Wiązania chemiczne to sposób, w jaki atomy łączą się ze... Pokaż więcej
Zarejestruj się, aby zobaczyć notatkęTo nic nie kosztuje!
Dostęp do wszystkich materiałów
Popraw swoje oceny
Dołącz do milionów studentów
Knowunity AI
Przedmioty
Triangle Congruence and Similarity Theorems
Triangle Properties and Classification
Linear Equations and Graphs
Geometric Angle Relationships
Trigonometric Functions and Identities
Equation Solving Techniques
Circle Geometry Fundamentals
Division Operations and Methods
Basic Differentiation Rules
Exponent and Logarithm Properties
Pokaż wszystkie tematy
Human Organ Systems
Reproductive Cell Cycles
Biological Sciences Subdisciplines
Cellular Energy Metabolism
Autotrophic Energy Processes
Inheritance Patterns and Principles
Biomolecular Structure and Organization
Cell Cycle and Division Mechanics
Cellular Organization and Development
Biological Structural Organization
Pokaż wszystkie tematy
Chemical Sciences and Applications
Atomic Structure and Composition
Molecular Electron Structure Representation
Atomic Electron Behavior
Matter Properties and Water
Mole Concept and Calculations
Gas Laws and Behavior
Periodic Table Organization
Chemical Thermodynamics Fundamentals
Chemical Bond Types and Properties
Pokaż wszystkie tematy
European Renaissance and Enlightenment
European Cultural Movements 800-1920
American Revolution Era 1763-1797
American Civil War 1861-1865
Global Imperial Systems
Mongol and Chinese Dynasties
U.S. Presidents and World Leaders
Historical Sources and Documentation
World Wars Era and Impact
World Religious Systems
Pokaż wszystkie tematy
Classic and Contemporary Novels
Literary Character Analysis
Rhetorical Theory and Practice
Classic Literary Narratives
Reading Analysis and Interpretation
Narrative Structure and Techniques
English Language Components
Influential English-Language Authors
Basic Sentence Structure
Narrative Voice and Perspective
Pokaż wszystkie tematy
715
•
Zaktualizowano Apr 17, 2026
•
blue_racoon
@blueracoon
Wiązania chemiczne to sposób, w jaki atomy łączą się ze... Pokaż więcej








Żeby atomy mogły się połączyć, muszą spełnić kilka warunków - jak w każdej dobrej relacji! Przede wszystkim muszą się zbliżyć na tyle, żeby ich orbitale się na siebie nałożyły. Dodatkowo potrzebują niesparowanych elektronów na orbitalach walencyjnych.
Orbitale mogą się nakładać na dwa sposoby. Nakładanie czołowe tworzy pojedyncze wiązanie sigma (σ), które jest bardzo mocne i stabilne.
Nakładanie boczne prowadzi do powstania wiązań wielokrotnych pi (π), które są dodatkowe do wiązań sigma. Te wiązania sprawiają, że cząsteczki są jeszcze mocniej połączone!
💡 Pamiętaj: Symbole Lewisa to świetny sposób na rysowanie elektronów walencyjnych - kropka to jeden elektron, a dwukropek to para!

Wiązania jonowe powstają między metalami a niemetalami, gdy różnica elektroujemności wynosi ≥1,7. To jak przyciąganie się przeciwnych biegunów magnesu - kationy (+) i aniony (-) przyciągają się siłami elektrostatycznymi.
Metale oddają elektrony i stają się kationami. Na przykład sód (Na) oddaje jeden elektron i zamienia się w Na⁺. Niemetale przyjmują elektrony i tworzą aniony - chlor (Cl) przyjmuje elektron i staje się Cl⁻.
Jony nie żyją w pojedynkę! Budują sieci krystaliczne, gdzie wiele jonów oddziałuje na siebie równocześnie. To dlatego sól kuchenna ma taką regularną strukturę.
💡 Sztuczka: Jeśli różnica elektroujemności ≥1,7, to na pewno masz do czynienia z wiązaniem jonowym!

W wiązaniach kowalencyjnych atomy dzielą się elektronami jak dobrymi znajomymi. Powstają między niemetalami, które wspólnie używają pary elektronów.
Wiązania niespolaryzowane tworzą się między takimi samymi atomami (H₂, O₂) lub gdy różnica elektroujemności < 0,4. Wspólna para elektronów jest dokładnie pośrodku.
Wiązania spolaryzowane powstają gdy 0,4 < różnica elektroujemności < 1,7. Atom bardziej elektroujemny mocniej przyciąga elektrony, tworząc dipol - jedną stronę bardziej ujemną, drugą bardziej dodatnią.
Wiązanie koordynacyjne to specjalny przypadek - jeden atom (donor) daje całą parę elektronów, a drugi (akceptor) ją przyjmuje. Oba atomy korzystają z tej pary!
💡 Wskazówka: W cząsteczce NH₃ azot jest bardziej elektroujemny od wodoru, więc przyciąga elektrony mocniej!

Wiązania metaliczne to coś zupełnie innego! W metalach elektrony walencyjne tworzą "morze elektronów" - chmurę elektronową, która otacza dodatnio naładowane rdzenie atomowe.
Te elektrony nie należą do konkretnych atomów, tylko swobodnie się przemieszczają po całym krysztale metalu. To jak wspólny basen, z którego korzystają wszystkie atomy!
Dzięki tej ruchliwej chmurze elektronów metale mają swoje charakterystyczne właściwości. Katieny metaliczne pływają w tym elektronowym oceanie i utrzymują strukturę krystaliczną.
To właśnie dlatego metale przewodzą prąd - elektrony mogą się swobodnie przemieszczać!
💡 Ciekawostka: Wyobraź sobie metal jak miasto z ruchliwym ruchem samochodowym - elektrony to samochody, a kationy to budynki!

Siły międzycząsteczkowe to słabe przyciągania między cząsteczkami - znacznie słabsze niż wiązania chemiczne. Im dalej cząsteczki są od siebie, tym te siły są słabsze.
Oddziaływania dipol-dipol działają między cząsteczkami polarnymi. Przeciwne bieguny się przyciągają jak małe magnesy - część dodatnia jednej cząsteczki przyciąga część ujemną drugiej.
Wiązania wodorowe to szczególnie mocny rodzaj oddziaływań dipol-dipol. Powstają gdy wodór połączony z bardzo elektroujemnym atomem (jak tlen czy azot) przyciąga elektron z sąsiedniej cząsteczki.
W wodzie (H₂O) wiązania wodorowe łączą cząsteczki w większe zespoły zwane asocjatami. Oznacza się je przerywaną linią.
💡 Pamiętaj: Wiązania wodorowe wyjaśniają, dlaczego woda ma tak wysoką temperaturę wrzenia!

Siły van der Waalsa to najsłabsze oddziaływania międzycząsteczkowe. Powstają przez chwilowe deformacje chmur elektronowych w atomach znajdujących się bardzo blisko siebie.
Asocjacja cząsteczek przez wiązania wodorowe zmienia właściwości substancji - wpływa na gęstość, rozpuszczalność i temperaturę wrzenia.
Związki jonowe tworzą sieci krystaliczne, mają wysokie temperatury topnienia i wrzenia. Przewodzą prąd w stanie stopionym lub rozpuszczonym, a reakcje między jonami przebiegają bardzo szybko.
Związki kowalencyjne nie przewodzą prądu (oprócz grafitu), rozpuszczają się w rozpuszczalnikach niepolarnych i reagują powoli. Spolaryzowane odmiany rozpuszczają się w wodzie, a niektóre mogą dysocjować.
💡 Sztuczka: Rodzaj wiązania decyduje o właściwościach - jony lubią wodę, związki kowalencyjne preferują substancje niepolarne!

Związki metaliczne mają unikalne właściwości dzięki morzu elektronów. Świetnie przewodzą prąd elektryczny i ciepło, bo elektrony mogą się swobodnie przemieszczać.
W temperaturze pokojowej metale są stałe (wyjątek to rtęć). Są kowalne i ciągliwe - można je kuć i rozciągać bez pękania, bo warstwa atomów może się przesuwać względem siebie.
Metale są nieprzezroczyste, ponieważ swobodne elektrony pochłaniają światło. Większość ma charakterystyczny metaliczny połysk.
Te wszystkie właściwości wynikają z jednego - ruchliwego morza elektronów, które utrzymuje strukturę i nadaje metalom ich charakterystyczne cechy.
💡 Ciekawostka: Dzięki ruchliwym elektronom możesz wykuć z metalu cienką blachę lub wyciągnąć drut!
Nasz asystent AI jest specjalnie dostosowany do potrzeb uczniów. W oparciu o miliony treści, które mamy na platformie, możemy udzielać uczniom naprawdę znaczących i trafnych odpowiedzi. Ale nie chodzi tylko o odpowiedzi, towarzysz prowadzi również uczniów przez codzienne wyzwania związane z nauką, ze spersonalizowanymi planami nauki, quizami lub treściami na czacie i 100% personalizacją opartą na umiejętnościach i rozwoju uczniów.
Aplikację możesz pobrać z Google Play i Apple Store.
Tak, masz całkowicie darmowy dostęp do wszystkich notatek w aplikacji, możesz w każdej chwili rozmawiać z Ekspertami lub ich obserwować. Możesz użyć punktów, aby odblokować pewne funkcje w aplikacji, które również możesz otrzymać za darmo. Dodatkowo oferujemy usługę Knowunity Premium, która pozwala na odblokowanie większej liczby funkcji.
App Store
Google Play
Aplikacja jest bardzo prosta i dobrze przemyślana. Do tej pory znalazłem wszystko, czego szukałem i mogłem się wiele nauczyć z innych notatek! Na pewno wykorzystam aplikację do pomocy przy robieniu prac domowych! No i oczywiście bardzo pomaga też jako inspiracja do robienia swoich notatek.
Stefan S
użytkownik iOS
Ta aplikacja jest naprawdę świetna. Jest tak wiele notatek i pomocnych informacji [...]. Moim problematycznym przedmiotem jest język niemiecki, a w aplikacji jest w czym wybierać. Dzięki tej aplikacji poprawiłam swój niemiecki. Polecam ją każdemu.
Samantha Klich
użytkownik Androida
Wow, jestem w szoku. Właśnie wypróbowałam aplikację, ponieważ widziałam ją kilka razy reklamowaną na TikToku jestem absolutnie w szoku. Ta aplikacja jest POMOCĄ, której potrzebujesz w szkole i przede wszystkim oferuje tak wiele rzeczy jak notatki czy streszczenia, które są BARDZO pomocne w moim przypadku.
Anna
użytkownik iOS
Kocham tę aplikację! Pomaga mi w zadaniach domowych, motywuje mnie i polepsza mi dzień. Dzięki tej aplikacji moje oceny się poprawiły. Lepszej aplikacji nie znajdę!🩷
Patrycja
użytkowniczka iOS
Super aplikacja! Ma odpowiedzi na wszystkie zadania. Testuję ją od paru miesięcy i jest po prostu perfekcyjna.
Szymon
użytkownik Android
Super aplikacja do nauki i sprawdzania wiedzy. Można znaleźć notatki z WSZYSTKICH przedmiotów. Polecam tym, którzy celują w oceny 5 i 6 😄
Szymon
użytkownik iOS
Aplikacja jest po prostu świetna! Wystarczy, że wpiszę w pasku wyszukiwania swój temat i od razu mam wyniki. Nie muszę oglądać 10 filmów na YouTube, żeby coś zrozumieć, więc oszczędzam swój czas. Po prostu polecam!
Kuba T
użytkownik Androida
W szkole byłem bardzo kiepski z matematyki, ale dzięki tej aplikacji radzę sobie teraz lepiej. Jestem bardzo wdzięczny, że ją stworzyliście.
Kriss
użytkownik Androida
Korzystam z Knowunity od ponad roku i jest mega! Najlepsze opcje z tej apki: ⭐️ Gotowe notatki ⭐️ Spersonalizowane treści ⭐️ Dostęp do chatu GPT W WERSJI SZKOLNEJ ⭐️ Konwersacje z innymi uczniami 🤍 NAUKA WRESZCIE NIE JEST NUDNA 🤍
Gosia
użytkowniczka Android
Bardzo lubię aplikację Knowunity, ponieważ pomaga mi w nauce. Odkąd ją mam moje oceny się poprawiają :)
Sara
użytkowniczka iOS
QUIZY I FISZKI SĄ SUPER PRZYDATNE I UWIELBIAM Knowunity AI. TO JEST DOSŁOWNIE JAK CHATGPT ALE MĄDRZEJSZY!! POMÓGŁ MI NAWET Z PROBLEMAMI Z TUSZEM DO RZĘS!! A TAKŻE Z PRAWDZIWYMI PRZEDMIOTAMI! OCZYWIŚCIE 😍😁😲🤑💗✨🎀😮
Krzysztof
użytkownik Android
Bardzo fajna aplikacja. Pomaga przygotować się do sprawdzianu, kartkówki lub odpowiedzi ustnej.
Oliwia
użytkowniczka iOS
Aplikacja jest bardzo prosta i dobrze przemyślana. Do tej pory znalazłem wszystko, czego szukałem i mogłem się wiele nauczyć z innych notatek! Na pewno wykorzystam aplikację do pomocy przy robieniu prac domowych! No i oczywiście bardzo pomaga też jako inspiracja do robienia swoich notatek.
Stefan S
użytkownik iOS
Ta aplikacja jest naprawdę świetna. Jest tak wiele notatek i pomocnych informacji [...]. Moim problematycznym przedmiotem jest język niemiecki, a w aplikacji jest w czym wybierać. Dzięki tej aplikacji poprawiłam swój niemiecki. Polecam ją każdemu.
Samantha Klich
użytkownik Androida
Wow, jestem w szoku. Właśnie wypróbowałam aplikację, ponieważ widziałam ją kilka razy reklamowaną na TikToku jestem absolutnie w szoku. Ta aplikacja jest POMOCĄ, której potrzebujesz w szkole i przede wszystkim oferuje tak wiele rzeczy jak notatki czy streszczenia, które są BARDZO pomocne w moim przypadku.
Anna
użytkownik iOS
Kocham tę aplikację! Pomaga mi w zadaniach domowych, motywuje mnie i polepsza mi dzień. Dzięki tej aplikacji moje oceny się poprawiły. Lepszej aplikacji nie znajdę!🩷
Patrycja
użytkowniczka iOS
Super aplikacja! Ma odpowiedzi na wszystkie zadania. Testuję ją od paru miesięcy i jest po prostu perfekcyjna.
Szymon
użytkownik Android
Super aplikacja do nauki i sprawdzania wiedzy. Można znaleźć notatki z WSZYSTKICH przedmiotów. Polecam tym, którzy celują w oceny 5 i 6 😄
Szymon
użytkownik iOS
Aplikacja jest po prostu świetna! Wystarczy, że wpiszę w pasku wyszukiwania swój temat i od razu mam wyniki. Nie muszę oglądać 10 filmów na YouTube, żeby coś zrozumieć, więc oszczędzam swój czas. Po prostu polecam!
Kuba T
użytkownik Androida
W szkole byłem bardzo kiepski z matematyki, ale dzięki tej aplikacji radzę sobie teraz lepiej. Jestem bardzo wdzięczny, że ją stworzyliście.
Kriss
użytkownik Androida
Korzystam z Knowunity od ponad roku i jest mega! Najlepsze opcje z tej apki: ⭐️ Gotowe notatki ⭐️ Spersonalizowane treści ⭐️ Dostęp do chatu GPT W WERSJI SZKOLNEJ ⭐️ Konwersacje z innymi uczniami 🤍 NAUKA WRESZCIE NIE JEST NUDNA 🤍
Gosia
użytkowniczka Android
Bardzo lubię aplikację Knowunity, ponieważ pomaga mi w nauce. Odkąd ją mam moje oceny się poprawiają :)
Sara
użytkowniczka iOS
QUIZY I FISZKI SĄ SUPER PRZYDATNE I UWIELBIAM Knowunity AI. TO JEST DOSŁOWNIE JAK CHATGPT ALE MĄDRZEJSZY!! POMÓGŁ MI NAWET Z PROBLEMAMI Z TUSZEM DO RZĘS!! A TAKŻE Z PRAWDZIWYMI PRZEDMIOTAMI! OCZYWIŚCIE 😍😁😲🤑💗✨🎀😮
Krzysztof
użytkownik Android
Bardzo fajna aplikacja. Pomaga przygotować się do sprawdzianu, kartkówki lub odpowiedzi ustnej.
Oliwia
użytkowniczka iOS
blue_racoon
@blueracoon
Wiązania chemiczne to sposób, w jaki atomy łączą się ze sobą, żeby utworzyć stabilne cząsteczki. Wszystko dzieje się dlatego, że atomy chcą mieć konfigurację elektronową najbliższego gazu szlachetnego - to jak ich marzenie o idealnym życiu!

Dostęp do wszystkich materiałów
Popraw swoje oceny
Dołącz do milionów studentów
Żeby atomy mogły się połączyć, muszą spełnić kilka warunków - jak w każdej dobrej relacji! Przede wszystkim muszą się zbliżyć na tyle, żeby ich orbitale się na siebie nałożyły. Dodatkowo potrzebują niesparowanych elektronów na orbitalach walencyjnych.
Orbitale mogą się nakładać na dwa sposoby. Nakładanie czołowe tworzy pojedyncze wiązanie sigma (σ), które jest bardzo mocne i stabilne.
Nakładanie boczne prowadzi do powstania wiązań wielokrotnych pi (π), które są dodatkowe do wiązań sigma. Te wiązania sprawiają, że cząsteczki są jeszcze mocniej połączone!
💡 Pamiętaj: Symbole Lewisa to świetny sposób na rysowanie elektronów walencyjnych - kropka to jeden elektron, a dwukropek to para!

Dostęp do wszystkich materiałów
Popraw swoje oceny
Dołącz do milionów studentów
Wiązania jonowe powstają między metalami a niemetalami, gdy różnica elektroujemności wynosi ≥1,7. To jak przyciąganie się przeciwnych biegunów magnesu - kationy (+) i aniony (-) przyciągają się siłami elektrostatycznymi.
Metale oddają elektrony i stają się kationami. Na przykład sód (Na) oddaje jeden elektron i zamienia się w Na⁺. Niemetale przyjmują elektrony i tworzą aniony - chlor (Cl) przyjmuje elektron i staje się Cl⁻.
Jony nie żyją w pojedynkę! Budują sieci krystaliczne, gdzie wiele jonów oddziałuje na siebie równocześnie. To dlatego sól kuchenna ma taką regularną strukturę.
💡 Sztuczka: Jeśli różnica elektroujemności ≥1,7, to na pewno masz do czynienia z wiązaniem jonowym!

Dostęp do wszystkich materiałów
Popraw swoje oceny
Dołącz do milionów studentów
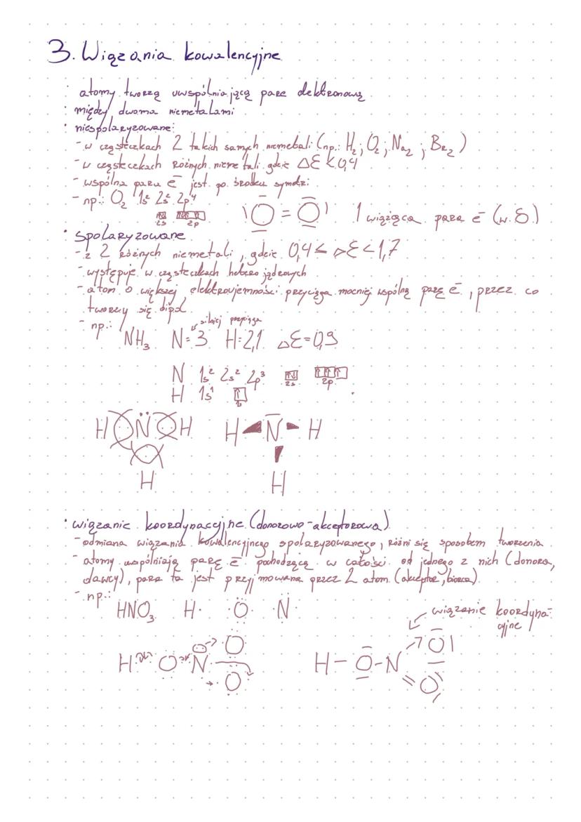
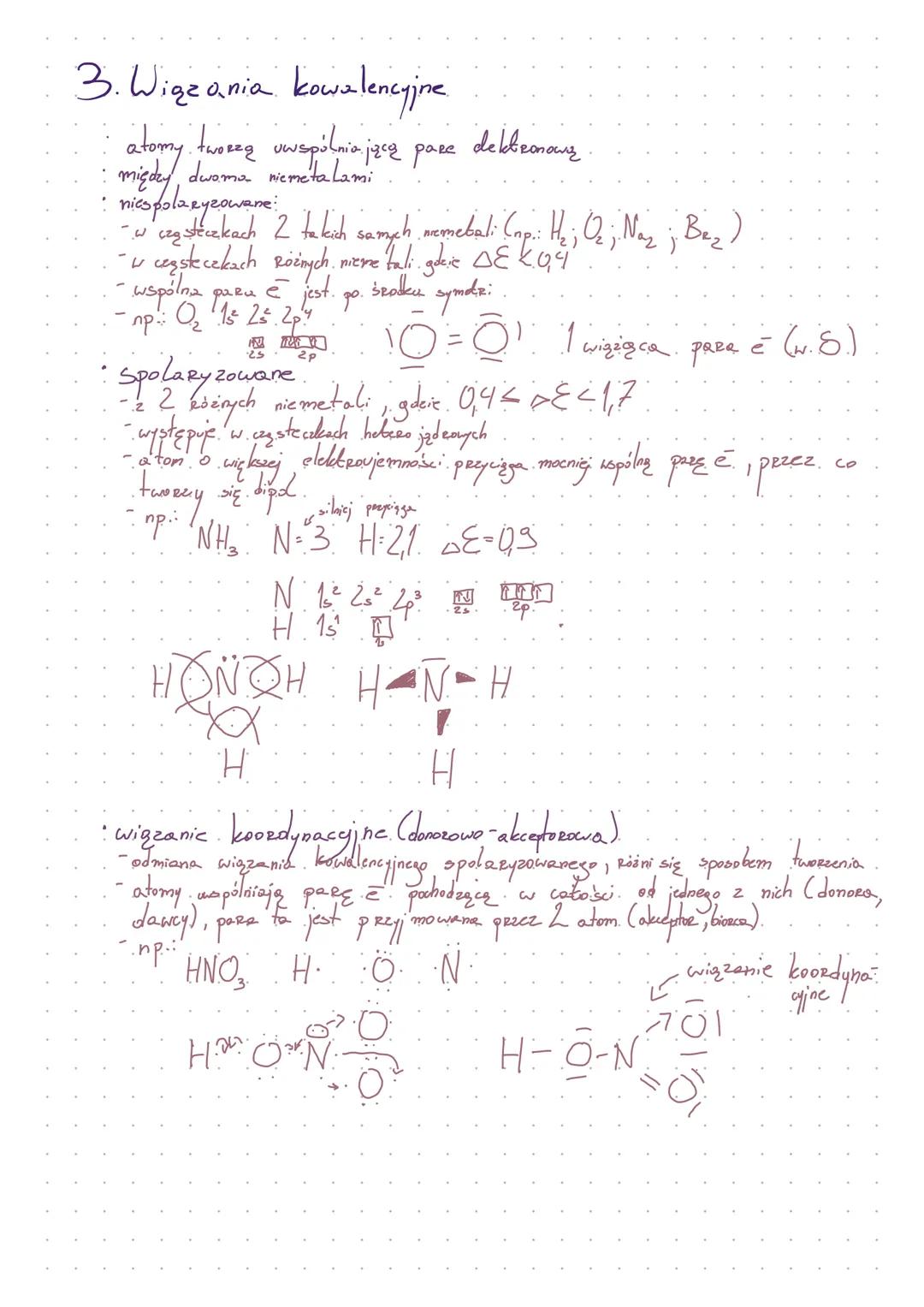
W wiązaniach kowalencyjnych atomy dzielą się elektronami jak dobrymi znajomymi. Powstają między niemetalami, które wspólnie używają pary elektronów.
Wiązania niespolaryzowane tworzą się między takimi samymi atomami (H₂, O₂) lub gdy różnica elektroujemności < 0,4. Wspólna para elektronów jest dokładnie pośrodku.
Wiązania spolaryzowane powstają gdy 0,4 < różnica elektroujemności < 1,7. Atom bardziej elektroujemny mocniej przyciąga elektrony, tworząc dipol - jedną stronę bardziej ujemną, drugą bardziej dodatnią.
Wiązanie koordynacyjne to specjalny przypadek - jeden atom (donor) daje całą parę elektronów, a drugi (akceptor) ją przyjmuje. Oba atomy korzystają z tej pary!
💡 Wskazówka: W cząsteczce NH₃ azot jest bardziej elektroujemny od wodoru, więc przyciąga elektrony mocniej!

Dostęp do wszystkich materiałów
Popraw swoje oceny
Dołącz do milionów studentów
Wiązania metaliczne to coś zupełnie innego! W metalach elektrony walencyjne tworzą "morze elektronów" - chmurę elektronową, która otacza dodatnio naładowane rdzenie atomowe.
Te elektrony nie należą do konkretnych atomów, tylko swobodnie się przemieszczają po całym krysztale metalu. To jak wspólny basen, z którego korzystają wszystkie atomy!
Dzięki tej ruchliwej chmurze elektronów metale mają swoje charakterystyczne właściwości. Katieny metaliczne pływają w tym elektronowym oceanie i utrzymują strukturę krystaliczną.
To właśnie dlatego metale przewodzą prąd - elektrony mogą się swobodnie przemieszczać!
💡 Ciekawostka: Wyobraź sobie metal jak miasto z ruchliwym ruchem samochodowym - elektrony to samochody, a kationy to budynki!

Dostęp do wszystkich materiałów
Popraw swoje oceny
Dołącz do milionów studentów
Siły międzycząsteczkowe to słabe przyciągania między cząsteczkami - znacznie słabsze niż wiązania chemiczne. Im dalej cząsteczki są od siebie, tym te siły są słabsze.
Oddziaływania dipol-dipol działają między cząsteczkami polarnymi. Przeciwne bieguny się przyciągają jak małe magnesy - część dodatnia jednej cząsteczki przyciąga część ujemną drugiej.
Wiązania wodorowe to szczególnie mocny rodzaj oddziaływań dipol-dipol. Powstają gdy wodór połączony z bardzo elektroujemnym atomem (jak tlen czy azot) przyciąga elektron z sąsiedniej cząsteczki.
W wodzie (H₂O) wiązania wodorowe łączą cząsteczki w większe zespoły zwane asocjatami. Oznacza się je przerywaną linią.
💡 Pamiętaj: Wiązania wodorowe wyjaśniają, dlaczego woda ma tak wysoką temperaturę wrzenia!

Dostęp do wszystkich materiałów
Popraw swoje oceny
Dołącz do milionów studentów
Siły van der Waalsa to najsłabsze oddziaływania międzycząsteczkowe. Powstają przez chwilowe deformacje chmur elektronowych w atomach znajdujących się bardzo blisko siebie.
Asocjacja cząsteczek przez wiązania wodorowe zmienia właściwości substancji - wpływa na gęstość, rozpuszczalność i temperaturę wrzenia.
Związki jonowe tworzą sieci krystaliczne, mają wysokie temperatury topnienia i wrzenia. Przewodzą prąd w stanie stopionym lub rozpuszczonym, a reakcje między jonami przebiegają bardzo szybko.
Związki kowalencyjne nie przewodzą prądu (oprócz grafitu), rozpuszczają się w rozpuszczalnikach niepolarnych i reagują powoli. Spolaryzowane odmiany rozpuszczają się w wodzie, a niektóre mogą dysocjować.
💡 Sztuczka: Rodzaj wiązania decyduje o właściwościach - jony lubią wodę, związki kowalencyjne preferują substancje niepolarne!

Dostęp do wszystkich materiałów
Popraw swoje oceny
Dołącz do milionów studentów
Związki metaliczne mają unikalne właściwości dzięki morzu elektronów. Świetnie przewodzą prąd elektryczny i ciepło, bo elektrony mogą się swobodnie przemieszczać.
W temperaturze pokojowej metale są stałe (wyjątek to rtęć). Są kowalne i ciągliwe - można je kuć i rozciągać bez pękania, bo warstwa atomów może się przesuwać względem siebie.
Metale są nieprzezroczyste, ponieważ swobodne elektrony pochłaniają światło. Większość ma charakterystyczny metaliczny połysk.
Te wszystkie właściwości wynikają z jednego - ruchliwego morza elektronów, które utrzymuje strukturę i nadaje metalom ich charakterystyczne cechy.
💡 Ciekawostka: Dzięki ruchliwym elektronom możesz wykuć z metalu cienką blachę lub wyciągnąć drut!
Nasz asystent AI jest specjalnie dostosowany do potrzeb uczniów. W oparciu o miliony treści, które mamy na platformie, możemy udzielać uczniom naprawdę znaczących i trafnych odpowiedzi. Ale nie chodzi tylko o odpowiedzi, towarzysz prowadzi również uczniów przez codzienne wyzwania związane z nauką, ze spersonalizowanymi planami nauki, quizami lub treściami na czacie i 100% personalizacją opartą na umiejętnościach i rozwoju uczniów.
Aplikację możesz pobrać z Google Play i Apple Store.
Tak, masz całkowicie darmowy dostęp do wszystkich notatek w aplikacji, możesz w każdej chwili rozmawiać z Ekspertami lub ich obserwować. Możesz użyć punktów, aby odblokować pewne funkcje w aplikacji, które również możesz otrzymać za darmo. Dodatkowo oferujemy usługę Knowunity Premium, która pozwala na odblokowanie większej liczby funkcji.
11
Inteligentne Narzędzia NOWE
Przekształć te notatki w: ✓ 50+ Pytań Testowych ✓ Interaktywne Fiszki ✓ Pełny egzamin próbny ✓ Plany Eseju
Zgłębiaj podstawowe pojęcia chemii, w tym substancje proste i złożone, symbole pierwiastków oraz ich właściwości. Dowiedz się, jak tworzone są wzory chemiczne i jakie różnice występują między metalami a niemetalami. Idealne dla uczniów przygotowujących się do egzaminów z chemii.
Zrozumienie interakcji międzycząsteczkowych, w tym spójności i przylegania, oraz ich wpływu na właściwości wody. Ta notatka zawiera kluczowe informacje na temat napięcia powierzchniowego, zachowań cieczy w różnych warunkach oraz zastosowań praktycznych. Idealna dla uczniów przygotowujących się do egzaminów z chemii.
Zrozumienie kwasów w chemii: ich nazewnictwo, rodzaje (kwasy tlenowe i nietlenowe), oraz pH roztworów. Notatka dla uczniów klasy 8, zawierająca kluczowe informacje o kwasie siarkowym, reakcjach chemicznych oraz zastosowaniach kwasów w przemyśle i medycynie.
Odkryj różne typy wiązań chemicznych, w tym kowalencyjne, kowalencyjnie spolaryzowane, koordynacyjne, jonowe i wodorowe. Zrozum mechanizmy ich działania oraz właściwości substancji, które je tworzą. Idealne dla studentów chemii, którzy chcą zgłębić temat wiązań chemicznych i ich zastosowań.
Odkryj różnorodność szamponów, ich właściwości oraz zastosowanie w pielęgnacji włosów i skóry głowy. Dowiedz się, jak diagnozować stan włosów oraz jakie techniki fryzjerskie stosować w zależności od ich struktury. Materiał zawiera szczegółowe informacje o szamponach mydlanych, oczyszczających, pudrowych i detergentowych, a także porady dotyczące pielęgnacji włosów suchych i zniszczonych.
Zrozumienie rodzajów mieszanin: jednorodne i niejednorodne. Przegląd metod rozdzielania składników, takich jak sączenie, odparowywanie, krystalizacja, dekantacja, destylacja, sedymentacja i desaturacja. Idealne dla uczniów chemii, którzy chcą zgłębić temat separacji substancji.
App Store
Google Play
Aplikacja jest bardzo prosta i dobrze przemyślana. Do tej pory znalazłem wszystko, czego szukałem i mogłem się wiele nauczyć z innych notatek! Na pewno wykorzystam aplikację do pomocy przy robieniu prac domowych! No i oczywiście bardzo pomaga też jako inspiracja do robienia swoich notatek.
Stefan S
użytkownik iOS
Ta aplikacja jest naprawdę świetna. Jest tak wiele notatek i pomocnych informacji [...]. Moim problematycznym przedmiotem jest język niemiecki, a w aplikacji jest w czym wybierać. Dzięki tej aplikacji poprawiłam swój niemiecki. Polecam ją każdemu.
Samantha Klich
użytkownik Androida
Wow, jestem w szoku. Właśnie wypróbowałam aplikację, ponieważ widziałam ją kilka razy reklamowaną na TikToku jestem absolutnie w szoku. Ta aplikacja jest POMOCĄ, której potrzebujesz w szkole i przede wszystkim oferuje tak wiele rzeczy jak notatki czy streszczenia, które są BARDZO pomocne w moim przypadku.
Anna
użytkownik iOS
Kocham tę aplikację! Pomaga mi w zadaniach domowych, motywuje mnie i polepsza mi dzień. Dzięki tej aplikacji moje oceny się poprawiły. Lepszej aplikacji nie znajdę!🩷
Patrycja
użytkowniczka iOS
Super aplikacja! Ma odpowiedzi na wszystkie zadania. Testuję ją od paru miesięcy i jest po prostu perfekcyjna.
Szymon
użytkownik Android
Super aplikacja do nauki i sprawdzania wiedzy. Można znaleźć notatki z WSZYSTKICH przedmiotów. Polecam tym, którzy celują w oceny 5 i 6 😄
Szymon
użytkownik iOS
Aplikacja jest po prostu świetna! Wystarczy, że wpiszę w pasku wyszukiwania swój temat i od razu mam wyniki. Nie muszę oglądać 10 filmów na YouTube, żeby coś zrozumieć, więc oszczędzam swój czas. Po prostu polecam!
Kuba T
użytkownik Androida
W szkole byłem bardzo kiepski z matematyki, ale dzięki tej aplikacji radzę sobie teraz lepiej. Jestem bardzo wdzięczny, że ją stworzyliście.
Kriss
użytkownik Androida
Korzystam z Knowunity od ponad roku i jest mega! Najlepsze opcje z tej apki: ⭐️ Gotowe notatki ⭐️ Spersonalizowane treści ⭐️ Dostęp do chatu GPT W WERSJI SZKOLNEJ ⭐️ Konwersacje z innymi uczniami 🤍 NAUKA WRESZCIE NIE JEST NUDNA 🤍
Gosia
użytkowniczka Android
Bardzo lubię aplikację Knowunity, ponieważ pomaga mi w nauce. Odkąd ją mam moje oceny się poprawiają :)
Sara
użytkowniczka iOS
QUIZY I FISZKI SĄ SUPER PRZYDATNE I UWIELBIAM Knowunity AI. TO JEST DOSŁOWNIE JAK CHATGPT ALE MĄDRZEJSZY!! POMÓGŁ MI NAWET Z PROBLEMAMI Z TUSZEM DO RZĘS!! A TAKŻE Z PRAWDZIWYMI PRZEDMIOTAMI! OCZYWIŚCIE 😍😁😲🤑💗✨🎀😮
Krzysztof
użytkownik Android
Bardzo fajna aplikacja. Pomaga przygotować się do sprawdzianu, kartkówki lub odpowiedzi ustnej.
Oliwia
użytkowniczka iOS
Aplikacja jest bardzo prosta i dobrze przemyślana. Do tej pory znalazłem wszystko, czego szukałem i mogłem się wiele nauczyć z innych notatek! Na pewno wykorzystam aplikację do pomocy przy robieniu prac domowych! No i oczywiście bardzo pomaga też jako inspiracja do robienia swoich notatek.
Stefan S
użytkownik iOS
Ta aplikacja jest naprawdę świetna. Jest tak wiele notatek i pomocnych informacji [...]. Moim problematycznym przedmiotem jest język niemiecki, a w aplikacji jest w czym wybierać. Dzięki tej aplikacji poprawiłam swój niemiecki. Polecam ją każdemu.
Samantha Klich
użytkownik Androida
Wow, jestem w szoku. Właśnie wypróbowałam aplikację, ponieważ widziałam ją kilka razy reklamowaną na TikToku jestem absolutnie w szoku. Ta aplikacja jest POMOCĄ, której potrzebujesz w szkole i przede wszystkim oferuje tak wiele rzeczy jak notatki czy streszczenia, które są BARDZO pomocne w moim przypadku.
Anna
użytkownik iOS
Kocham tę aplikację! Pomaga mi w zadaniach domowych, motywuje mnie i polepsza mi dzień. Dzięki tej aplikacji moje oceny się poprawiły. Lepszej aplikacji nie znajdę!🩷
Patrycja
użytkowniczka iOS
Super aplikacja! Ma odpowiedzi na wszystkie zadania. Testuję ją od paru miesięcy i jest po prostu perfekcyjna.
Szymon
użytkownik Android
Super aplikacja do nauki i sprawdzania wiedzy. Można znaleźć notatki z WSZYSTKICH przedmiotów. Polecam tym, którzy celują w oceny 5 i 6 😄
Szymon
użytkownik iOS
Aplikacja jest po prostu świetna! Wystarczy, że wpiszę w pasku wyszukiwania swój temat i od razu mam wyniki. Nie muszę oglądać 10 filmów na YouTube, żeby coś zrozumieć, więc oszczędzam swój czas. Po prostu polecam!
Kuba T
użytkownik Androida
W szkole byłem bardzo kiepski z matematyki, ale dzięki tej aplikacji radzę sobie teraz lepiej. Jestem bardzo wdzięczny, że ją stworzyliście.
Kriss
użytkownik Androida
Korzystam z Knowunity od ponad roku i jest mega! Najlepsze opcje z tej apki: ⭐️ Gotowe notatki ⭐️ Spersonalizowane treści ⭐️ Dostęp do chatu GPT W WERSJI SZKOLNEJ ⭐️ Konwersacje z innymi uczniami 🤍 NAUKA WRESZCIE NIE JEST NUDNA 🤍
Gosia
użytkowniczka Android
Bardzo lubię aplikację Knowunity, ponieważ pomaga mi w nauce. Odkąd ją mam moje oceny się poprawiają :)
Sara
użytkowniczka iOS
QUIZY I FISZKI SĄ SUPER PRZYDATNE I UWIELBIAM Knowunity AI. TO JEST DOSŁOWNIE JAK CHATGPT ALE MĄDRZEJSZY!! POMÓGŁ MI NAWET Z PROBLEMAMI Z TUSZEM DO RZĘS!! A TAKŻE Z PRAWDZIWYMI PRZEDMIOTAMI! OCZYWIŚCIE 😍😁😲🤑💗✨🎀😮
Krzysztof
użytkownik Android
Bardzo fajna aplikacja. Pomaga przygotować się do sprawdzianu, kartkówki lub odpowiedzi ustnej.
Oliwia
użytkowniczka iOS