Elektrostatyka to dział fizyki, który zajmuje się ładunkami elektrycznymi w... Pokaż więcej
Zarejestruj się, aby zobaczyć notatkęTo nic nie kosztuje!
Dostęp do wszystkich materiałów
Popraw swoje oceny
Dołącz do milionów studentów
Knowunity AI
Przedmioty
Triangle Congruence and Similarity Theorems
Triangle Properties and Classification
Linear Equations and Graphs
Geometric Angle Relationships
Trigonometric Functions and Identities
Equation Solving Techniques
Circle Geometry Fundamentals
Division Operations and Methods
Basic Differentiation Rules
Exponent and Logarithm Properties
Pokaż wszystkie tematy
Human Organ Systems
Reproductive Cell Cycles
Biological Sciences Subdisciplines
Cellular Energy Metabolism
Autotrophic Energy Processes
Inheritance Patterns and Principles
Biomolecular Structure and Organization
Cell Cycle and Division Mechanics
Cellular Organization and Development
Biological Structural Organization
Pokaż wszystkie tematy
Chemical Sciences and Applications
Atomic Structure and Composition
Molecular Electron Structure Representation
Atomic Electron Behavior
Matter Properties and Water
Mole Concept and Calculations
Gas Laws and Behavior
Periodic Table Organization
Chemical Thermodynamics Fundamentals
Chemical Bond Types and Properties
Pokaż wszystkie tematy
European Renaissance and Enlightenment
European Cultural Movements 800-1920
American Revolution Era 1763-1797
American Civil War 1861-1865
Global Imperial Systems
Mongol and Chinese Dynasties
U.S. Presidents and World Leaders
Historical Sources and Documentation
World Wars Era and Impact
World Religious Systems
Pokaż wszystkie tematy
Classic and Contemporary Novels
Literary Character Analysis
Rhetorical Theory and Practice
Classic Literary Narratives
Reading Analysis and Interpretation
Narrative Structure and Techniques
English Language Components
Influential English-Language Authors
Basic Sentence Structure
Narrative Voice and Perspective
Pokaż wszystkie tematy
2,258
•
Zaktualizowano Mar 22, 2026
•
Zuzula
@z.uzula
Elektrostatyka to dział fizyki, który zajmuje się ładunkami elektrycznymi w... Pokaż więcej






Fizyka to nauka przyrodnicza, która bada zjawiska zachodzące w przyrodzie. Pomaga nam zrozumieć, jak działa świat wokół nas - od najmniejszych cząstek po całe wszechświat.
Elektrostatyka to jeden z najważniejszych działów fizyki, który poznasz w liceum. Jest podstawą do zrozumienia elektryczności i elektroniki.

Każde ciało składa się z atomów zawierających protony (ładunek dodatni) i elektrony (ładunek ujemny). Ciało nienaelektryzowane ma równe ilości obu rodzajów ładunków, więc jest elektrycznie obojętne.
Elektryzowanie to proces tworzenia przewagi ładunków jednego rodzaju. Możesz to zrobić na trzy sposoby: przez pocieranie (np. pocieranie balona o włosy), dotyk lub indukcję (wpływ).
Pamiętaj o podstawowej zasadzie: ładunki jednoimienne się odpychają, różnoimienne - przyciągają. Każdy elektron i proton ma ładunek elementarny e = 1,6 × 10⁻¹⁹ C.
💡 Wskazówka: Uziemienie to połączenie ciała z ziemią przewodnikiem - pozwala to na zobojętnienie nadmiaru ładunku.

Zasada zachowania ładunku mówi, że w układzie izolowanym całkowity ładunek elektryczny nigdy się nie zmienia. To jedna z najważniejszych praw fizyki!
Podczas elektryzowania przez pocieranie jedno ciało zyskuje ładunki dodatnie, a drugie - ujemne w równej ilości. Nic nie ginie, wszystko się tylko przemieszcza.
Ładunek całkowity ciała obliczasz ze wzoru: Q = n·e, gdzie n to liczba elementarnych ładunków. Jeden kulomb (1C) to ogromna ilość - około 6,24 × 10¹⁸ ładunków elementarnych!
💡 Pamiętaj: W praktyce często używamy milikulombów (mC), gdzie 1 mC = 0,001 C = 10⁻³ C.

Prawo Coulomba to matematyczny opis sił między ładunkami elektrycznymi. Mówi, że siła jest tym większa, im większe są ładunki i im bliżej siebie się znajdują.
Wzór: F = k × (q₁ × q₂)/r², gdzie k = 9 × 10⁹ N·m²/C². Siła jest wprost proporcjonalna do iloczynów ładunków, a odwrotnie proporcjonalna do kwadratu odległości.
Przykład: Dla ładunków q₁ = 2 mC, q₂ = 4 mC w odległości r = 2 m otrzymujesz F = 18 000 N - to ogromna siła!
💡 Ważne: Pamiętaj o przeliczaniu jednostek - milikulomby na kulomby, centymetry na metry!

Prawo Coulomba pozwala przewidzieć, jak zmieni się siła przy zmianie parametrów. Jeśli ładunek wzrośnie dwukrotnie - siła też wzrośnie dwukrotnie. Gdy odległość wzrośnie dwukrotnie - siła spadnie czterokrotnie!
Przykładowe zadanie: Dla ładunków q₁ = 4 nC, q₂ = -6 nC w odległości 1 cm otrzymujesz siłę F = 2,16 × 10⁻³ N. Znak minus oznacza przyciąganie.
Możesz też obliczyć odległość, znając siłę i ładunki. Przekształcasz wzór: r = √.
💡 Uwaga na jednostki: Nanokuloumb (nC) = 10⁻⁹ C, centymetr = 10⁻² m. Właściwe przeliczenia to podstawa sukcesu!
Nasz asystent AI jest specjalnie dostosowany do potrzeb uczniów. W oparciu o miliony treści, które mamy na platformie, możemy udzielać uczniom naprawdę znaczących i trafnych odpowiedzi. Ale nie chodzi tylko o odpowiedzi, towarzysz prowadzi również uczniów przez codzienne wyzwania związane z nauką, ze spersonalizowanymi planami nauki, quizami lub treściami na czacie i 100% personalizacją opartą na umiejętnościach i rozwoju uczniów.
Aplikację możesz pobrać z Google Play i Apple Store.
Tak, masz całkowicie darmowy dostęp do wszystkich notatek w aplikacji, możesz w każdej chwili rozmawiać z Ekspertami lub ich obserwować. Możesz użyć punktów, aby odblokować pewne funkcje w aplikacji, które również możesz otrzymać za darmo. Dodatkowo oferujemy usługę Knowunity Premium, która pozwala na odblokowanie większej liczby funkcji.
App Store
Google Play
Aplikacja jest bardzo prosta i dobrze przemyślana. Do tej pory znalazłem wszystko, czego szukałem i mogłem się wiele nauczyć z innych notatek! Na pewno wykorzystam aplikację do pomocy przy robieniu prac domowych! No i oczywiście bardzo pomaga też jako inspiracja do robienia swoich notatek.
Stefan S
użytkownik iOS
Ta aplikacja jest naprawdę świetna. Jest tak wiele notatek i pomocnych informacji [...]. Moim problematycznym przedmiotem jest język niemiecki, a w aplikacji jest w czym wybierać. Dzięki tej aplikacji poprawiłam swój niemiecki. Polecam ją każdemu.
Samantha Klich
użytkownik Androida
Wow, jestem w szoku. Właśnie wypróbowałam aplikację, ponieważ widziałam ją kilka razy reklamowaną na TikToku jestem absolutnie w szoku. Ta aplikacja jest POMOCĄ, której potrzebujesz w szkole i przede wszystkim oferuje tak wiele rzeczy jak notatki czy streszczenia, które są BARDZO pomocne w moim przypadku.
Anna
użytkownik iOS
Kocham tę aplikację! Pomaga mi w zadaniach domowych, motywuje mnie i polepsza mi dzień. Dzięki tej aplikacji moje oceny się poprawiły. Lepszej aplikacji nie znajdę!🩷
Patrycja
użytkowniczka iOS
Super aplikacja! Ma odpowiedzi na wszystkie zadania. Testuję ją od paru miesięcy i jest po prostu perfekcyjna.
Szymon
użytkownik Android
Super aplikacja do nauki i sprawdzania wiedzy. Można znaleźć notatki z WSZYSTKICH przedmiotów. Polecam tym, którzy celują w oceny 5 i 6 😄
Szymon
użytkownik iOS
Aplikacja jest po prostu świetna! Wystarczy, że wpiszę w pasku wyszukiwania swój temat i od razu mam wyniki. Nie muszę oglądać 10 filmów na YouTube, żeby coś zrozumieć, więc oszczędzam swój czas. Po prostu polecam!
Kuba T
użytkownik Androida
W szkole byłem bardzo kiepski z matematyki, ale dzięki tej aplikacji radzę sobie teraz lepiej. Jestem bardzo wdzięczny, że ją stworzyliście.
Kriss
użytkownik Androida
Korzystam z Knowunity od ponad roku i jest mega! Najlepsze opcje z tej apki: ⭐️ Gotowe notatki ⭐️ Spersonalizowane treści ⭐️ Dostęp do chatu GPT W WERSJI SZKOLNEJ ⭐️ Konwersacje z innymi uczniami 🤍 NAUKA WRESZCIE NIE JEST NUDNA 🤍
Gosia
użytkowniczka Android
Bardzo lubię aplikację Knowunity, ponieważ pomaga mi w nauce. Odkąd ją mam moje oceny się poprawiają :)
Sara
użytkowniczka iOS
QUIZY I FISZKI SĄ SUPER PRZYDATNE I UWIELBIAM Knowunity AI. TO JEST DOSŁOWNIE JAK CHATGPT ALE MĄDRZEJSZY!! POMÓGŁ MI NAWET Z PROBLEMAMI Z TUSZEM DO RZĘS!! A TAKŻE Z PRAWDZIWYMI PRZEDMIOTAMI! OCZYWIŚCIE 😍😁😲🤑💗✨🎀😮
Krzysztof
użytkownik Android
Bardzo fajna aplikacja. Pomaga przygotować się do sprawdzianu, kartkówki lub odpowiedzi ustnej.
Oliwia
użytkowniczka iOS
Aplikacja jest bardzo prosta i dobrze przemyślana. Do tej pory znalazłem wszystko, czego szukałem i mogłem się wiele nauczyć z innych notatek! Na pewno wykorzystam aplikację do pomocy przy robieniu prac domowych! No i oczywiście bardzo pomaga też jako inspiracja do robienia swoich notatek.
Stefan S
użytkownik iOS
Ta aplikacja jest naprawdę świetna. Jest tak wiele notatek i pomocnych informacji [...]. Moim problematycznym przedmiotem jest język niemiecki, a w aplikacji jest w czym wybierać. Dzięki tej aplikacji poprawiłam swój niemiecki. Polecam ją każdemu.
Samantha Klich
użytkownik Androida
Wow, jestem w szoku. Właśnie wypróbowałam aplikację, ponieważ widziałam ją kilka razy reklamowaną na TikToku jestem absolutnie w szoku. Ta aplikacja jest POMOCĄ, której potrzebujesz w szkole i przede wszystkim oferuje tak wiele rzeczy jak notatki czy streszczenia, które są BARDZO pomocne w moim przypadku.
Anna
użytkownik iOS
Kocham tę aplikację! Pomaga mi w zadaniach domowych, motywuje mnie i polepsza mi dzień. Dzięki tej aplikacji moje oceny się poprawiły. Lepszej aplikacji nie znajdę!🩷
Patrycja
użytkowniczka iOS
Super aplikacja! Ma odpowiedzi na wszystkie zadania. Testuję ją od paru miesięcy i jest po prostu perfekcyjna.
Szymon
użytkownik Android
Super aplikacja do nauki i sprawdzania wiedzy. Można znaleźć notatki z WSZYSTKICH przedmiotów. Polecam tym, którzy celują w oceny 5 i 6 😄
Szymon
użytkownik iOS
Aplikacja jest po prostu świetna! Wystarczy, że wpiszę w pasku wyszukiwania swój temat i od razu mam wyniki. Nie muszę oglądać 10 filmów na YouTube, żeby coś zrozumieć, więc oszczędzam swój czas. Po prostu polecam!
Kuba T
użytkownik Androida
W szkole byłem bardzo kiepski z matematyki, ale dzięki tej aplikacji radzę sobie teraz lepiej. Jestem bardzo wdzięczny, że ją stworzyliście.
Kriss
użytkownik Androida
Korzystam z Knowunity od ponad roku i jest mega! Najlepsze opcje z tej apki: ⭐️ Gotowe notatki ⭐️ Spersonalizowane treści ⭐️ Dostęp do chatu GPT W WERSJI SZKOLNEJ ⭐️ Konwersacje z innymi uczniami 🤍 NAUKA WRESZCIE NIE JEST NUDNA 🤍
Gosia
użytkowniczka Android
Bardzo lubię aplikację Knowunity, ponieważ pomaga mi w nauce. Odkąd ją mam moje oceny się poprawiają :)
Sara
użytkowniczka iOS
QUIZY I FISZKI SĄ SUPER PRZYDATNE I UWIELBIAM Knowunity AI. TO JEST DOSŁOWNIE JAK CHATGPT ALE MĄDRZEJSZY!! POMÓGŁ MI NAWET Z PROBLEMAMI Z TUSZEM DO RZĘS!! A TAKŻE Z PRAWDZIWYMI PRZEDMIOTAMI! OCZYWIŚCIE 😍😁😲🤑💗✨🎀😮
Krzysztof
użytkownik Android
Bardzo fajna aplikacja. Pomaga przygotować się do sprawdzianu, kartkówki lub odpowiedzi ustnej.
Oliwia
użytkowniczka iOS
Zuzula
@z.uzula
Elektrostatyka to dział fizyki, który zajmuje się ładunkami elektrycznymi w stanie spoczynku. Dowiesz się, jak ciała się elektryzują, dlaczego niektóre się przyciągają, a inne odpychają, oraz jak obliczyć siły między nimi.

Dostęp do wszystkich materiałów
Popraw swoje oceny
Dołącz do milionów studentów
Fizyka to nauka przyrodnicza, która bada zjawiska zachodzące w przyrodzie. Pomaga nam zrozumieć, jak działa świat wokół nas - od najmniejszych cząstek po całe wszechświat.
Elektrostatyka to jeden z najważniejszych działów fizyki, który poznasz w liceum. Jest podstawą do zrozumienia elektryczności i elektroniki.

Dostęp do wszystkich materiałów
Popraw swoje oceny
Dołącz do milionów studentów
Każde ciało składa się z atomów zawierających protony (ładunek dodatni) i elektrony (ładunek ujemny). Ciało nienaelektryzowane ma równe ilości obu rodzajów ładunków, więc jest elektrycznie obojętne.
Elektryzowanie to proces tworzenia przewagi ładunków jednego rodzaju. Możesz to zrobić na trzy sposoby: przez pocieranie (np. pocieranie balona o włosy), dotyk lub indukcję (wpływ).
Pamiętaj o podstawowej zasadzie: ładunki jednoimienne się odpychają, różnoimienne - przyciągają. Każdy elektron i proton ma ładunek elementarny e = 1,6 × 10⁻¹⁹ C.
💡 Wskazówka: Uziemienie to połączenie ciała z ziemią przewodnikiem - pozwala to na zobojętnienie nadmiaru ładunku.

Dostęp do wszystkich materiałów
Popraw swoje oceny
Dołącz do milionów studentów
Zasada zachowania ładunku mówi, że w układzie izolowanym całkowity ładunek elektryczny nigdy się nie zmienia. To jedna z najważniejszych praw fizyki!
Podczas elektryzowania przez pocieranie jedno ciało zyskuje ładunki dodatnie, a drugie - ujemne w równej ilości. Nic nie ginie, wszystko się tylko przemieszcza.
Ładunek całkowity ciała obliczasz ze wzoru: Q = n·e, gdzie n to liczba elementarnych ładunków. Jeden kulomb (1C) to ogromna ilość - około 6,24 × 10¹⁸ ładunków elementarnych!
💡 Pamiętaj: W praktyce często używamy milikulombów (mC), gdzie 1 mC = 0,001 C = 10⁻³ C.

Dostęp do wszystkich materiałów
Popraw swoje oceny
Dołącz do milionów studentów
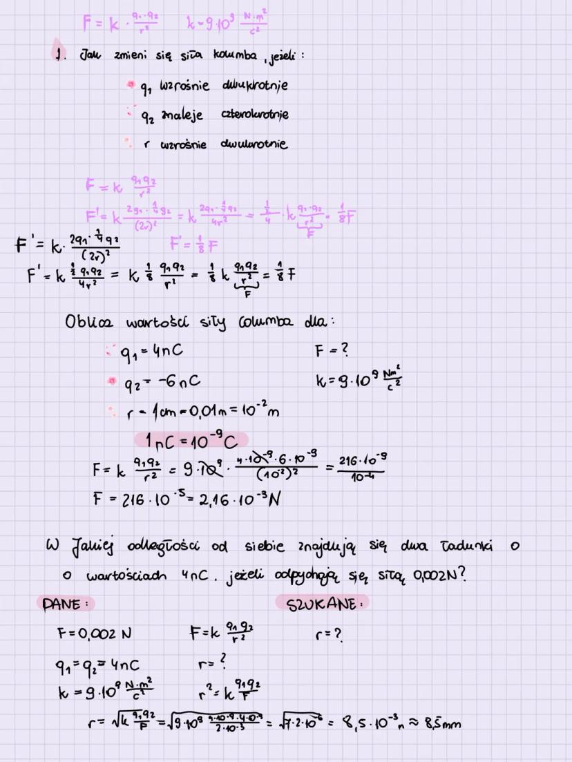
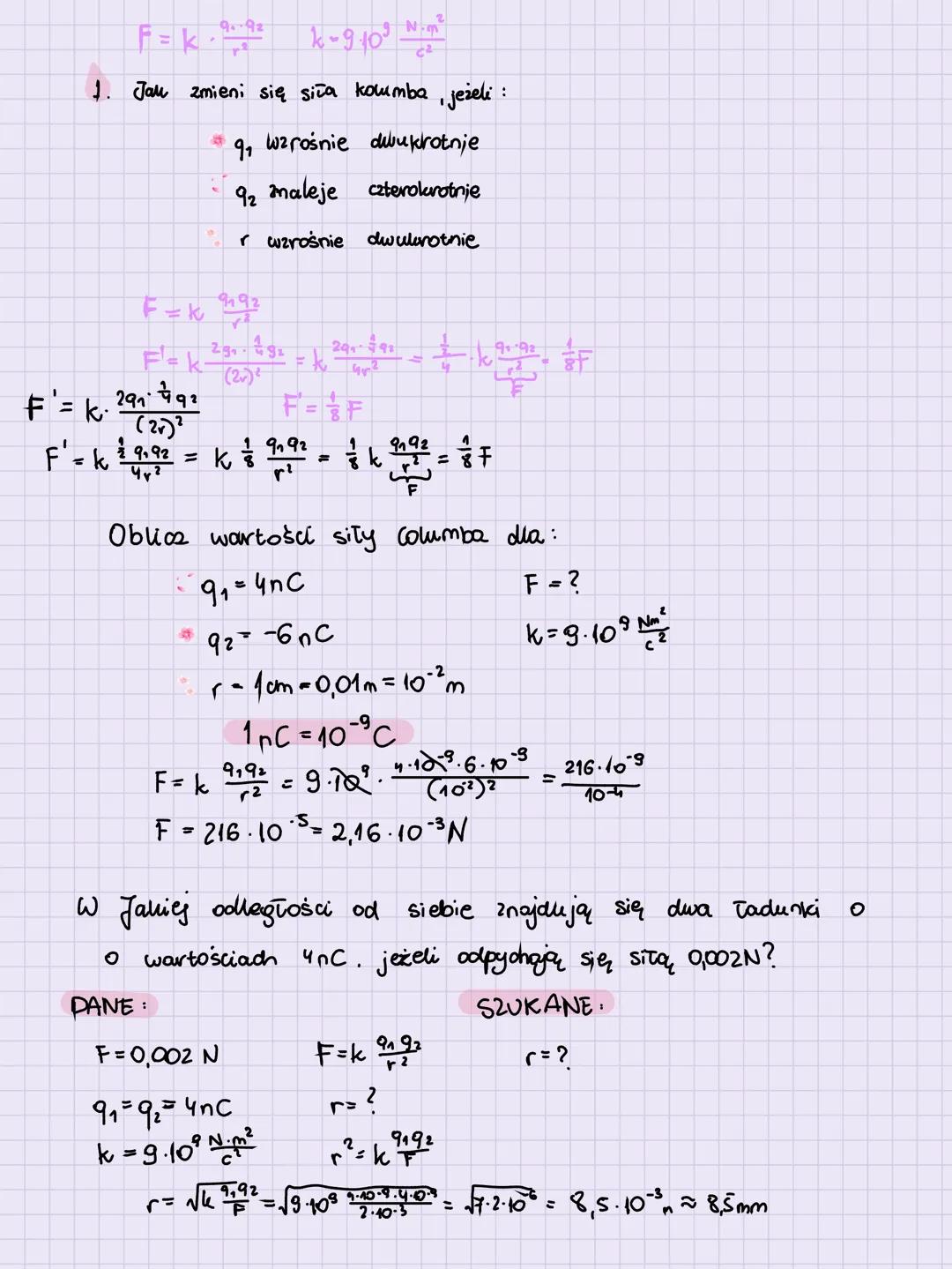
Prawo Coulomba to matematyczny opis sił między ładunkami elektrycznymi. Mówi, że siła jest tym większa, im większe są ładunki i im bliżej siebie się znajdują.
Wzór: F = k × (q₁ × q₂)/r², gdzie k = 9 × 10⁹ N·m²/C². Siła jest wprost proporcjonalna do iloczynów ładunków, a odwrotnie proporcjonalna do kwadratu odległości.
Przykład: Dla ładunków q₁ = 2 mC, q₂ = 4 mC w odległości r = 2 m otrzymujesz F = 18 000 N - to ogromna siła!
💡 Ważne: Pamiętaj o przeliczaniu jednostek - milikulomby na kulomby, centymetry na metry!

Dostęp do wszystkich materiałów
Popraw swoje oceny
Dołącz do milionów studentów
Prawo Coulomba pozwala przewidzieć, jak zmieni się siła przy zmianie parametrów. Jeśli ładunek wzrośnie dwukrotnie - siła też wzrośnie dwukrotnie. Gdy odległość wzrośnie dwukrotnie - siła spadnie czterokrotnie!
Przykładowe zadanie: Dla ładunków q₁ = 4 nC, q₂ = -6 nC w odległości 1 cm otrzymujesz siłę F = 2,16 × 10⁻³ N. Znak minus oznacza przyciąganie.
Możesz też obliczyć odległość, znając siłę i ładunki. Przekształcasz wzór: r = √.
💡 Uwaga na jednostki: Nanokuloumb (nC) = 10⁻⁹ C, centymetr = 10⁻² m. Właściwe przeliczenia to podstawa sukcesu!
Nasz asystent AI jest specjalnie dostosowany do potrzeb uczniów. W oparciu o miliony treści, które mamy na platformie, możemy udzielać uczniom naprawdę znaczących i trafnych odpowiedzi. Ale nie chodzi tylko o odpowiedzi, towarzysz prowadzi również uczniów przez codzienne wyzwania związane z nauką, ze spersonalizowanymi planami nauki, quizami lub treściami na czacie i 100% personalizacją opartą na umiejętnościach i rozwoju uczniów.
Aplikację możesz pobrać z Google Play i Apple Store.
Tak, masz całkowicie darmowy dostęp do wszystkich notatek w aplikacji, możesz w każdej chwili rozmawiać z Ekspertami lub ich obserwować. Możesz użyć punktów, aby odblokować pewne funkcje w aplikacji, które również możesz otrzymać za darmo. Dodatkowo oferujemy usługę Knowunity Premium, która pozwala na odblokowanie większej liczby funkcji.
39
Inteligentne Narzędzia NOWE
Przekształć te notatki w: ✓ 50+ Pytań Testowych ✓ Interaktywne Fiszki ✓ Pełny egzamin próbny ✓ Plany Eseju
Analiza okresu stalinowskiego w Polsce, obejmująca kluczowe cechy systemu, wpływ na sztukę i naukę oraz metody propagandy. Dowiedz się, jak stalinowska dyktatura wpłynęła na społeczeństwo polskie i jakie były jej konsekwencje. Typ: podsumowanie.
Zgłębiaj kluczowe pojęcia termodynamiki, w tym rozszerzalność cieplną, energię wewnętrzną oraz ciepło właściwe. Dowiedz się, jak zmiany temperatury wpływają na objętość substancji oraz jakie są zasady pierwszej termodynamiki. Idealne dla studentów fizyki i inżynierii.
Zrozumienie cząsteczek, energii wewnętrznej oraz rozszerzalności cieplnej. Ta notatka omawia stany skupienia materii, ruch cząsteczek, dyfuzję oraz zastosowania rozszerzalności cieplnej w codziennym życiu. Idealna dla uczniów klasy 3. Tematyka obejmuje pierwszą zasadę termodynamiki oraz praktyczne przykłady.
Zgłębiaj zasady termodynamiki, w tym dyfuzję, energię wewnętrzną oraz różnice między stanami skupienia. Dowiedz się, jak temperatura wpływa na ruch cząsteczek i jakie są podstawowe zasady zachowania energii. Idealne dla studentów fizyki i chemii. Typ: podsumowanie.
Zrozumienie molekularnej budowy materii, energii wewnętrznej oraz procesów dyfuzji. Dowiedz się, jak temperatura wpływa na ruch cząsteczek i jakie są zasady dyfuzji w różnych stanach skupienia. Idealne dla uczniów przygotowujących się do egzaminów z fizyki i chemii.
Zrozumienie sił spójności i przylegania oraz ich wpływu na zjawiska takie jak menisk, napięcie powierzchniowe i dyfuzja. Ta prezentacja omawia różnice między siłami spójności a przylegania, a także ich znaczenie w różnych stanach materii. Kluczowe pojęcia: dyfuzja, napięcie powierzchniowe, oddziaływania międzycząsteczkowe.
App Store
Google Play
Aplikacja jest bardzo prosta i dobrze przemyślana. Do tej pory znalazłem wszystko, czego szukałem i mogłem się wiele nauczyć z innych notatek! Na pewno wykorzystam aplikację do pomocy przy robieniu prac domowych! No i oczywiście bardzo pomaga też jako inspiracja do robienia swoich notatek.
Stefan S
użytkownik iOS
Ta aplikacja jest naprawdę świetna. Jest tak wiele notatek i pomocnych informacji [...]. Moim problematycznym przedmiotem jest język niemiecki, a w aplikacji jest w czym wybierać. Dzięki tej aplikacji poprawiłam swój niemiecki. Polecam ją każdemu.
Samantha Klich
użytkownik Androida
Wow, jestem w szoku. Właśnie wypróbowałam aplikację, ponieważ widziałam ją kilka razy reklamowaną na TikToku jestem absolutnie w szoku. Ta aplikacja jest POMOCĄ, której potrzebujesz w szkole i przede wszystkim oferuje tak wiele rzeczy jak notatki czy streszczenia, które są BARDZO pomocne w moim przypadku.
Anna
użytkownik iOS
Kocham tę aplikację! Pomaga mi w zadaniach domowych, motywuje mnie i polepsza mi dzień. Dzięki tej aplikacji moje oceny się poprawiły. Lepszej aplikacji nie znajdę!🩷
Patrycja
użytkowniczka iOS
Super aplikacja! Ma odpowiedzi na wszystkie zadania. Testuję ją od paru miesięcy i jest po prostu perfekcyjna.
Szymon
użytkownik Android
Super aplikacja do nauki i sprawdzania wiedzy. Można znaleźć notatki z WSZYSTKICH przedmiotów. Polecam tym, którzy celują w oceny 5 i 6 😄
Szymon
użytkownik iOS
Aplikacja jest po prostu świetna! Wystarczy, że wpiszę w pasku wyszukiwania swój temat i od razu mam wyniki. Nie muszę oglądać 10 filmów na YouTube, żeby coś zrozumieć, więc oszczędzam swój czas. Po prostu polecam!
Kuba T
użytkownik Androida
W szkole byłem bardzo kiepski z matematyki, ale dzięki tej aplikacji radzę sobie teraz lepiej. Jestem bardzo wdzięczny, że ją stworzyliście.
Kriss
użytkownik Androida
Korzystam z Knowunity od ponad roku i jest mega! Najlepsze opcje z tej apki: ⭐️ Gotowe notatki ⭐️ Spersonalizowane treści ⭐️ Dostęp do chatu GPT W WERSJI SZKOLNEJ ⭐️ Konwersacje z innymi uczniami 🤍 NAUKA WRESZCIE NIE JEST NUDNA 🤍
Gosia
użytkowniczka Android
Bardzo lubię aplikację Knowunity, ponieważ pomaga mi w nauce. Odkąd ją mam moje oceny się poprawiają :)
Sara
użytkowniczka iOS
QUIZY I FISZKI SĄ SUPER PRZYDATNE I UWIELBIAM Knowunity AI. TO JEST DOSŁOWNIE JAK CHATGPT ALE MĄDRZEJSZY!! POMÓGŁ MI NAWET Z PROBLEMAMI Z TUSZEM DO RZĘS!! A TAKŻE Z PRAWDZIWYMI PRZEDMIOTAMI! OCZYWIŚCIE 😍😁😲🤑💗✨🎀😮
Krzysztof
użytkownik Android
Bardzo fajna aplikacja. Pomaga przygotować się do sprawdzianu, kartkówki lub odpowiedzi ustnej.
Oliwia
użytkowniczka iOS
Aplikacja jest bardzo prosta i dobrze przemyślana. Do tej pory znalazłem wszystko, czego szukałem i mogłem się wiele nauczyć z innych notatek! Na pewno wykorzystam aplikację do pomocy przy robieniu prac domowych! No i oczywiście bardzo pomaga też jako inspiracja do robienia swoich notatek.
Stefan S
użytkownik iOS
Ta aplikacja jest naprawdę świetna. Jest tak wiele notatek i pomocnych informacji [...]. Moim problematycznym przedmiotem jest język niemiecki, a w aplikacji jest w czym wybierać. Dzięki tej aplikacji poprawiłam swój niemiecki. Polecam ją każdemu.
Samantha Klich
użytkownik Androida
Wow, jestem w szoku. Właśnie wypróbowałam aplikację, ponieważ widziałam ją kilka razy reklamowaną na TikToku jestem absolutnie w szoku. Ta aplikacja jest POMOCĄ, której potrzebujesz w szkole i przede wszystkim oferuje tak wiele rzeczy jak notatki czy streszczenia, które są BARDZO pomocne w moim przypadku.
Anna
użytkownik iOS
Kocham tę aplikację! Pomaga mi w zadaniach domowych, motywuje mnie i polepsza mi dzień. Dzięki tej aplikacji moje oceny się poprawiły. Lepszej aplikacji nie znajdę!🩷
Patrycja
użytkowniczka iOS
Super aplikacja! Ma odpowiedzi na wszystkie zadania. Testuję ją od paru miesięcy i jest po prostu perfekcyjna.
Szymon
użytkownik Android
Super aplikacja do nauki i sprawdzania wiedzy. Można znaleźć notatki z WSZYSTKICH przedmiotów. Polecam tym, którzy celują w oceny 5 i 6 😄
Szymon
użytkownik iOS
Aplikacja jest po prostu świetna! Wystarczy, że wpiszę w pasku wyszukiwania swój temat i od razu mam wyniki. Nie muszę oglądać 10 filmów na YouTube, żeby coś zrozumieć, więc oszczędzam swój czas. Po prostu polecam!
Kuba T
użytkownik Androida
W szkole byłem bardzo kiepski z matematyki, ale dzięki tej aplikacji radzę sobie teraz lepiej. Jestem bardzo wdzięczny, że ją stworzyliście.
Kriss
użytkownik Androida
Korzystam z Knowunity od ponad roku i jest mega! Najlepsze opcje z tej apki: ⭐️ Gotowe notatki ⭐️ Spersonalizowane treści ⭐️ Dostęp do chatu GPT W WERSJI SZKOLNEJ ⭐️ Konwersacje z innymi uczniami 🤍 NAUKA WRESZCIE NIE JEST NUDNA 🤍
Gosia
użytkowniczka Android
Bardzo lubię aplikację Knowunity, ponieważ pomaga mi w nauce. Odkąd ją mam moje oceny się poprawiają :)
Sara
użytkowniczka iOS
QUIZY I FISZKI SĄ SUPER PRZYDATNE I UWIELBIAM Knowunity AI. TO JEST DOSŁOWNIE JAK CHATGPT ALE MĄDRZEJSZY!! POMÓGŁ MI NAWET Z PROBLEMAMI Z TUSZEM DO RZĘS!! A TAKŻE Z PRAWDZIWYMI PRZEDMIOTAMI! OCZYWIŚCIE 😍😁😲🤑💗✨🎀😮
Krzysztof
użytkownik Android
Bardzo fajna aplikacja. Pomaga przygotować się do sprawdzianu, kartkówki lub odpowiedzi ustnej.
Oliwia
użytkowniczka iOS