Elektryczność to fascynujący temat, który wyjaśnia, dlaczego niektóre przedmioty się... Pokaż więcej
Siły Elektryczne: Fizyka dla Klasy 3 LO (Podstawa)





Siły elektryczne i prawo Coulomba
Ciała naelektryzowane zachowują się według prostej zasady: ładunki jednoimienne się odpychają, a różnoimienne przyciągają. Siła tego oddziaływania może być różna - czasem bardzo silna, czasem ledwo zauważalna.
Prawo Coulomba pozwala nam obliczyć dokładną wartość siły działającej między dwoma ładunkami. Zgodnie ze wzorem: F = K·|q₁·q₂|/r², gdzie q₁ i q₂ to ładunki oddziałujących cząstek, r to odległość między nimi, a K to stała wynosząca około 9·10⁹ N·m²/C².
Siła elektryczna jest wprost proporcjonalna do iloczynu ładunków, ale odwrotnie proporcjonalna do kwadratu odległości. Oznacza to, że gdy podwoisz odległość między ładunkami, siła zmniejszy się aż czterokrotnie!
💡 Ciekawostka: Siły elektryczne maleją z kwadratem odległości - to dlatego balon potarty o włosy przyciąga małe kawałki papieru tylko z bliska, a nie z drugiego końca pokoju.

Oddziaływanie dipoli elektrycznych
Dwa dipole (pary ładunków przeciwnych) mogą się przyciągać lub odpychać, zależnie od ich wzajemnego ustawienia. To trochę jak ustawianie magnesów - czasem się przyciągają, a czasem odpychają!
Każda para ładunków w dipolach działa na siebie zgodnie z prawem Coulomba. Gdy dipole są blisko siebie, największe znaczenie mają siły między najbliższymi ładunkami przeciwnymi. Na przykład, gdy dipole ustawione są "+" do "-", siła przyciągająca między tymi najbliższymi ładunkami jest największa.
Dipole mogą się również odpychać, jeśli są ustawione tak, że najbliżej siebie znajdują się ładunki jednoimienne. Gdy dipole są bardzo daleko od siebie, praktycznie nie oddziałują wcale - ich wpływ staje się pomijalnie mały.
📌 Zapamiętaj: Sposób, w jaki ustawisz dwa dipole, całkowicie zmienia charakter oddziaływania między nimi - od silnego przyciągania do silnego odpychania!

Superpozycja sił elektrycznych
Co się dzieje, gdy mamy więcej niż dwa ładunki? Wtedy stosujemy zasadę superpozycji sił! Najpierw obliczamy wszystkie siły działające między poszczególnymi ładunkami, a następnie sumujemy je, uwzględniając ich kierunki.
Wyobraź sobie trzy ładunki w linii prostej. Ładunek środkowy oddziałuje z dwoma pozostałymi. Jeśli siły działają w przeciwnych kierunkach, odejmujemy je, aby znaleźć siłę wypadkową. Jeśli działają w tym samym kierunku, dodajemy je.
Na przykład, dla trzech jednakowych ładunków q₁=q₂=q₃=2·10⁻⁶ C, gdzie środkowy ładunek znajduje się w odległości r=0,7 m od pierwszego i 2r od trzeciego, siła wypadkowa będzie różnicą sił F₂ i F₁. W tym przypadku siła wypadkowa wyniesie około 5,51·10⁻² N w kierunku zgodnym z działaniem silniejszej siły.
🔍 Wskazówka: Rysowanie układu sił bardzo pomaga w rozwiązywaniu zadań z superpozycją - narysuj każdą siłę osobno, a potem zastanów się, które się dodają, a które odejmują!

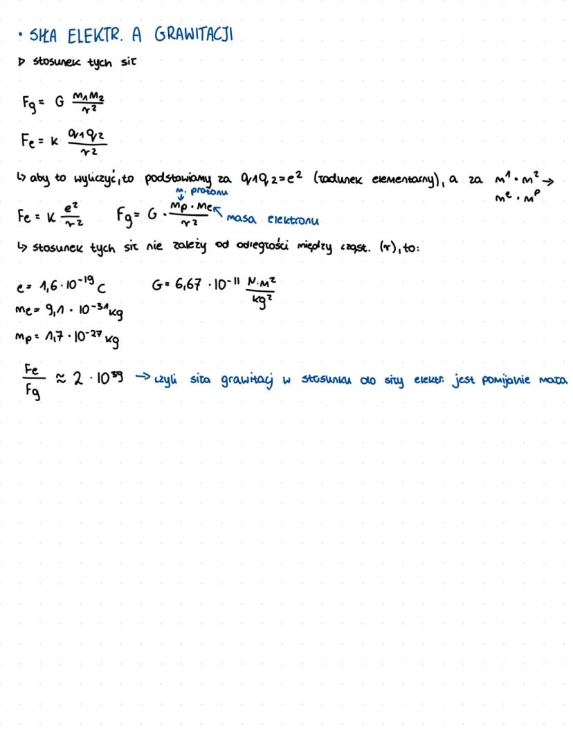
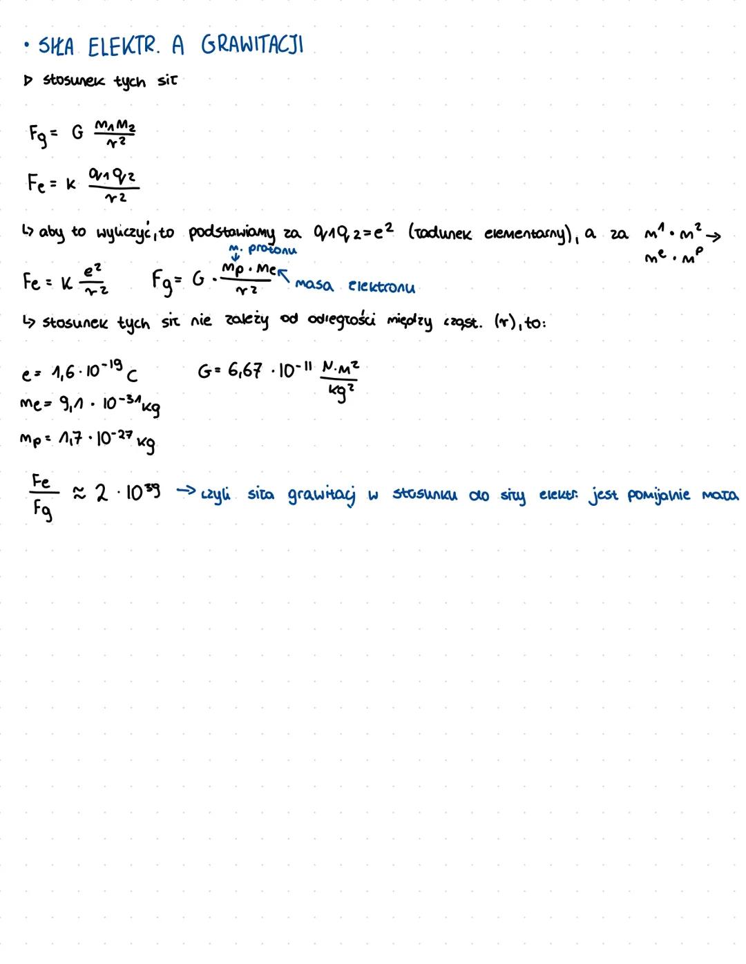
Siła elektryczna a grawitacja
Czy wiesz, że siły elektryczne są niewyobrażalnie silniejsze od grawitacyjnych? Porównajmy je używając wzorów: dla grawitacji F_g = G·, a dla sił elektrycznych F_e = K·.
Aby obliczyć stosunek tych sił, możemy użyć przykładu elektronu i protonu. Podstawiając ładunek elementarny e = 1,6·10⁻¹⁹ C oraz masy cząstek , otrzymujemy zdumiewający wynik.
Stosunek siły elektrycznej do grawitacyjnej wynosi około 2·10³⁹! To oznacza, że siła elektryczna jest około 2 z 39 zerami razy silniejsza niż siła grawitacji. Dlatego w świecie cząstek elementarnych grawitacja jest praktycznie pomijalna.
🤯 Wow! Gdyby nie fakt, że większość obiektów jest elektrycznie obojętna (ma tyle samo ładunków dodatnich co ujemnych), siły elektryczne rozerwałyby wszystko wokół nas!
Myśleliśmy, że nigdy nie zapytasz...
Czym jest Towarzysz AI z Knowunity?
Nasz asystent AI jest specjalnie dostosowany do potrzeb uczniów. W oparciu o miliony treści, które mamy na platformie, możemy udzielać uczniom naprawdę znaczących i trafnych odpowiedzi. Ale nie chodzi tylko o odpowiedzi, towarzysz prowadzi również uczniów przez codzienne wyzwania związane z nauką, ze spersonalizowanymi planami nauki, quizami lub treściami na czacie i 100% personalizacją opartą na umiejętnościach i rozwoju uczniów.
Gdzie mogę pobrać aplikację Knowunity?
Aplikację możesz pobrać z Google Play i Apple Store.
Czy aplikacja Knowunity naprawdę jest darmowa?
Tak, masz całkowicie darmowy dostęp do wszystkich notatek w aplikacji, możesz w każdej chwili rozmawiać z Ekspertami lub ich obserwować. Możesz użyć punktów, aby odblokować pewne funkcje w aplikacji, które również możesz otrzymać za darmo. Dodatkowo oferujemy usługę Knowunity Premium, która pozwala na odblokowanie większej liczby funkcji.
Najpopularniejsze notatki z Fizyka
9Zasady Dynamiki
Odkryj kluczowe zasady dynamiki, w tym siły bezwładności, siłę dośrodkową oraz zasady ruchu. Zrozum pierwszą, drugą i trzecią zasadę dynamiki, a także różne rodzaje sił działających na ciała. Idealne dla uczniów liceum przygotowujących się do egzaminów z fizyki.
Ruch Prostoliniowy: Przyspieszenie i Opóźnienie
Zrozum podstawowe zasady ruchu prostoliniowego jednostajnie przyspieszonego i opóźnionego. Dowiedz się, jak obliczać przyspieszenie, prędkość oraz drogę w kontekście kinematyki. Materiał przeznaczony dla uczniów klasy 7, zawiera kluczowe wzory i definicje. Typ: Podsumowanie.
Zasady Dynamiki Newtona
Przegląd trzech zasad dynamiki Newtona, w tym bezwładności, sił tarcia oraz swobodnego spadania ciał. Zrozumienie podstawowych pojęć, takich jak siła wypadkowa i przyspieszenie, z przykładami zastosowań. Idealne dla uczniów klasy 7 SP.
Podstawy Kinematyki
Zrozumienie kinematyki w ruchu jednostajnym i jednostajnie przyspieszonym. Kluczowe wzory na prędkość, drogę i przyspieszenie. Wykresy zależności prędkości i drogi od czasu. Idealne dla uczniów klasy 7.
Drgania i Fale: Kluczowe Pojęcia
Zrozum podstawowe pojęcia drgań i fal, w tym amplitudę, okres, częstotliwość oraz prędkość rozchodzenia się fal. Dowiedz się, jak obliczać częstotliwość i jakie są różnice między falami dźwiękowymi a elektromagnetycznymi. Idealne dla uczniów przygotowujących się do egzaminów z fizyki.
Zasady Dynamiki Newtona
Przegląd trzech zasad dynamiki Newtona: pierwsza zasada (spoczynek i ruch jednostajny), druga zasada (przyspieszenie i siła), oraz trzecia zasada (działanie i reakcja). Idealne dla uczniów szkół ponadpodstawowych, aby zrozumieć podstawowe zasady ruchu i sił. Materiał zawiera kluczowe wzory i definicje.
Fizyka Atomowa: Widma i Efekty
Zgłębiaj podstawy fizyki atomowej, koncentrując się na widmach, efekcie fotoelektrycznym oraz modelu Bohra. Dowiedz się o podwójnej naturze światła, poziomach energii oraz kluczowych wzorach. Idealne dla studentów na poziomie podstawowym. Typ: Podsumowanie.
Podstawy Pierwszej Zasady Dynamiki
Poznasz definicję bezwładności oraz treść pierwszej zasady dynamiki Newtona w teorii.
Zjawiska Falowe w Fizyce
Odkryj kluczowe zjawiska falowe, takie jak efekt Dopplera, załamanie światła oraz interferencja fal. Materiał przeznaczony dla uczniów klasy 3 fizyki podstawowej, zawiera szczegółowe omówienie fal elektromagnetycznych, optyki oraz zjawisk związanych z wibracjami. Idealne do nauki i przygotowania do egzaminów.
Najpopularniejsze notatki
9Przedwiośnie: Analiza Tematów
Zanurz się w analizę powieści 'Przedwiośnie' Stefana Żeromskiego. Odkryj kluczowe motywy, takie jak dojrzewanie, rewolucja i podróż, oraz ich znaczenie w kontekście niepodległej Polski. Notatka zawiera szczegółowe omówienie bohaterów, narracji oraz symboliki, co czyni ją idealnym materiałem do nauki i przygotowania do egzaminów.
Analiza Lalki Prusa
Szczegółowa analiza powieści 'Lalka' Bolesława Prusa, obejmująca kompozycję, problematykę, głównych bohaterów oraz kontekst społeczny Warszawy lat 70. i 80. XIX wieku. Zawiera omówienie miłości Wokulskiego do Izabeli Łęckiej, różnorodności narracji oraz otwartości zakończenia. Idealna dla studentów literatury i miłośników polskiej prozy.
Analiza 'Lalki' Prusa
Szczegółowa analiza powieści 'Lalka' Bolesława Prusa, obejmująca gatunek, czas i miejsce akcji, kluczowych bohaterów, oraz motywy literackie. Zawiera omówienie postaci Stanisława Wokulskiego jako romantyka i pozytywisty oraz realistyczny obraz Warszawy i Paryża. Idealne dla studentów literatury polskiej.
Wesele: Analiza Symboli
Zanurz się w głęboką analizę dramatu 'Wesele' Stanisława Wyspiańskiego. Odkryj kluczowe symbole, takie jak chochoł i złoty róg, oraz ich znaczenie w kontekście polskiego społeczeństwa przełomu XIX i XX wieku. Notatka zawiera omówienie genezy, kompozycji, tematów oraz portretu społecznego, co czyni ją idealnym materiałem do nauki i przygotowań do egzaminów.
Przedwiośnie: Kluczowe Motywy
Analiza powieści 'Przedwiośnie' Stefana Żeromskiego, obejmująca gatunek, czas i miejsce akcji, głównych bohaterów oraz szczegółowy plan wydarzeń. Zawiera omówienie kluczowych motywów literackich, takich jak patriotyzm, rewolucja, miłość i przemiana Cezarego Baryki. Idealne dla studentów przygotowujących się do egzaminów.
Makbet: Analiza Tragedii Szekspira
Odkryj kluczowe cechy dramatu 'Makbet' Williama Szekspira, w tym złamanie zasady decorum, psychologię postaci oraz tematykę zbrodni i ambicji. Zrozum, jak Szekspir przekształca klasyczną tragedię, wprowadzając elementy fantastyki i psychologii. Idealne dla uczniów i studentów literatury. Typ: analiza literacka.
Młoda Polska: Kluczowe Tematy
Odkryj istotne cechy i motywy epoki Młodej Polski, w tym dekadentyzm, sztukę dla sztuki oraz wpływ filozofii Nietzschego i Schopenhauera. Analiza najważniejszych twórców, ich dzieł oraz typów bohaterów. Idealne dla studentów literatury i kultury polskiej.
Wesele: Analiza Społeczeństwa
Zanurz się w głęboką analizę dramatu 'Wesele' Stanisława Wyspiańskiego, który ukazuje podziały między inteligencją a chłopstwem w Polsce na początku XX wieku. Odkryj symbole, narodowe mity oraz kluczowe rozmowy, które ilustrują społeczne napięcia i brak zrozumienia. Idealne dla studentów literatury i kultury polskiej.
Mity Narodowe w 'Weselu'
Analiza symboliki i mitów narodowych w dramacie Stanisława Wyspiańskiego 'Wesele'. Odkryj, jak postacie i symbole odzwierciedlają społeczne napięcia i dążenia Polaków na początku XX wieku. Materiał zawiera omówienie głównych tematów, realistycznych bohaterów oraz kontekstu historycznego. Idealne dla studentów literatury i kultury polskiej.
Nie ma nic odpowiedniego? Sprawdź inne przedmioty.
Zobacz, co mówią o nas nasi użytkownicy. Pokochali nas — pokochasz też i Ty.
Aplikacja jest bardzo prosta i dobrze przemyślana. Do tej pory znalazłem wszystko, czego szukałem i mogłem się wiele nauczyć z innych notatek! Na pewno wykorzystam aplikację do pomocy przy robieniu prac domowych! No i oczywiście bardzo pomaga też jako inspiracja do robienia swoich notatek.
Ta aplikacja jest naprawdę świetna. Jest tak wiele notatek i pomocnych informacji [...]. Moim problematycznym przedmiotem jest język niemiecki, a w aplikacji jest w czym wybierać. Dzięki tej aplikacji poprawiłam swój niemiecki. Polecam ją każdemu.
Wow, jestem w szoku. Właśnie wypróbowałam aplikację, ponieważ widziałam ją kilka razy reklamowaną na TikToku jestem absolutnie w szoku. Ta aplikacja jest POMOCĄ, której potrzebujesz w szkole i przede wszystkim oferuje tak wiele rzeczy jak notatki czy streszczenia, które są BARDZO pomocne w moim przypadku.
Siły Elektryczne: Fizyka dla Klasy 3 LO (Podstawa)
Elektryczność to fascynujący temat, który wyjaśnia, dlaczego niektóre przedmioty się przyciągają, a inne odpychają. Zrozumienie sił elektrycznych i prawa Coulomba pozwoli Ci wyjaśnić wiele zjawisk, które obserwujesz na co dzień.

Zarejestruj się, aby zobaczyć notatkę. To nic nie kosztuje!
- Dostęp do wszystkich materiałów
- Popraw swoje oceny
- Dołącz do milionów studentów
Siły elektryczne i prawo Coulomba
Ciała naelektryzowane zachowują się według prostej zasady: ładunki jednoimienne się odpychają, a różnoimienne przyciągają. Siła tego oddziaływania może być różna - czasem bardzo silna, czasem ledwo zauważalna.
Prawo Coulomba pozwala nam obliczyć dokładną wartość siły działającej między dwoma ładunkami. Zgodnie ze wzorem: F = K·|q₁·q₂|/r², gdzie q₁ i q₂ to ładunki oddziałujących cząstek, r to odległość między nimi, a K to stała wynosząca około 9·10⁹ N·m²/C².
Siła elektryczna jest wprost proporcjonalna do iloczynu ładunków, ale odwrotnie proporcjonalna do kwadratu odległości. Oznacza to, że gdy podwoisz odległość między ładunkami, siła zmniejszy się aż czterokrotnie!
💡 Ciekawostka: Siły elektryczne maleją z kwadratem odległości - to dlatego balon potarty o włosy przyciąga małe kawałki papieru tylko z bliska, a nie z drugiego końca pokoju.

Zarejestruj się, aby zobaczyć notatkę. To nic nie kosztuje!
- Dostęp do wszystkich materiałów
- Popraw swoje oceny
- Dołącz do milionów studentów
Oddziaływanie dipoli elektrycznych
Dwa dipole (pary ładunków przeciwnych) mogą się przyciągać lub odpychać, zależnie od ich wzajemnego ustawienia. To trochę jak ustawianie magnesów - czasem się przyciągają, a czasem odpychają!
Każda para ładunków w dipolach działa na siebie zgodnie z prawem Coulomba. Gdy dipole są blisko siebie, największe znaczenie mają siły między najbliższymi ładunkami przeciwnymi. Na przykład, gdy dipole ustawione są "+" do "-", siła przyciągająca między tymi najbliższymi ładunkami jest największa.
Dipole mogą się również odpychać, jeśli są ustawione tak, że najbliżej siebie znajdują się ładunki jednoimienne. Gdy dipole są bardzo daleko od siebie, praktycznie nie oddziałują wcale - ich wpływ staje się pomijalnie mały.
📌 Zapamiętaj: Sposób, w jaki ustawisz dwa dipole, całkowicie zmienia charakter oddziaływania między nimi - od silnego przyciągania do silnego odpychania!

Zarejestruj się, aby zobaczyć notatkę. To nic nie kosztuje!
- Dostęp do wszystkich materiałów
- Popraw swoje oceny
- Dołącz do milionów studentów
Superpozycja sił elektrycznych
Co się dzieje, gdy mamy więcej niż dwa ładunki? Wtedy stosujemy zasadę superpozycji sił! Najpierw obliczamy wszystkie siły działające między poszczególnymi ładunkami, a następnie sumujemy je, uwzględniając ich kierunki.
Wyobraź sobie trzy ładunki w linii prostej. Ładunek środkowy oddziałuje z dwoma pozostałymi. Jeśli siły działają w przeciwnych kierunkach, odejmujemy je, aby znaleźć siłę wypadkową. Jeśli działają w tym samym kierunku, dodajemy je.
Na przykład, dla trzech jednakowych ładunków q₁=q₂=q₃=2·10⁻⁶ C, gdzie środkowy ładunek znajduje się w odległości r=0,7 m od pierwszego i 2r od trzeciego, siła wypadkowa będzie różnicą sił F₂ i F₁. W tym przypadku siła wypadkowa wyniesie około 5,51·10⁻² N w kierunku zgodnym z działaniem silniejszej siły.
🔍 Wskazówka: Rysowanie układu sił bardzo pomaga w rozwiązywaniu zadań z superpozycją - narysuj każdą siłę osobno, a potem zastanów się, które się dodają, a które odejmują!

Zarejestruj się, aby zobaczyć notatkę. To nic nie kosztuje!
- Dostęp do wszystkich materiałów
- Popraw swoje oceny
- Dołącz do milionów studentów
Siła elektryczna a grawitacja
Czy wiesz, że siły elektryczne są niewyobrażalnie silniejsze od grawitacyjnych? Porównajmy je używając wzorów: dla grawitacji F_g = G·, a dla sił elektrycznych F_e = K·.
Aby obliczyć stosunek tych sił, możemy użyć przykładu elektronu i protonu. Podstawiając ładunek elementarny e = 1,6·10⁻¹⁹ C oraz masy cząstek , otrzymujemy zdumiewający wynik.
Stosunek siły elektrycznej do grawitacyjnej wynosi około 2·10³⁹! To oznacza, że siła elektryczna jest około 2 z 39 zerami razy silniejsza niż siła grawitacji. Dlatego w świecie cząstek elementarnych grawitacja jest praktycznie pomijalna.
🤯 Wow! Gdyby nie fakt, że większość obiektów jest elektrycznie obojętna (ma tyle samo ładunków dodatnich co ujemnych), siły elektryczne rozerwałyby wszystko wokół nas!
Myśleliśmy, że nigdy nie zapytasz...
Czym jest Towarzysz AI z Knowunity?
Nasz asystent AI jest specjalnie dostosowany do potrzeb uczniów. W oparciu o miliony treści, które mamy na platformie, możemy udzielać uczniom naprawdę znaczących i trafnych odpowiedzi. Ale nie chodzi tylko o odpowiedzi, towarzysz prowadzi również uczniów przez codzienne wyzwania związane z nauką, ze spersonalizowanymi planami nauki, quizami lub treściami na czacie i 100% personalizacją opartą na umiejętnościach i rozwoju uczniów.
Gdzie mogę pobrać aplikację Knowunity?
Aplikację możesz pobrać z Google Play i Apple Store.
Czy aplikacja Knowunity naprawdę jest darmowa?
Tak, masz całkowicie darmowy dostęp do wszystkich notatek w aplikacji, możesz w każdej chwili rozmawiać z Ekspertami lub ich obserwować. Możesz użyć punktów, aby odblokować pewne funkcje w aplikacji, które również możesz otrzymać za darmo. Dodatkowo oferujemy usługę Knowunity Premium, która pozwala na odblokowanie większej liczby funkcji.
Najpopularniejsze notatki z Fizyka
9Zasady Dynamiki
Odkryj kluczowe zasady dynamiki, w tym siły bezwładności, siłę dośrodkową oraz zasady ruchu. Zrozum pierwszą, drugą i trzecią zasadę dynamiki, a także różne rodzaje sił działających na ciała. Idealne dla uczniów liceum przygotowujących się do egzaminów z fizyki.
Ruch Prostoliniowy: Przyspieszenie i Opóźnienie
Zrozum podstawowe zasady ruchu prostoliniowego jednostajnie przyspieszonego i opóźnionego. Dowiedz się, jak obliczać przyspieszenie, prędkość oraz drogę w kontekście kinematyki. Materiał przeznaczony dla uczniów klasy 7, zawiera kluczowe wzory i definicje. Typ: Podsumowanie.
Zasady Dynamiki Newtona
Przegląd trzech zasad dynamiki Newtona, w tym bezwładności, sił tarcia oraz swobodnego spadania ciał. Zrozumienie podstawowych pojęć, takich jak siła wypadkowa i przyspieszenie, z przykładami zastosowań. Idealne dla uczniów klasy 7 SP.
Podstawy Kinematyki
Zrozumienie kinematyki w ruchu jednostajnym i jednostajnie przyspieszonym. Kluczowe wzory na prędkość, drogę i przyspieszenie. Wykresy zależności prędkości i drogi od czasu. Idealne dla uczniów klasy 7.
Drgania i Fale: Kluczowe Pojęcia
Zrozum podstawowe pojęcia drgań i fal, w tym amplitudę, okres, częstotliwość oraz prędkość rozchodzenia się fal. Dowiedz się, jak obliczać częstotliwość i jakie są różnice między falami dźwiękowymi a elektromagnetycznymi. Idealne dla uczniów przygotowujących się do egzaminów z fizyki.
Zasady Dynamiki Newtona
Przegląd trzech zasad dynamiki Newtona: pierwsza zasada (spoczynek i ruch jednostajny), druga zasada (przyspieszenie i siła), oraz trzecia zasada (działanie i reakcja). Idealne dla uczniów szkół ponadpodstawowych, aby zrozumieć podstawowe zasady ruchu i sił. Materiał zawiera kluczowe wzory i definicje.
Fizyka Atomowa: Widma i Efekty
Zgłębiaj podstawy fizyki atomowej, koncentrując się na widmach, efekcie fotoelektrycznym oraz modelu Bohra. Dowiedz się o podwójnej naturze światła, poziomach energii oraz kluczowych wzorach. Idealne dla studentów na poziomie podstawowym. Typ: Podsumowanie.
Podstawy Pierwszej Zasady Dynamiki
Poznasz definicję bezwładności oraz treść pierwszej zasady dynamiki Newtona w teorii.
Zjawiska Falowe w Fizyce
Odkryj kluczowe zjawiska falowe, takie jak efekt Dopplera, załamanie światła oraz interferencja fal. Materiał przeznaczony dla uczniów klasy 3 fizyki podstawowej, zawiera szczegółowe omówienie fal elektromagnetycznych, optyki oraz zjawisk związanych z wibracjami. Idealne do nauki i przygotowania do egzaminów.
Najpopularniejsze notatki
9Przedwiośnie: Analiza Tematów
Zanurz się w analizę powieści 'Przedwiośnie' Stefana Żeromskiego. Odkryj kluczowe motywy, takie jak dojrzewanie, rewolucja i podróż, oraz ich znaczenie w kontekście niepodległej Polski. Notatka zawiera szczegółowe omówienie bohaterów, narracji oraz symboliki, co czyni ją idealnym materiałem do nauki i przygotowania do egzaminów.
Analiza Lalki Prusa
Szczegółowa analiza powieści 'Lalka' Bolesława Prusa, obejmująca kompozycję, problematykę, głównych bohaterów oraz kontekst społeczny Warszawy lat 70. i 80. XIX wieku. Zawiera omówienie miłości Wokulskiego do Izabeli Łęckiej, różnorodności narracji oraz otwartości zakończenia. Idealna dla studentów literatury i miłośników polskiej prozy.
Analiza 'Lalki' Prusa
Szczegółowa analiza powieści 'Lalka' Bolesława Prusa, obejmująca gatunek, czas i miejsce akcji, kluczowych bohaterów, oraz motywy literackie. Zawiera omówienie postaci Stanisława Wokulskiego jako romantyka i pozytywisty oraz realistyczny obraz Warszawy i Paryża. Idealne dla studentów literatury polskiej.
Wesele: Analiza Symboli
Zanurz się w głęboką analizę dramatu 'Wesele' Stanisława Wyspiańskiego. Odkryj kluczowe symbole, takie jak chochoł i złoty róg, oraz ich znaczenie w kontekście polskiego społeczeństwa przełomu XIX i XX wieku. Notatka zawiera omówienie genezy, kompozycji, tematów oraz portretu społecznego, co czyni ją idealnym materiałem do nauki i przygotowań do egzaminów.
Przedwiośnie: Kluczowe Motywy
Analiza powieści 'Przedwiośnie' Stefana Żeromskiego, obejmująca gatunek, czas i miejsce akcji, głównych bohaterów oraz szczegółowy plan wydarzeń. Zawiera omówienie kluczowych motywów literackich, takich jak patriotyzm, rewolucja, miłość i przemiana Cezarego Baryki. Idealne dla studentów przygotowujących się do egzaminów.
Makbet: Analiza Tragedii Szekspira
Odkryj kluczowe cechy dramatu 'Makbet' Williama Szekspira, w tym złamanie zasady decorum, psychologię postaci oraz tematykę zbrodni i ambicji. Zrozum, jak Szekspir przekształca klasyczną tragedię, wprowadzając elementy fantastyki i psychologii. Idealne dla uczniów i studentów literatury. Typ: analiza literacka.
Młoda Polska: Kluczowe Tematy
Odkryj istotne cechy i motywy epoki Młodej Polski, w tym dekadentyzm, sztukę dla sztuki oraz wpływ filozofii Nietzschego i Schopenhauera. Analiza najważniejszych twórców, ich dzieł oraz typów bohaterów. Idealne dla studentów literatury i kultury polskiej.
Wesele: Analiza Społeczeństwa
Zanurz się w głęboką analizę dramatu 'Wesele' Stanisława Wyspiańskiego, który ukazuje podziały między inteligencją a chłopstwem w Polsce na początku XX wieku. Odkryj symbole, narodowe mity oraz kluczowe rozmowy, które ilustrują społeczne napięcia i brak zrozumienia. Idealne dla studentów literatury i kultury polskiej.
Mity Narodowe w 'Weselu'
Analiza symboliki i mitów narodowych w dramacie Stanisława Wyspiańskiego 'Wesele'. Odkryj, jak postacie i symbole odzwierciedlają społeczne napięcia i dążenia Polaków na początku XX wieku. Materiał zawiera omówienie głównych tematów, realistycznych bohaterów oraz kontekstu historycznego. Idealne dla studentów literatury i kultury polskiej.
Nie ma nic odpowiedniego? Sprawdź inne przedmioty.
Zobacz, co mówią o nas nasi użytkownicy. Pokochali nas — pokochasz też i Ty.
Aplikacja jest bardzo prosta i dobrze przemyślana. Do tej pory znalazłem wszystko, czego szukałem i mogłem się wiele nauczyć z innych notatek! Na pewno wykorzystam aplikację do pomocy przy robieniu prac domowych! No i oczywiście bardzo pomaga też jako inspiracja do robienia swoich notatek.
Ta aplikacja jest naprawdę świetna. Jest tak wiele notatek i pomocnych informacji [...]. Moim problematycznym przedmiotem jest język niemiecki, a w aplikacji jest w czym wybierać. Dzięki tej aplikacji poprawiłam swój niemiecki. Polecam ją każdemu.
Wow, jestem w szoku. Właśnie wypróbowałam aplikację, ponieważ widziałam ją kilka razy reklamowaną na TikToku jestem absolutnie w szoku. Ta aplikacja jest POMOCĄ, której potrzebujesz w szkole i przede wszystkim oferuje tak wiele rzeczy jak notatki czy streszczenia, które są BARDZO pomocne w moim przypadku.