZKOLNEJ ⭐️ Konwersacje z innymi uczniami 🤍 NAUKA WRESZCIE NIE JEST NUDNA 🤍
Gosia
użytkowniczka Android
Bardzo lubię aplikację Knowunity, ponieważ pomaga mi w nauce. Odkąd ją mam moje oceny się poprawiają :)
Sara
użytkowniczka iOS
QUIZY I FISZKI SĄ SUPER PRZYDATNE I UWIELBIAM Knowunity AI. TO JEST DOSŁOWNIE JAK CHATGPT ALE MĄDRZEJSZY!! POMÓGŁ MI NAWET Z PROBLEMAMI Z TUSZEM DO RZĘS!! A TAKŻE Z PRAWDZIWYMI PRZEDMIOTAMI! OCZYWIŚCIE 😍😁😲🤑💗✨🎀😮
Krzysztof
użytkownik Android
Bardzo fajna aplikacja. Pomaga przygotować się do sprawdzianu, kartkówki lub odpowiedzi ustnej.
Oliwia
użytkowniczka iOS
Jagoda Popowska
@jagodapopowska_rqnz
Hydroksy kwasy i aminokwasy to super ważne związki organiczne, które spotkasz nie tylko na maturze, ale też w przyrodzie! Te cząsteczki mają specjalne grupy funkcyjne, które sprawiają, że reagują w naprawdę ciekawy sposób.

Dostęp do wszystkich materiałów
Popraw swoje oceny
Dołącz do milionów studentów
Żeby zrobić hydroksy kwas alifatyczny, musisz przejść przez trzy etapy, które są jak przepis na ciasto - każdy krok jest ważny!
Pierwszy etap to chlorowanie kwasu pod wpływem światła UV. Tutaj chlor wstawia się w miejsce wodoru, tworząc wiązanie z węglem. To substitucja, którą pewnie już znasz z alkanów.
Drugi etap to hydroliza zasadowa, gdzie NaOH zamienia chlor na grupę OH. Trzeci etap to po prostu zakwaszenie, żeby wrócić do formy kwasu zamiast soli.
Pamiętaj: UV w pierwszym etapie jest kluczowe - bez niego reakcja nie zajdzie!

Dostęp do wszystkich materiałów
Popraw swoje oceny
Dołącz do milionów studentów
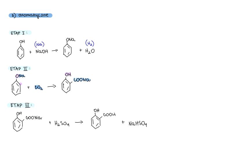
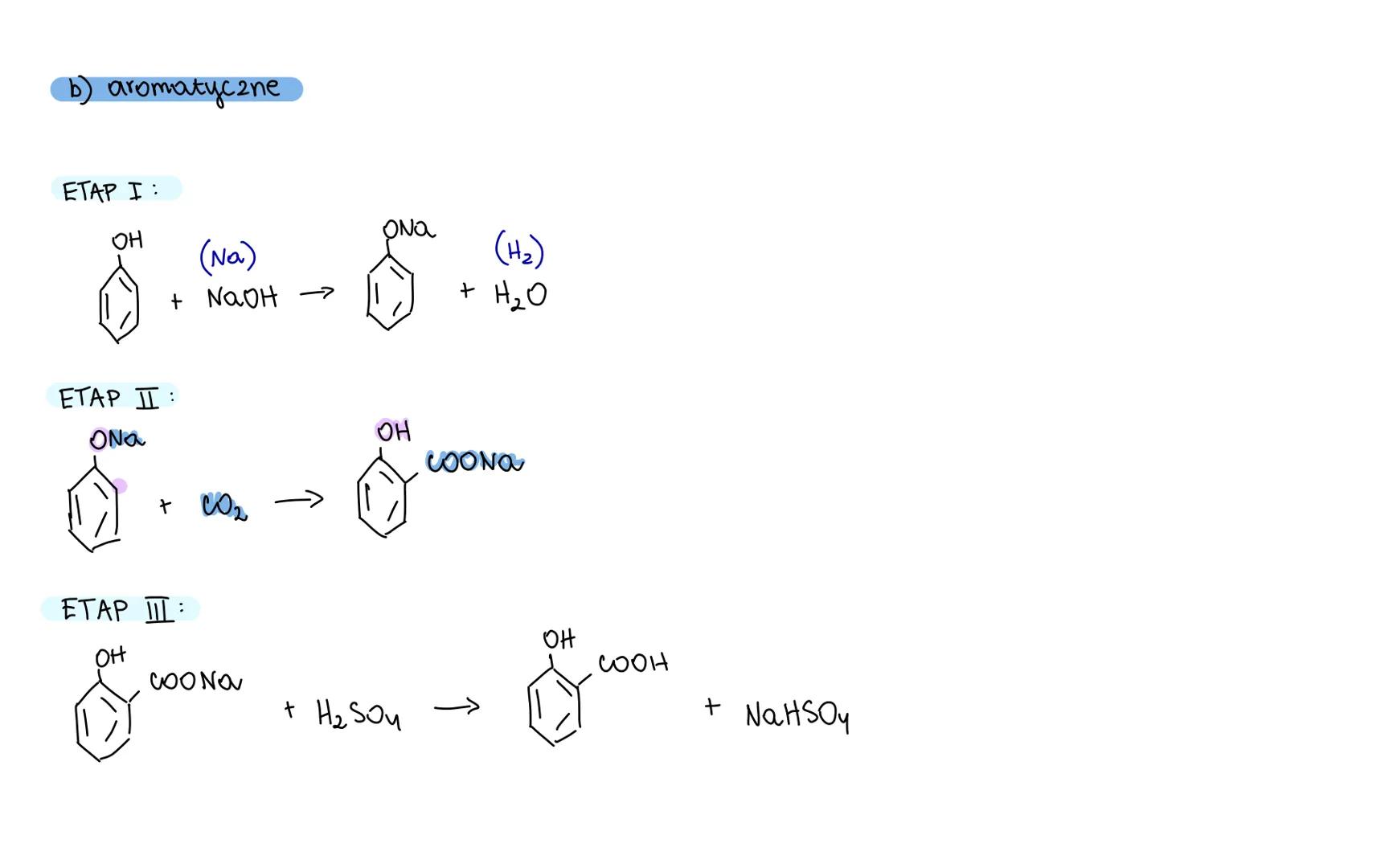
Z kwasami aromatycznymi jest trochę inaczej - zaczynamy od fenolu i robimy syntezę Kolbego-Schmitta.
Najpierw fenol reaguje z NaOH, tworząc fenolan sodu. To klasyczna reakcja kwasowo-zasadowa, bo fenol jest słabym kwasem.
Potem fenolan sodu reaguje z dwutlenkiem węgla pod ciśnieniem. CO₂ wstawia się do pierścienia, tworząc grupę karboksylową. Na końcu zakwaszamy kwasem siarkowym, żeby otrzymać finalny produkt.
Efekt? Kwas salicylowy - tak, ten sam, który znajdziesz w aspirynie!
Ciekawostka: Ta reakcja działa tylko z fenolanami, nie z samym fenolem!

Dostęp do wszystkich materiałów
Popraw swoje oceny
Dołącz do milionów studentów
Hydroksy kwasy to prawdziwe chamelenony chemiczne - mają grupę karboksylową I grupę hydroksylową, więc reagują podwójnie!
Z metalami aktywnymi jak potas, reagują tak jak normalne kwasy. Wydzielają wodór i tworzą sole. Z zasadami też robią to, co każdy kwas - dają sól i wodę.
Estryfikacja to najciekawsza reakcja! Hydroksy kwas może reagować na dwa sposoby. Może zachowywać się jak kwas (grupa COOH reaguje) albo jak alkohol (grupa OH reaguje).
To znaczy, że z tym samym związkiem możesz otrzymać dwa różne estry!
Uwaga na maturze: Zawsze sprawdź, która grupa funkcyjna reaguje w estryfikacji!

Dostęp do wszystkich materiałów
Popraw swoje oceny
Dołącz do milionów studentów
Hydroksy kwasy reagują też z tlenkami metali - to normalna reakcja kwasowo-zasadowa, gdzie powstają sole i woda.
Dekarboksylacja to reakcja, gdzie tracisz grupę karboksylową jako CO₂. Zostaje ci wtedy alkohol. To ważne, bo pokazuje, jak można "skracać" cząsteczki.
Temperatura ma tutaj kluczowe znaczenie - bez odpowiedniego ogrzewania dekarboksylacja nie zajdzie. Produktem jest zawsze alkohol z jednym węglem mniej.
Ta reakcja jest odwracalna względem syntezy, więc możesz myśleć o niej jak o "rozkładaniu" kwasu.
Mnemotechnika: DEkarboksylacja = Usuwanie CO₂ !

Dostęp do wszystkich materiałów
Popraw swoje oceny
Dołącz do milionów studentów
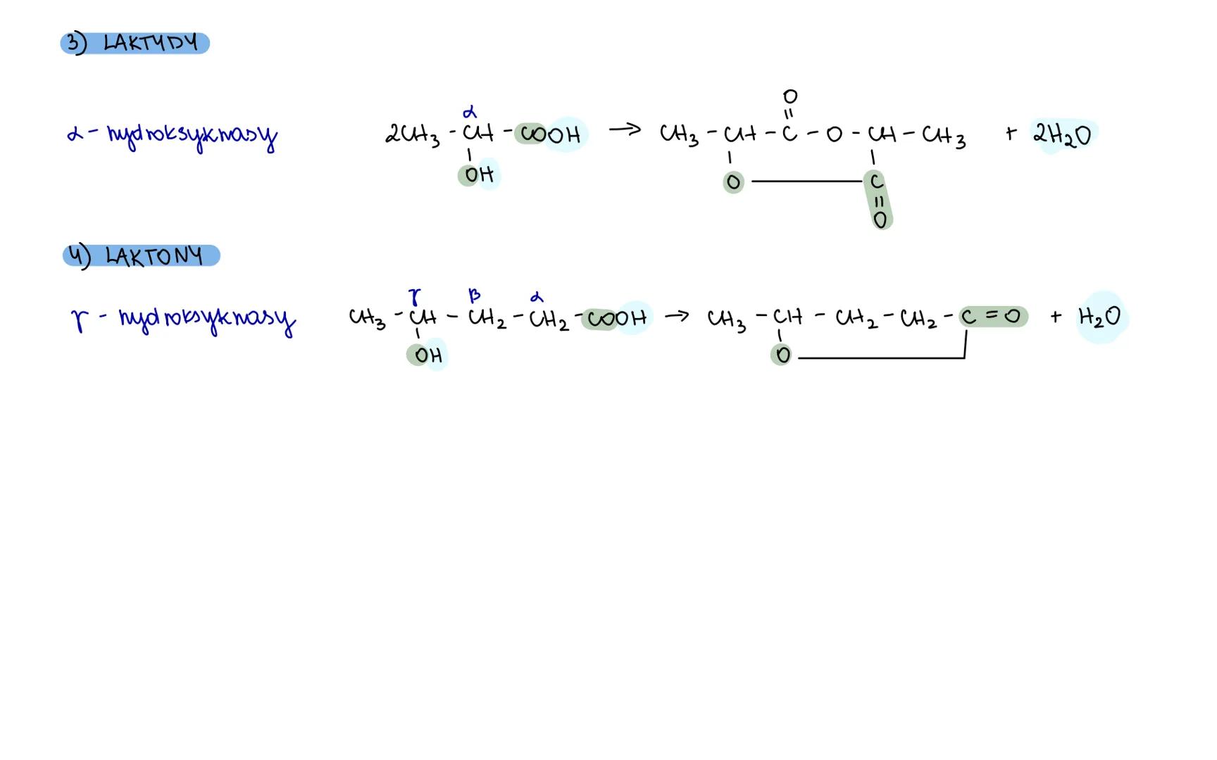
Laktydy powstają z α-hydroksykwasów, gdy dwie cząsteczki łączą się razem, tracąc wodę. To kondensacja, która tworzy pierścień z dwóch molekuł.
Nazwa "laktyd" pochodzi od kwasu mlekowego , który najczęściej tworzy takie struktury. Powstaje wiązanie estrowe między cząsteczkami.
Laktony to co innego - powstają z γ-hydroksykwasów w reakcji wewnątrzcząsteczkowej. Grupa OH reaguje z grupą COOH tej samej molekuły!
Rezultat? Cykliczny ester o pięciu członach. To jak gdyby cząsteczka "zwijała się" sama w sobie, tworząc pierścień.
Rozróżnienie: Laktydy = z dwóch cząsteczek, laktony = z jednej cząsteczki!

Dostęp do wszystkich materiałów
Popraw swoje oceny
Dołącz do milionów studentów
Aminokwasy to building blocki białek! Mają grupę aminową i grupę karboksylową połączone z tym samym węglem α.
Pozycje węgli oznaczamy literami greckimi: α, β, γ. Węgiel α to ten, który jest bezpośrednio przy grupie COOH. Właśnie tam znajduje się grupa aminowa.
Glicyna to najprostszy aminokwas - zamiast łańcucha bocznego ma tylko wodór. Alanina ma już grupę metylową jako łańcuch boczny.
Te dwa to musisz znać na pamięć! Glicyna = Gly, Alanina = Ala. To standardowe oznaczenia używane w biochemii.
Fakt: W przyrodzie występuje 20 podstawowych aminokwasów budujących białka!

Dostęp do wszystkich materiałów
Popraw swoje oceny
Dołącz do milionów studentów
Pierwszy sposób to amonoliza kwasu halogenokarboksylowego. Amoniak (NH₃) zastępuje halogen, tworząc grupę aminową. To prosta substitucja nukleofilowa.
Drugi sposób to synteza Streckera - dwa etapy, które dają lepsze wyniki. Zaczynasz od aldehydu i cyjanku amonu, tworzysz nitryl aminowy.
Potem hydrolujesz nitryl w środowisku kwaśnym. Grupa CN zamienia się w COOH, a przy okazji powstaje amoniak. To elegancka metoda, bo w jednej reakcji budujesz szkielet aminokwasu.
Synteza Streckera jest przemysłowo ważniejsza, bo daje czyste produkty i można ją łatwo skalować.
Wskazówka: Strecker = aldehydy + CN⁻, potem hydroliza!

Dostęp do wszystkich materiałów
Popraw swoje oceny
Dołącz do milionów studentów
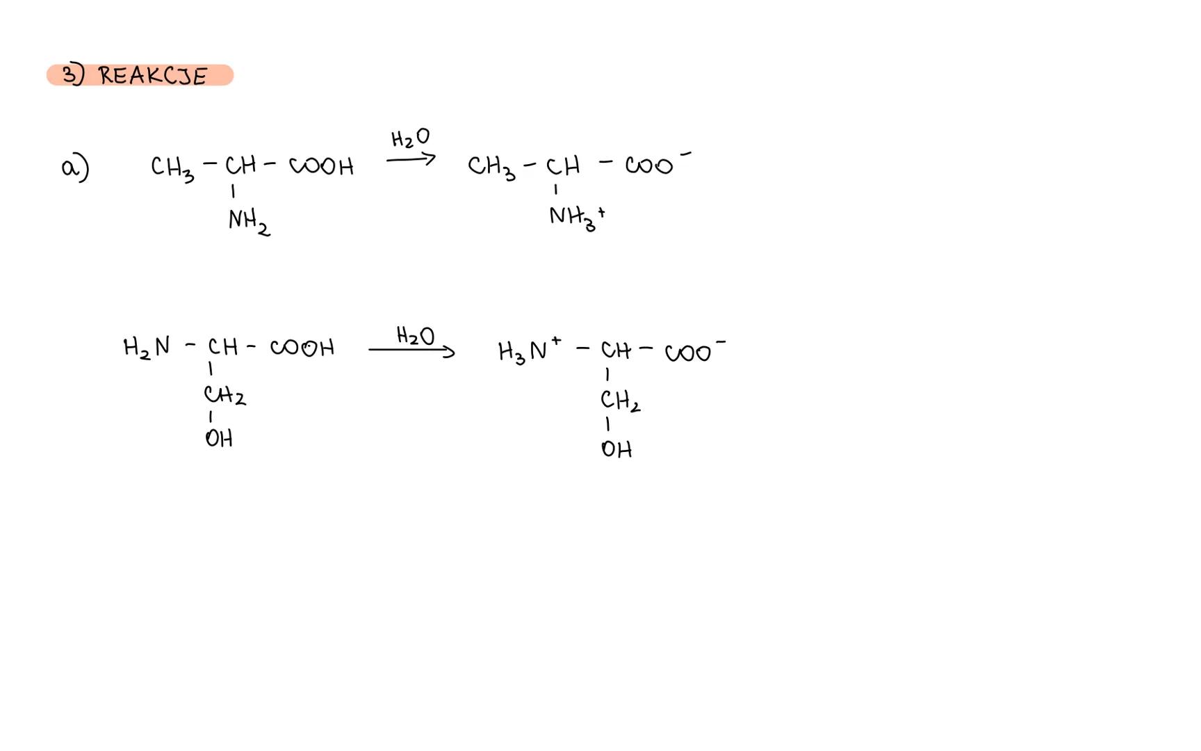
Aminokwasy są amfoteryczne - mogą być zarówno kwasami, jak i zasadami! To dlatego, że mają obie grupy funkcyjne.
W wodzie tworzą jon obojętny (zwitterion), gdzie grupa aminowa jest sprotonowana , a grupa karboksylowa zdeprotonowana (COO⁻).
Stan ten nazywa się punktem izoelektrycznym. Aminokwas ma wtedy ładunek netto równy zero, mimo że lokalnie ma ładunki dodatnie i ujemne.
To właśnie dlatego aminokwasy dobrze rozpuszczają się w wodzie i mają wysokie temperatury topnienia - są praktycznie solami wewnętrznymi!
Kluczowe: Zwitterion = forma z oba ładunkami w tej samej cząsteczce!

Dostęp do wszystkich materiałów
Popraw swoje oceny
Dołącz do milionów studentów
Z zasadami aminokwasy reagują grupą karboksylową. NaOH neutralizuje kwasowy charakter, tworząc sól sodową i wodę. To normalna reakcja kwasowo-zasadowa.
Z kwasami reaguje grupa aminowa, która ma charakter zasadowy. HCl protonuje azot, tworząc jon amoniowy. Powstaje sól chlorkowa.
Te reakcje pokazują podwójną naturę aminokwasów. W zależności od pH środowiska, mogą zachowywać się jak kwasy lub zasady.
W praktyce oznacza to, że aminokwasy są doskonałymi buforami pH - mogą stabilizować odczyn roztworów.
Pamiętaj: Zasady atakują COOH, kwasy atakują NH₂!

Dostęp do wszystkich materiałów
Popraw swoje oceny
Dołącz do milionów studentów
Nasz asystent AI jest specjalnie dostosowany do potrzeb uczniów. W oparciu o miliony treści, które mamy na platformie, możemy udzielać uczniom naprawdę znaczących i trafnych odpowiedzi. Ale nie chodzi tylko o odpowiedzi, towarzysz prowadzi również uczniów przez codzienne wyzwania związane z nauką, ze spersonalizowanymi planami nauki, quizami lub treściami na czacie i 100% personalizacją opartą na umiejętnościach i rozwoju uczniów.
Aplikację możesz pobrać z Google Play i Apple Store.
Tak, masz całkowicie darmowy dostęp do wszystkich notatek w aplikacji, możesz w każdej chwili rozmawiać z Ekspertami lub ich obserwować. Możesz użyć punktów, aby odblokować pewne funkcje w aplikacji, które również możesz otrzymać za darmo. Dodatkowo oferujemy usługę Knowunity Premium, która pozwala na odblokowanie większej liczby funkcji.
39
Inteligentne Narzędzia NOWE
Przekształć te notatki w: ✓ 50+ Pytań Testowych ✓ Interaktywne Fiszki ✓ Pełny egzamin próbny ✓ Plany Eseju
App Store
Google Play
Aplikacja jest bardzo prosta i dobrze przemyślana. Do tej pory znalazłem wszystko, czego szukałem i mogłem się wiele nauczyć z innych notatek! Na pewno wykorzystam aplikację do pomocy przy robieniu prac domowych! No i oczywiście bardzo pomaga też jako inspiracja do robienia swoich notatek.
Stefan S
użytkownik iOS
Ta aplikacja jest naprawdę świetna. Jest tak wiele notatek i pomocnych informacji [...]. Moim problematycznym przedmiotem jest język niemiecki, a w aplikacji jest w czym wybierać. Dzięki tej aplikacji poprawiłam swój niemiecki. Polecam ją każdemu.
Samantha Klich
użytkownik Androida
Wow, jestem w szoku. Właśnie wypróbowałam aplikację, ponieważ widziałam ją kilka razy reklamowaną na TikToku jestem absolutnie w szoku. Ta aplikacja jest POMOCĄ, której potrzebujesz w szkole i przede wszystkim oferuje tak wiele rzeczy jak notatki czy streszczenia, które są BARDZO pomocne w moim przypadku.
Anna
użytkownik iOS
Kocham tę aplikację! Pomaga mi w zadaniach domowych, motywuje mnie i polepsza mi dzień. Dzięki tej aplikacji moje oceny się poprawiły. Lepszej aplikacji nie znajdę!🩷
Patrycja
użytkowniczka iOS
Super aplikacja! Ma odpowiedzi na wszystkie zadania. Testuję ją od paru miesięcy i jest po prostu perfekcyjna.
Szymon
użytkownik Android
Super aplikacja do nauki i sprawdzania wiedzy. Można znaleźć notatki z WSZYSTKICH przedmiotów. Polecam tym, którzy celują w oceny 5 i 6 😄
Szymon
użytkownik iOS
Aplikacja jest po prostu świetna! Wystarczy, że wpiszę w pasku wyszukiwania swój temat i od razu mam wyniki. Nie muszę oglądać 10 filmów na YouTube, żeby coś zrozumieć, więc oszczędzam swój czas. Po prostu polecam!
Kuba T
użytkownik Androida
W szkole byłem bardzo kiepski z matematyki, ale dzięki tej aplikacji radzę sobie teraz lepiej. Jestem bardzo wdzięczny, że ją stworzyliście.
Kriss
użytkownik Androida
Korzystam z Knowunity od ponad roku i jest mega! Najlepsze opcje z tej apki: ⭐️ Gotowe notatki ⭐️ Spersonalizowane treści ⭐️ Dostęp do chatu GPT W WERSJI SZKOLNEJ ⭐️ Konwersacje z innymi uczniami 🤍 NAUKA WRESZCIE NIE JEST NUDNA 🤍
Gosia
użytkowniczka Android
Bardzo lubię aplikację Knowunity, ponieważ pomaga mi w nauce. Odkąd ją mam moje oceny się poprawiają :)
Sara
użytkowniczka iOS
QUIZY I FISZKI SĄ SUPER PRZYDATNE I UWIELBIAM Knowunity AI. TO JEST DOSŁOWNIE JAK CHATGPT ALE MĄDRZEJSZY!! POMÓGŁ MI NAWET Z PROBLEMAMI Z TUSZEM DO RZĘS!! A TAKŻE Z PRAWDZIWYMI PRZEDMIOTAMI! OCZYWIŚCIE 😍😁😲🤑💗✨🎀😮
Krzysztof
użytkownik Android
Bardzo fajna aplikacja. Pomaga przygotować się do sprawdzianu, kartkówki lub odpowiedzi ustnej.
Oliwia
użytkowniczka iOS
Aplikacja jest bardzo prosta i dobrze przemyślana. Do tej pory znalazłem wszystko, czego szukałem i mogłem się wiele nauczyć z innych notatek! Na pewno wykorzystam aplikację do pomocy przy robieniu prac domowych! No i oczywiście bardzo pomaga też jako inspiracja do robienia swoich notatek.
Stefan S
użytkownik iOS
Ta aplikacja jest naprawdę świetna. Jest tak wiele notatek i pomocnych informacji [...]. Moim problematycznym przedmiotem jest język niemiecki, a w aplikacji jest w czym wybierać. Dzięki tej aplikacji poprawiłam swój niemiecki. Polecam ją każdemu.
Samantha Klich
użytkownik Androida
Wow, jestem w szoku. Właśnie wypróbowałam aplikację, ponieważ widziałam ją kilka razy reklamowaną na TikToku jestem absolutnie w szoku. Ta aplikacja jest POMOCĄ, której potrzebujesz w szkole i przede wszystkim oferuje tak wiele rzeczy jak notatki czy streszczenia, które są BARDZO pomocne w moim przypadku.
Anna
użytkownik iOS
Kocham tę aplikację! Pomaga mi w zadaniach domowych, motywuje mnie i polepsza mi dzień. Dzięki tej aplikacji moje oceny się poprawiły. Lepszej aplikacji nie znajdę!🩷
Patrycja
użytkowniczka iOS
Super aplikacja! Ma odpowiedzi na wszystkie zadania. Testuję ją od paru miesięcy i jest po prostu perfekcyjna.
Szymon
użytkownik Android
Super aplikacja do nauki i sprawdzania wiedzy. Można znaleźć notatki z WSZYSTKICH przedmiotów. Polecam tym, którzy celują w oceny 5 i 6 😄
Szymon
użytkownik iOS
Aplikacja jest po prostu świetna! Wystarczy, że wpiszę w pasku wyszukiwania swój temat i od razu mam wyniki. Nie muszę oglądać 10 filmów na YouTube, żeby coś zrozumieć, więc oszczędzam swój czas. Po prostu polecam!
Kuba T
użytkownik Androida
W szkole byłem bardzo kiepski z matematyki, ale dzięki tej aplikacji radzę sobie teraz lepiej. Jestem bardzo wdzięczny, że ją stworzyliście.
Kriss
użytkownik Androida
Korzystam z Knowunity od ponad roku i jest mega! Najlepsze opcje z tej apki: ⭐️ Gotowe notatki ⭐️ Spersonalizowane treści ⭐️ Dostęp do chatu GPT W WERSJI SZKOLNEJ ⭐️ Konwersacje z innymi uczniami 🤍 NAUKA WRESZCIE NIE JEST NUDNA 🤍
Gosia
użytkowniczka Android
Bardzo lubię aplikację Knowunity, ponieważ pomaga mi w nauce. Odkąd ją mam moje oceny się poprawiają :)
Sara
użytkowniczka iOS
QUIZY I FISZKI SĄ SUPER PRZYDATNE I UWIELBIAM Knowunity AI. TO JEST DOSŁOWNIE JAK CHATGPT ALE MĄDRZEJSZY!! POMÓGŁ MI NAWET Z PROBLEMAMI Z TUSZEM DO RZĘS!! A TAKŻE Z PRAWDZIWYMI PRZEDMIOTAMI! OCZYWIŚCIE 😍😁😲🤑💗✨🎀😮
Krzysztof
użytkownik Android
Bardzo fajna aplikacja. Pomaga przygotować się do sprawdzianu, kartkówki lub odpowiedzi ustnej.
Oliwia
użytkowniczka iOS