Tlenki, wodorki i wodorotlenki to podstawowe związki nieorganiczne, które musisz... Pokaż więcej
Zarejestruj się, aby zobaczyć notatkęTo nic nie kosztuje!
Dostęp do wszystkich materiałów
Popraw swoje oceny
Dołącz do milionów studentów
Knowunity AI
Przedmioty
Triangle Congruence and Similarity Theorems
Triangle Properties and Classification
Linear Equations and Graphs
Geometric Angle Relationships
Trigonometric Functions and Identities
Equation Solving Techniques
Circle Geometry Fundamentals
Division Operations and Methods
Basic Differentiation Rules
Exponent and Logarithm Properties
Pokaż wszystkie tematy
Human Organ Systems
Reproductive Cell Cycles
Biological Sciences Subdisciplines
Cellular Energy Metabolism
Autotrophic Energy Processes
Inheritance Patterns and Principles
Biomolecular Structure and Organization
Cell Cycle and Division Mechanics
Cellular Organization and Development
Biological Structural Organization
Pokaż wszystkie tematy
Chemical Sciences and Applications
Atomic Structure and Composition
Molecular Electron Structure Representation
Atomic Electron Behavior
Matter Properties and Water
Mole Concept and Calculations
Gas Laws and Behavior
Periodic Table Organization
Chemical Thermodynamics Fundamentals
Chemical Bond Types and Properties
Pokaż wszystkie tematy
European Renaissance and Enlightenment
European Cultural Movements 800-1920
American Revolution Era 1763-1797
American Civil War 1861-1865
Global Imperial Systems
Mongol and Chinese Dynasties
U.S. Presidents and World Leaders
Historical Sources and Documentation
World Wars Era and Impact
World Religious Systems
Pokaż wszystkie tematy
Classic and Contemporary Novels
Literary Character Analysis
Rhetorical Theory and Practice
Classic Literary Narratives
Reading Analysis and Interpretation
Narrative Structure and Techniques
English Language Components
Influential English-Language Authors
Basic Sentence Structure
Narrative Voice and Perspective
Pokaż wszystkie tematy
193
•
Zaktualizowano Apr 15, 2026
•
jula
@szpulietta_fhgv
Tlenki, wodorki i wodorotlenki to podstawowe związki nieorganiczne, które musisz... Pokaż więcej











Tlenki to związki tlenu z innymi pierwiastkami, które poznasz po charakterystycznych wzorach. W zależności od wartościowości pierwiastka mogą mieć wzory X₂O, XO, X₂O₃, XO₂, X₂O₅ czy XO₃.
Najważniejszy podział to tlenki metali (budowa jonowa, ciała stałe) i tlenki niemetali (budowa kowalencyjna, różne stany skupienia). Ten podział determinuje ich właściwości chemiczne.
Ze względu na charakter chemiczny dzielisz tlenki na cztery typy. Tlenki zasadowe reagują z kwasami, tlenki kwasowe tworzą kwasy. Tlenki amfoteryczne jak BeO, Al₂O₃ reagują zarówno z kwasami jak i zasadami, a tlenki obojętne jak CO nie reagują z niczym.
💡 Zapamiętaj: Zasadowe + kwas = sól + woda, kwasowe + zasada = sól + woda, amfoteryczne reagują z obydwoma!

Tlenek zasadowy + kwas daje sól i wodę, np. CaO + 2HCl → CaCl₂ + H₂O. To klasyczna reakcja neutralizacji, którą napiszesz też w wersji jonowej.
Tlenek kwasowy + zasada też tworzy sól i wodę, jak SO₃ + 2NaOH → Na₂SO₄ + H₂O. Pamiętaj o zbilansowaniu równań - czasem potrzebujesz więcej cząsteczek zasady.
Większość tlenków reaguje z wodą tworząc odpowiednio zasady (tlenki zasadowe) lub kwasy (tlenki kwasowe). Na przykład Na₂O + H₂O → 2NaOH, a SO₃ + H₂O → H₂SO₄.
💡 Tip: Jeśli nie wiesz jakiego typu jest tlenek, sprawdź czy metal czy niemetal - to podpowie Ci typ reakcji!

Tlenki amfoteryczne to "chemiczni dyplomaci" - reagują zarówno z kwasami jak i zasadami. Z kwasem zachowują się jak tlenki zasadowe: Cr₂O₃ + 3H₂SO₄ → Cr₂(SO₄)₃ + 3H₂O.
Z zasadą tworzą jednak związki koordinacyjne z wodą: Cr₂O₃ + 3KOH + 3H₂O → 3K[Cr(OH)₆]. To bardziej skomplikowane produkty niż zwykłe sole.
Kluczowe tlenki amfoteryczne to: BeO, Al₂O₃, Cr₂O₃, ZnO, CuO. Zapamiętaj je, bo często pojawiają się na sprawdzianach jako "pułapki" - wyglądają jak tlenki metali, ale reagują inaczej.
💡 Uwaga: Tlenki amfoteryczne to głównie metale przejściowe i te z granicy metali/niemetali!

Najprostrza metoda to bezpośrednia synteza: metal + tlen = tlenek . To podstawowa reakcja spalania, którą znasz ze środowiska.
Rozkład termiczny to podgrzewanie węglanów czy wodorotlenków: CaCO₃ → CaO + CO₂. Często wykorzystywane w przemyśle, np. przy produkcji wapna.
Inne metody to utlenianie tlenków czy redukcja . Możesz też rozkładać kwasy: H₂SO₄ → SO₂ + H₂O.
💡 Praktycznie: Większość tlenków w przyrodzie powstaje przez spalanie lub rozkład termiczny!

Wodorki to połączenia wodoru z innymi pierwiastkami. Wzór zależy od grupy: dla grup 1-15 piszesz XHₙ, dla grup 16-17 HₙX.
Dzielą się podobnie jak tlenki. Wodorki zasadowe reagują z kwasami: NaH + HCl → NaCl + H₂. Wodorki kwasowe reagują z zasadami.
Reakcja wodorku z kwasem często daje gaz wodór - to charakterystyczne "bulgotanie". Wyjątek to amoniak NH₃, który reaguje inaczej: NH₃ + HCl → NH₄Cl.
💡 Ciekawostka: Wodorki metali to doskonałe źródła wodoru - wystarczy dodać kwas!

Wodorki metali z wodą dają zasadę i wodór: NaH + H₂O → NaOH + H₂↑. To reakcja gwałtowna - wodór może się zapalić!
Amoniak z wodą tworzy słabą zasadę: NH₃ + H₂O ⇌ NH₄⁺ + OH⁻. Symbol równowagi pokazuje, że reakcja jest odwracalna.
Wodorki kwasowe w wodzie rozpadają się na jony: HCl → H⁺ + Cl⁻. To typowe kwasy, które znasz z codzienności.
💡 Bezpieczeństwo: Reakcje wodorków z wodą mogą być bardzo gwałtowne - zawsze ostrożnie!

Bezpośrednia synteza to reakcja pierwiastka z wodorem: 2Na + H₂ → 2NaH lub N₂ + 3H₂ → 2NH₃. Druga reakcja wymaga katalizatora i ciśnienia.
Wypieranie z soli to klasyczna metoda dla wodorków kwasowych: Na₂S + H₂SO₄ → Na₂SO₄ + H₂S↑. Mocniejszy kwas wypiera słabszy.
Dla amoniaku używasz reakcji: NH₄Cl + NaOH → NH₃↑ + NaCl + H₂O. Podgrzewanie zwiększa wydajność - amoniak ma charakterystyczny ostry zapach.
💡 W laboratorium: Wodorki kwasowe najłatwiej otrzymać przez wypieranie z soli!

Wodorotlenki to związki jonowe składające się z kationu metalu i anionu OH⁻. Wszystkie to ciała stałe o charakterystycznej budowie krystalicznej.
W nazewnictwie dodajesz "wodorotlenek" przed nazwą metalu: Ca(OH)₂ to wodorotlenek wapnia, Al(OH)₃ to wodorotlenek glinu. Dla metali o zmiennej wartościowości dodajesz rzymską cyfrę.
Charakter chemiczny dzieli je na zasadowe , amfoteryczne (Be(OH)₂, Al(OH)₃, Zn(OH)₂) i praktycznie nierozpuszczalne. Tylko wodorotlenki grup 1 i Ba(OH)₂ są dobrze rozpuszczalne.
💡 Pamiętaj: Im bardziej w lewo w układzie okresowym, tym bardziej zasadowy wodorotlenek!

Wodorotlenek zasadowy + kwas to klasyczna neutralizacja: 2Fe(OH)₃ + 3H₂SO₄ → Fe₂(SO₄)₃ + 6H₂O. Pamiętaj o bilansowaniu - często potrzebujesz więcej cząsteczek.
Wodorotlenki amfoteryczne reagują też z zasadami tworząc związki koordynacyjne: Zn(OH)₂ + 2NaOH → Na₂[Zn(OH)₄]. To bardziej złożone struktury niż zwykłe sole.
Reakcje w wersji jonowej pokazują istotę procesu - przejście protonów H⁺ lub jonów OH⁻. To pomaga zrozumieć mechanizm reakcji.
💡 Na sprawdzianie: Zawsze sprawdzaj czy wodorotlenek jest zasadowy czy amfoteryczny!

Metal aktywny + woda daje wodorotlenek i wodór: 2Na + 2H₂O → 2NaOH + H₂↑. Tylko metale grup 1-2 (bez berylu) reagują tak bezpośrednio.
Tlenek zasadowy + woda to najprostsza metoda: Na₂O + H₂O → 2NaOH. Nie wszystkie tlenki tak reagują - sprawdź w tabeli rozpuszczalności.
Strącanie z soli wykorzystujesz gdy inne metody nie działają: BeSO₄ + 2NaOH → Na₂SO₄ + Be(OH)₂↓. Strzałka w dół pokazuje wytrącający się osad.
💡 W przemyśle: Wodorotlenek sodu (soda kaustyczna) otrzymuje się głównie z elektrolizy solanki!
Nasz asystent AI jest specjalnie dostosowany do potrzeb uczniów. W oparciu o miliony treści, które mamy na platformie, możemy udzielać uczniom naprawdę znaczących i trafnych odpowiedzi. Ale nie chodzi tylko o odpowiedzi, towarzysz prowadzi również uczniów przez codzienne wyzwania związane z nauką, ze spersonalizowanymi planami nauki, quizami lub treściami na czacie i 100% personalizacją opartą na umiejętnościach i rozwoju uczniów.
Aplikację możesz pobrać z Google Play i Apple Store.
Tak, masz całkowicie darmowy dostęp do wszystkich notatek w aplikacji, możesz w każdej chwili rozmawiać z Ekspertami lub ich obserwować. Możesz użyć punktów, aby odblokować pewne funkcje w aplikacji, które również możesz otrzymać za darmo. Dodatkowo oferujemy usługę Knowunity Premium, która pozwala na odblokowanie większej liczby funkcji.
App Store
Google Play
Aplikacja jest bardzo prosta i dobrze przemyślana. Do tej pory znalazłem wszystko, czego szukałem i mogłem się wiele nauczyć z innych notatek! Na pewno wykorzystam aplikację do pomocy przy robieniu prac domowych! No i oczywiście bardzo pomaga też jako inspiracja do robienia swoich notatek.
Stefan S
użytkownik iOS
Ta aplikacja jest naprawdę świetna. Jest tak wiele notatek i pomocnych informacji [...]. Moim problematycznym przedmiotem jest język niemiecki, a w aplikacji jest w czym wybierać. Dzięki tej aplikacji poprawiłam swój niemiecki. Polecam ją każdemu.
Samantha Klich
użytkownik Androida
Wow, jestem w szoku. Właśnie wypróbowałam aplikację, ponieważ widziałam ją kilka razy reklamowaną na TikToku jestem absolutnie w szoku. Ta aplikacja jest POMOCĄ, której potrzebujesz w szkole i przede wszystkim oferuje tak wiele rzeczy jak notatki czy streszczenia, które są BARDZO pomocne w moim przypadku.
Anna
użytkownik iOS
Kocham tę aplikację! Pomaga mi w zadaniach domowych, motywuje mnie i polepsza mi dzień. Dzięki tej aplikacji moje oceny się poprawiły. Lepszej aplikacji nie znajdę!🩷
Patrycja
użytkowniczka iOS
Super aplikacja! Ma odpowiedzi na wszystkie zadania. Testuję ją od paru miesięcy i jest po prostu perfekcyjna.
Szymon
użytkownik Android
Super aplikacja do nauki i sprawdzania wiedzy. Można znaleźć notatki z WSZYSTKICH przedmiotów. Polecam tym, którzy celują w oceny 5 i 6 😄
Szymon
użytkownik iOS
Aplikacja jest po prostu świetna! Wystarczy, że wpiszę w pasku wyszukiwania swój temat i od razu mam wyniki. Nie muszę oglądać 10 filmów na YouTube, żeby coś zrozumieć, więc oszczędzam swój czas. Po prostu polecam!
Kuba T
użytkownik Androida
W szkole byłem bardzo kiepski z matematyki, ale dzięki tej aplikacji radzę sobie teraz lepiej. Jestem bardzo wdzięczny, że ją stworzyliście.
Kriss
użytkownik Androida
Korzystam z Knowunity od ponad roku i jest mega! Najlepsze opcje z tej apki: ⭐️ Gotowe notatki ⭐️ Spersonalizowane treści ⭐️ Dostęp do chatu GPT W WERSJI SZKOLNEJ ⭐️ Konwersacje z innymi uczniami 🤍 NAUKA WRESZCIE NIE JEST NUDNA 🤍
Gosia
użytkowniczka Android
Bardzo lubię aplikację Knowunity, ponieważ pomaga mi w nauce. Odkąd ją mam moje oceny się poprawiają :)
Sara
użytkowniczka iOS
QUIZY I FISZKI SĄ SUPER PRZYDATNE I UWIELBIAM Knowunity AI. TO JEST DOSŁOWNIE JAK CHATGPT ALE MĄDRZEJSZY!! POMÓGŁ MI NAWET Z PROBLEMAMI Z TUSZEM DO RZĘS!! A TAKŻE Z PRAWDZIWYMI PRZEDMIOTAMI! OCZYWIŚCIE 😍😁😲🤑💗✨🎀😮
Krzysztof
użytkownik Android
Bardzo fajna aplikacja. Pomaga przygotować się do sprawdzianu, kartkówki lub odpowiedzi ustnej.
Oliwia
użytkowniczka iOS
Aplikacja jest bardzo prosta i dobrze przemyślana. Do tej pory znalazłem wszystko, czego szukałem i mogłem się wiele nauczyć z innych notatek! Na pewno wykorzystam aplikację do pomocy przy robieniu prac domowych! No i oczywiście bardzo pomaga też jako inspiracja do robienia swoich notatek.
Stefan S
użytkownik iOS
Ta aplikacja jest naprawdę świetna. Jest tak wiele notatek i pomocnych informacji [...]. Moim problematycznym przedmiotem jest język niemiecki, a w aplikacji jest w czym wybierać. Dzięki tej aplikacji poprawiłam swój niemiecki. Polecam ją każdemu.
Samantha Klich
użytkownik Androida
Wow, jestem w szoku. Właśnie wypróbowałam aplikację, ponieważ widziałam ją kilka razy reklamowaną na TikToku jestem absolutnie w szoku. Ta aplikacja jest POMOCĄ, której potrzebujesz w szkole i przede wszystkim oferuje tak wiele rzeczy jak notatki czy streszczenia, które są BARDZO pomocne w moim przypadku.
Anna
użytkownik iOS
Kocham tę aplikację! Pomaga mi w zadaniach domowych, motywuje mnie i polepsza mi dzień. Dzięki tej aplikacji moje oceny się poprawiły. Lepszej aplikacji nie znajdę!🩷
Patrycja
użytkowniczka iOS
Super aplikacja! Ma odpowiedzi na wszystkie zadania. Testuję ją od paru miesięcy i jest po prostu perfekcyjna.
Szymon
użytkownik Android
Super aplikacja do nauki i sprawdzania wiedzy. Można znaleźć notatki z WSZYSTKICH przedmiotów. Polecam tym, którzy celują w oceny 5 i 6 😄
Szymon
użytkownik iOS
Aplikacja jest po prostu świetna! Wystarczy, że wpiszę w pasku wyszukiwania swój temat i od razu mam wyniki. Nie muszę oglądać 10 filmów na YouTube, żeby coś zrozumieć, więc oszczędzam swój czas. Po prostu polecam!
Kuba T
użytkownik Androida
W szkole byłem bardzo kiepski z matematyki, ale dzięki tej aplikacji radzę sobie teraz lepiej. Jestem bardzo wdzięczny, że ją stworzyliście.
Kriss
użytkownik Androida
Korzystam z Knowunity od ponad roku i jest mega! Najlepsze opcje z tej apki: ⭐️ Gotowe notatki ⭐️ Spersonalizowane treści ⭐️ Dostęp do chatu GPT W WERSJI SZKOLNEJ ⭐️ Konwersacje z innymi uczniami 🤍 NAUKA WRESZCIE NIE JEST NUDNA 🤍
Gosia
użytkowniczka Android
Bardzo lubię aplikację Knowunity, ponieważ pomaga mi w nauce. Odkąd ją mam moje oceny się poprawiają :)
Sara
użytkowniczka iOS
QUIZY I FISZKI SĄ SUPER PRZYDATNE I UWIELBIAM Knowunity AI. TO JEST DOSŁOWNIE JAK CHATGPT ALE MĄDRZEJSZY!! POMÓGŁ MI NAWET Z PROBLEMAMI Z TUSZEM DO RZĘS!! A TAKŻE Z PRAWDZIWYMI PRZEDMIOTAMI! OCZYWIŚCIE 😍😁😲🤑💗✨🎀😮
Krzysztof
użytkownik Android
Bardzo fajna aplikacja. Pomaga przygotować się do sprawdzianu, kartkówki lub odpowiedzi ustnej.
Oliwia
użytkowniczka iOS
jula
@szpulietta_fhgv
Tlenki, wodorki i wodorotlenki to podstawowe związki nieorganiczne, które musisz znać na chemii. Te trzy grupy związków różnią się właściwościami i sposobami reakcji, ale łączą je wspólne zasady tworzenia i nazewnictwa.

Dostęp do wszystkich materiałów
Popraw swoje oceny
Dołącz do milionów studentów
Tlenki to związki tlenu z innymi pierwiastkami, które poznasz po charakterystycznych wzorach. W zależności od wartościowości pierwiastka mogą mieć wzory X₂O, XO, X₂O₃, XO₂, X₂O₅ czy XO₃.
Najważniejszy podział to tlenki metali (budowa jonowa, ciała stałe) i tlenki niemetali (budowa kowalencyjna, różne stany skupienia). Ten podział determinuje ich właściwości chemiczne.
Ze względu na charakter chemiczny dzielisz tlenki na cztery typy. Tlenki zasadowe reagują z kwasami, tlenki kwasowe tworzą kwasy. Tlenki amfoteryczne jak BeO, Al₂O₃ reagują zarówno z kwasami jak i zasadami, a tlenki obojętne jak CO nie reagują z niczym.
💡 Zapamiętaj: Zasadowe + kwas = sól + woda, kwasowe + zasada = sól + woda, amfoteryczne reagują z obydwoma!

Dostęp do wszystkich materiałów
Popraw swoje oceny
Dołącz do milionów studentów
Tlenek zasadowy + kwas daje sól i wodę, np. CaO + 2HCl → CaCl₂ + H₂O. To klasyczna reakcja neutralizacji, którą napiszesz też w wersji jonowej.
Tlenek kwasowy + zasada też tworzy sól i wodę, jak SO₃ + 2NaOH → Na₂SO₄ + H₂O. Pamiętaj o zbilansowaniu równań - czasem potrzebujesz więcej cząsteczek zasady.
Większość tlenków reaguje z wodą tworząc odpowiednio zasady (tlenki zasadowe) lub kwasy (tlenki kwasowe). Na przykład Na₂O + H₂O → 2NaOH, a SO₃ + H₂O → H₂SO₄.
💡 Tip: Jeśli nie wiesz jakiego typu jest tlenek, sprawdź czy metal czy niemetal - to podpowie Ci typ reakcji!

Dostęp do wszystkich materiałów
Popraw swoje oceny
Dołącz do milionów studentów
Tlenki amfoteryczne to "chemiczni dyplomaci" - reagują zarówno z kwasami jak i zasadami. Z kwasem zachowują się jak tlenki zasadowe: Cr₂O₃ + 3H₂SO₄ → Cr₂(SO₄)₃ + 3H₂O.
Z zasadą tworzą jednak związki koordinacyjne z wodą: Cr₂O₃ + 3KOH + 3H₂O → 3K[Cr(OH)₆]. To bardziej skomplikowane produkty niż zwykłe sole.
Kluczowe tlenki amfoteryczne to: BeO, Al₂O₃, Cr₂O₃, ZnO, CuO. Zapamiętaj je, bo często pojawiają się na sprawdzianach jako "pułapki" - wyglądają jak tlenki metali, ale reagują inaczej.
💡 Uwaga: Tlenki amfoteryczne to głównie metale przejściowe i te z granicy metali/niemetali!

Dostęp do wszystkich materiałów
Popraw swoje oceny
Dołącz do milionów studentów
Najprostrza metoda to bezpośrednia synteza: metal + tlen = tlenek . To podstawowa reakcja spalania, którą znasz ze środowiska.
Rozkład termiczny to podgrzewanie węglanów czy wodorotlenków: CaCO₃ → CaO + CO₂. Często wykorzystywane w przemyśle, np. przy produkcji wapna.
Inne metody to utlenianie tlenków czy redukcja . Możesz też rozkładać kwasy: H₂SO₄ → SO₂ + H₂O.
💡 Praktycznie: Większość tlenków w przyrodzie powstaje przez spalanie lub rozkład termiczny!

Dostęp do wszystkich materiałów
Popraw swoje oceny
Dołącz do milionów studentów
Wodorki to połączenia wodoru z innymi pierwiastkami. Wzór zależy od grupy: dla grup 1-15 piszesz XHₙ, dla grup 16-17 HₙX.
Dzielą się podobnie jak tlenki. Wodorki zasadowe reagują z kwasami: NaH + HCl → NaCl + H₂. Wodorki kwasowe reagują z zasadami.
Reakcja wodorku z kwasem często daje gaz wodór - to charakterystyczne "bulgotanie". Wyjątek to amoniak NH₃, który reaguje inaczej: NH₃ + HCl → NH₄Cl.
💡 Ciekawostka: Wodorki metali to doskonałe źródła wodoru - wystarczy dodać kwas!

Dostęp do wszystkich materiałów
Popraw swoje oceny
Dołącz do milionów studentów
Wodorki metali z wodą dają zasadę i wodór: NaH + H₂O → NaOH + H₂↑. To reakcja gwałtowna - wodór może się zapalić!
Amoniak z wodą tworzy słabą zasadę: NH₃ + H₂O ⇌ NH₄⁺ + OH⁻. Symbol równowagi pokazuje, że reakcja jest odwracalna.
Wodorki kwasowe w wodzie rozpadają się na jony: HCl → H⁺ + Cl⁻. To typowe kwasy, które znasz z codzienności.
💡 Bezpieczeństwo: Reakcje wodorków z wodą mogą być bardzo gwałtowne - zawsze ostrożnie!

Dostęp do wszystkich materiałów
Popraw swoje oceny
Dołącz do milionów studentów
Bezpośrednia synteza to reakcja pierwiastka z wodorem: 2Na + H₂ → 2NaH lub N₂ + 3H₂ → 2NH₃. Druga reakcja wymaga katalizatora i ciśnienia.
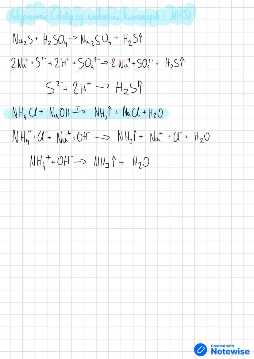
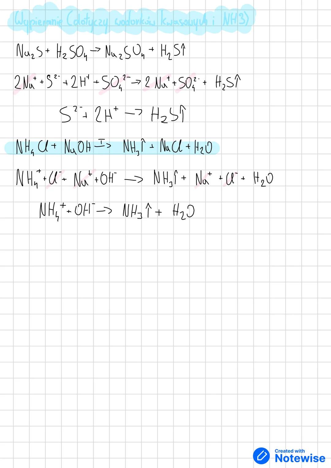
Wypieranie z soli to klasyczna metoda dla wodorków kwasowych: Na₂S + H₂SO₄ → Na₂SO₄ + H₂S↑. Mocniejszy kwas wypiera słabszy.
Dla amoniaku używasz reakcji: NH₄Cl + NaOH → NH₃↑ + NaCl + H₂O. Podgrzewanie zwiększa wydajność - amoniak ma charakterystyczny ostry zapach.
💡 W laboratorium: Wodorki kwasowe najłatwiej otrzymać przez wypieranie z soli!

Dostęp do wszystkich materiałów
Popraw swoje oceny
Dołącz do milionów studentów
Wodorotlenki to związki jonowe składające się z kationu metalu i anionu OH⁻. Wszystkie to ciała stałe o charakterystycznej budowie krystalicznej.
W nazewnictwie dodajesz "wodorotlenek" przed nazwą metalu: Ca(OH)₂ to wodorotlenek wapnia, Al(OH)₃ to wodorotlenek glinu. Dla metali o zmiennej wartościowości dodajesz rzymską cyfrę.
Charakter chemiczny dzieli je na zasadowe , amfoteryczne (Be(OH)₂, Al(OH)₃, Zn(OH)₂) i praktycznie nierozpuszczalne. Tylko wodorotlenki grup 1 i Ba(OH)₂ są dobrze rozpuszczalne.
💡 Pamiętaj: Im bardziej w lewo w układzie okresowym, tym bardziej zasadowy wodorotlenek!

Dostęp do wszystkich materiałów
Popraw swoje oceny
Dołącz do milionów studentów
Wodorotlenek zasadowy + kwas to klasyczna neutralizacja: 2Fe(OH)₃ + 3H₂SO₄ → Fe₂(SO₄)₃ + 6H₂O. Pamiętaj o bilansowaniu - często potrzebujesz więcej cząsteczek.
Wodorotlenki amfoteryczne reagują też z zasadami tworząc związki koordynacyjne: Zn(OH)₂ + 2NaOH → Na₂[Zn(OH)₄]. To bardziej złożone struktury niż zwykłe sole.
Reakcje w wersji jonowej pokazują istotę procesu - przejście protonów H⁺ lub jonów OH⁻. To pomaga zrozumieć mechanizm reakcji.
💡 Na sprawdzianie: Zawsze sprawdzaj czy wodorotlenek jest zasadowy czy amfoteryczny!

Dostęp do wszystkich materiałów
Popraw swoje oceny
Dołącz do milionów studentów
Metal aktywny + woda daje wodorotlenek i wodór: 2Na + 2H₂O → 2NaOH + H₂↑. Tylko metale grup 1-2 (bez berylu) reagują tak bezpośrednio.
Tlenek zasadowy + woda to najprostsza metoda: Na₂O + H₂O → 2NaOH. Nie wszystkie tlenki tak reagują - sprawdź w tabeli rozpuszczalności.
Strącanie z soli wykorzystujesz gdy inne metody nie działają: BeSO₄ + 2NaOH → Na₂SO₄ + Be(OH)₂↓. Strzałka w dół pokazuje wytrącający się osad.
💡 W przemyśle: Wodorotlenek sodu (soda kaustyczna) otrzymuje się głównie z elektrolizy solanki!
Nasz asystent AI jest specjalnie dostosowany do potrzeb uczniów. W oparciu o miliony treści, które mamy na platformie, możemy udzielać uczniom naprawdę znaczących i trafnych odpowiedzi. Ale nie chodzi tylko o odpowiedzi, towarzysz prowadzi również uczniów przez codzienne wyzwania związane z nauką, ze spersonalizowanymi planami nauki, quizami lub treściami na czacie i 100% personalizacją opartą na umiejętnościach i rozwoju uczniów.
Aplikację możesz pobrać z Google Play i Apple Store.
Tak, masz całkowicie darmowy dostęp do wszystkich notatek w aplikacji, możesz w każdej chwili rozmawiać z Ekspertami lub ich obserwować. Możesz użyć punktów, aby odblokować pewne funkcje w aplikacji, które również możesz otrzymać za darmo. Dodatkowo oferujemy usługę Knowunity Premium, która pozwala na odblokowanie większej liczby funkcji.
2
Inteligentne Narzędzia NOWE
Przekształć te notatki w: ✓ 50+ Pytań Testowych ✓ Interaktywne Fiszki ✓ Pełny egzamin próbny ✓ Plany Eseju
App Store
Google Play
Aplikacja jest bardzo prosta i dobrze przemyślana. Do tej pory znalazłem wszystko, czego szukałem i mogłem się wiele nauczyć z innych notatek! Na pewno wykorzystam aplikację do pomocy przy robieniu prac domowych! No i oczywiście bardzo pomaga też jako inspiracja do robienia swoich notatek.
Stefan S
użytkownik iOS
Ta aplikacja jest naprawdę świetna. Jest tak wiele notatek i pomocnych informacji [...]. Moim problematycznym przedmiotem jest język niemiecki, a w aplikacji jest w czym wybierać. Dzięki tej aplikacji poprawiłam swój niemiecki. Polecam ją każdemu.
Samantha Klich
użytkownik Androida
Wow, jestem w szoku. Właśnie wypróbowałam aplikację, ponieważ widziałam ją kilka razy reklamowaną na TikToku jestem absolutnie w szoku. Ta aplikacja jest POMOCĄ, której potrzebujesz w szkole i przede wszystkim oferuje tak wiele rzeczy jak notatki czy streszczenia, które są BARDZO pomocne w moim przypadku.
Anna
użytkownik iOS
Kocham tę aplikację! Pomaga mi w zadaniach domowych, motywuje mnie i polepsza mi dzień. Dzięki tej aplikacji moje oceny się poprawiły. Lepszej aplikacji nie znajdę!🩷
Patrycja
użytkowniczka iOS
Super aplikacja! Ma odpowiedzi na wszystkie zadania. Testuję ją od paru miesięcy i jest po prostu perfekcyjna.
Szymon
użytkownik Android
Super aplikacja do nauki i sprawdzania wiedzy. Można znaleźć notatki z WSZYSTKICH przedmiotów. Polecam tym, którzy celują w oceny 5 i 6 😄
Szymon
użytkownik iOS
Aplikacja jest po prostu świetna! Wystarczy, że wpiszę w pasku wyszukiwania swój temat i od razu mam wyniki. Nie muszę oglądać 10 filmów na YouTube, żeby coś zrozumieć, więc oszczędzam swój czas. Po prostu polecam!
Kuba T
użytkownik Androida
W szkole byłem bardzo kiepski z matematyki, ale dzięki tej aplikacji radzę sobie teraz lepiej. Jestem bardzo wdzięczny, że ją stworzyliście.
Kriss
użytkownik Androida
Korzystam z Knowunity od ponad roku i jest mega! Najlepsze opcje z tej apki: ⭐️ Gotowe notatki ⭐️ Spersonalizowane treści ⭐️ Dostęp do chatu GPT W WERSJI SZKOLNEJ ⭐️ Konwersacje z innymi uczniami 🤍 NAUKA WRESZCIE NIE JEST NUDNA 🤍
Gosia
użytkowniczka Android
Bardzo lubię aplikację Knowunity, ponieważ pomaga mi w nauce. Odkąd ją mam moje oceny się poprawiają :)
Sara
użytkowniczka iOS
QUIZY I FISZKI SĄ SUPER PRZYDATNE I UWIELBIAM Knowunity AI. TO JEST DOSŁOWNIE JAK CHATGPT ALE MĄDRZEJSZY!! POMÓGŁ MI NAWET Z PROBLEMAMI Z TUSZEM DO RZĘS!! A TAKŻE Z PRAWDZIWYMI PRZEDMIOTAMI! OCZYWIŚCIE 😍😁😲🤑💗✨🎀😮
Krzysztof
użytkownik Android
Bardzo fajna aplikacja. Pomaga przygotować się do sprawdzianu, kartkówki lub odpowiedzi ustnej.
Oliwia
użytkowniczka iOS
Aplikacja jest bardzo prosta i dobrze przemyślana. Do tej pory znalazłem wszystko, czego szukałem i mogłem się wiele nauczyć z innych notatek! Na pewno wykorzystam aplikację do pomocy przy robieniu prac domowych! No i oczywiście bardzo pomaga też jako inspiracja do robienia swoich notatek.
Stefan S
użytkownik iOS
Ta aplikacja jest naprawdę świetna. Jest tak wiele notatek i pomocnych informacji [...]. Moim problematycznym przedmiotem jest język niemiecki, a w aplikacji jest w czym wybierać. Dzięki tej aplikacji poprawiłam swój niemiecki. Polecam ją każdemu.
Samantha Klich
użytkownik Androida
Wow, jestem w szoku. Właśnie wypróbowałam aplikację, ponieważ widziałam ją kilka razy reklamowaną na TikToku jestem absolutnie w szoku. Ta aplikacja jest POMOCĄ, której potrzebujesz w szkole i przede wszystkim oferuje tak wiele rzeczy jak notatki czy streszczenia, które są BARDZO pomocne w moim przypadku.
Anna
użytkownik iOS
Kocham tę aplikację! Pomaga mi w zadaniach domowych, motywuje mnie i polepsza mi dzień. Dzięki tej aplikacji moje oceny się poprawiły. Lepszej aplikacji nie znajdę!🩷
Patrycja
użytkowniczka iOS
Super aplikacja! Ma odpowiedzi na wszystkie zadania. Testuję ją od paru miesięcy i jest po prostu perfekcyjna.
Szymon
użytkownik Android
Super aplikacja do nauki i sprawdzania wiedzy. Można znaleźć notatki z WSZYSTKICH przedmiotów. Polecam tym, którzy celują w oceny 5 i 6 😄
Szymon
użytkownik iOS
Aplikacja jest po prostu świetna! Wystarczy, że wpiszę w pasku wyszukiwania swój temat i od razu mam wyniki. Nie muszę oglądać 10 filmów na YouTube, żeby coś zrozumieć, więc oszczędzam swój czas. Po prostu polecam!
Kuba T
użytkownik Androida
W szkole byłem bardzo kiepski z matematyki, ale dzięki tej aplikacji radzę sobie teraz lepiej. Jestem bardzo wdzięczny, że ją stworzyliście.
Kriss
użytkownik Androida
Korzystam z Knowunity od ponad roku i jest mega! Najlepsze opcje z tej apki: ⭐️ Gotowe notatki ⭐️ Spersonalizowane treści ⭐️ Dostęp do chatu GPT W WERSJI SZKOLNEJ ⭐️ Konwersacje z innymi uczniami 🤍 NAUKA WRESZCIE NIE JEST NUDNA 🤍
Gosia
użytkowniczka Android
Bardzo lubię aplikację Knowunity, ponieważ pomaga mi w nauce. Odkąd ją mam moje oceny się poprawiają :)
Sara
użytkowniczka iOS
QUIZY I FISZKI SĄ SUPER PRZYDATNE I UWIELBIAM Knowunity AI. TO JEST DOSŁOWNIE JAK CHATGPT ALE MĄDRZEJSZY!! POMÓGŁ MI NAWET Z PROBLEMAMI Z TUSZEM DO RZĘS!! A TAKŻE Z PRAWDZIWYMI PRZEDMIOTAMI! OCZYWIŚCIE 😍😁😲🤑💗✨🎀😮
Krzysztof
użytkownik Android
Bardzo fajna aplikacja. Pomaga przygotować się do sprawdzianu, kartkówki lub odpowiedzi ustnej.
Oliwia
użytkowniczka iOS