Polska to kraj położony w centralnej części Europy, na Nizinie... Pokaż więcej
Zarejestruj się, aby zobaczyć notatkęTo nic nie kosztuje!
Dostęp do wszystkich materiałów
Popraw swoje oceny
Dołącz do milionów studentów
Knowunity AI
Przedmioty
Triangle Congruence and Similarity Theorems
Triangle Properties and Classification
Linear Equations and Graphs
Geometric Angle Relationships
Trigonometric Functions and Identities
Equation Solving Techniques
Circle Geometry Fundamentals
Division Operations and Methods
Basic Differentiation Rules
Exponent and Logarithm Properties
Pokaż wszystkie tematy
Human Organ Systems
Reproductive Cell Cycles
Biological Sciences Subdisciplines
Cellular Energy Metabolism
Autotrophic Energy Processes
Inheritance Patterns and Principles
Biomolecular Structure and Organization
Cell Cycle and Division Mechanics
Cellular Organization and Development
Biological Structural Organization
Pokaż wszystkie tematy
Chemical Sciences and Applications
Atomic Structure and Composition
Molecular Electron Structure Representation
Atomic Electron Behavior
Matter Properties and Water
Mole Concept and Calculations
Gas Laws and Behavior
Periodic Table Organization
Chemical Thermodynamics Fundamentals
Chemical Bond Types and Properties
Pokaż wszystkie tematy
European Renaissance and Enlightenment
European Cultural Movements 800-1920
American Revolution Era 1763-1797
American Civil War 1861-1865
Global Imperial Systems
Mongol and Chinese Dynasties
U.S. Presidents and World Leaders
Historical Sources and Documentation
World Wars Era and Impact
World Religious Systems
Pokaż wszystkie tematy
Classic and Contemporary Novels
Literary Character Analysis
Rhetorical Theory and Practice
Classic Literary Narratives
Reading Analysis and Interpretation
Narrative Structure and Techniques
English Language Components
Influential English-Language Authors
Basic Sentence Structure
Narrative Voice and Perspective
Pokaż wszystkie tematy
793
•
Zaktualizowano Apr 9, 2026
•
Lena Krzyzowska
@lenakrzyzowska
Polska to kraj położony w centralnej części Europy, na Nizinie... Pokaż więcej

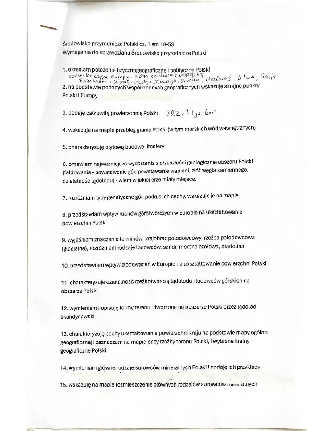
Polska leży w centralnej części Europy na Nizinie Środkowoeuropejskiej. Nasz kraj graniczy z siedmioma państwami: Niemcami, Czechami, Słowacją, Ukrainą, Białorusią, Litwą i Rosją. Całkowita powierzchnia Polski wynosi 322,7 tys. km².
Ukształtowanie terenu Polski jest bardzo zróżnicowane i związane z przeszłością geologiczną. Podczas różnych er geologicznych na obszarze naszego kraju zachodziły ważne procesy - powstawały góry w wyniku fałdowań, tworzyły się wapienie i złoża węgla kamiennego. Ogromny wpływ na dzisiejszy krajobraz miał też lądolód skandynawski, który ukształtował większość powierzchni Polski.
W Polsce możemy wyróżnić różne typy genetyczne gór oraz pasy rzeźby terenu. Szczególnie charakterystyczny jest krajobraz polodowcowy z takimi formami jak moreny czołowe, sandry czy pradoliny. Te formy powstały w wyniku działalności lądolodu i lodowców górskich.
Ciekawostka! Dzięki zlodowaceniom mamy w Polsce piękne jeziora polodowcowe, szczególnie na Mazurach i Pomorzu. Każda forma polodowcowa, którą widzisz w terenie, to ślad po olbrzymim lodowcu, który kiedyś pokrywał nasz kraj!
Polska jest bogata w surowce mineralne. Na mapie naszego kraju możemy znaleźć złoża różnych kopalin, takich jak węgiel kamienny, węgiel brunatny, rudy miedzi, siarka czy sól kamienna. Te surowce mają ogromne znaczenie dla polskiej gospodarki.

Klimat Polski określamy jako umiarkowany ciepły-przejściowy. Ta trójczłonowa nazwa doskonale oddaje charakter naszego klimatu, który łączy w sobie cechy klimatu oceanicznego i kontynentalnego. Na klimat Polski wpływa wiele czynników, takich jak położenie geograficzne, ukształtowanie terenu czy odległość od oceanów.
W Polsce możemy zaobserwować zmienność pogody w ciągu roku - mamy wyraźnie zaznaczone cztery pory roku. Lata są zazwyczaj ciepłe, a zimy chłodne, choć w ostatnich latach obserwujemy coraz łagodniejsze zimy. Klimatogramy, czyli wykresy przedstawiające dane o temperaturze i opadach, pomagają nam zrozumieć specyfikę klimatu w różnych regionach Polski.
Surowce mineralne stanowią ważny zasób naturalny naszego kraju. Mają one duże znaczenie gospodarcze - są wykorzystywane w przemyśle, energetyce czy budownictwie. Dzięki zasobom węgla Polska przez długi czas była samowystarczalna energetycznie, choć obecnie coraz większą rolę odgrywają odnawialne źródła energii.
Pamiętaj! Klimat Polski jest wyjątkowy, ponieważ mamy tu wpływy zarówno klimatu morskiego jak i kontynentalnego. To dlatego nasza pogoda bywa tak zmienna i nieprzewidywalna!
Nasz asystent AI jest specjalnie dostosowany do potrzeb uczniów. W oparciu o miliony treści, które mamy na platformie, możemy udzielać uczniom naprawdę znaczących i trafnych odpowiedzi. Ale nie chodzi tylko o odpowiedzi, towarzysz prowadzi również uczniów przez codzienne wyzwania związane z nauką, ze spersonalizowanymi planami nauki, quizami lub treściami na czacie i 100% personalizacją opartą na umiejętnościach i rozwoju uczniów.
Aplikację możesz pobrać z Google Play i Apple Store.
Tak, masz całkowicie darmowy dostęp do wszystkich notatek w aplikacji, możesz w każdej chwili rozmawiać z Ekspertami lub ich obserwować. Możesz użyć punktów, aby odblokować pewne funkcje w aplikacji, które również możesz otrzymać za darmo. Dodatkowo oferujemy usługę Knowunity Premium, która pozwala na odblokowanie większej liczby funkcji.
App Store
Google Play
Aplikacja jest bardzo prosta i dobrze przemyślana. Do tej pory znalazłem wszystko, czego szukałem i mogłem się wiele nauczyć z innych notatek! Na pewno wykorzystam aplikację do pomocy przy robieniu prac domowych! No i oczywiście bardzo pomaga też jako inspiracja do robienia swoich notatek.
Stefan S
użytkownik iOS
Ta aplikacja jest naprawdę świetna. Jest tak wiele notatek i pomocnych informacji [...]. Moim problematycznym przedmiotem jest język niemiecki, a w aplikacji jest w czym wybierać. Dzięki tej aplikacji poprawiłam swój niemiecki. Polecam ją każdemu.
Samantha Klich
użytkownik Androida
Wow, jestem w szoku. Właśnie wypróbowałam aplikację, ponieważ widziałam ją kilka razy reklamowaną na TikToku jestem absolutnie w szoku. Ta aplikacja jest POMOCĄ, której potrzebujesz w szkole i przede wszystkim oferuje tak wiele rzeczy jak notatki czy streszczenia, które są BARDZO pomocne w moim przypadku.
Anna
użytkownik iOS
Kocham tę aplikację! Pomaga mi w zadaniach domowych, motywuje mnie i polepsza mi dzień. Dzięki tej aplikacji moje oceny się poprawiły. Lepszej aplikacji nie znajdę!🩷
Patrycja
użytkowniczka iOS
Super aplikacja! Ma odpowiedzi na wszystkie zadania. Testuję ją od paru miesięcy i jest po prostu perfekcyjna.
Szymon
użytkownik Android
Super aplikacja do nauki i sprawdzania wiedzy. Można znaleźć notatki z WSZYSTKICH przedmiotów. Polecam tym, którzy celują w oceny 5 i 6 😄
Szymon
użytkownik iOS
Aplikacja jest po prostu świetna! Wystarczy, że wpiszę w pasku wyszukiwania swój temat i od razu mam wyniki. Nie muszę oglądać 10 filmów na YouTube, żeby coś zrozumieć, więc oszczędzam swój czas. Po prostu polecam!
Kuba T
użytkownik Androida
W szkole byłem bardzo kiepski z matematyki, ale dzięki tej aplikacji radzę sobie teraz lepiej. Jestem bardzo wdzięczny, że ją stworzyliście.
Kriss
użytkownik Androida
Korzystam z Knowunity od ponad roku i jest mega! Najlepsze opcje z tej apki: ⭐️ Gotowe notatki ⭐️ Spersonalizowane treści ⭐️ Dostęp do chatu GPT W WERSJI SZKOLNEJ ⭐️ Konwersacje z innymi uczniami 🤍 NAUKA WRESZCIE NIE JEST NUDNA 🤍
Gosia
użytkowniczka Android
Bardzo lubię aplikację Knowunity, ponieważ pomaga mi w nauce. Odkąd ją mam moje oceny się poprawiają :)
Sara
użytkowniczka iOS
QUIZY I FISZKI SĄ SUPER PRZYDATNE I UWIELBIAM Knowunity AI. TO JEST DOSŁOWNIE JAK CHATGPT ALE MĄDRZEJSZY!! POMÓGŁ MI NAWET Z PROBLEMAMI Z TUSZEM DO RZĘS!! A TAKŻE Z PRAWDZIWYMI PRZEDMIOTAMI! OCZYWIŚCIE 😍😁😲🤑💗✨🎀😮
Krzysztof
użytkownik Android
Bardzo fajna aplikacja. Pomaga przygotować się do sprawdzianu, kartkówki lub odpowiedzi ustnej.
Oliwia
użytkowniczka iOS
Aplikacja jest bardzo prosta i dobrze przemyślana. Do tej pory znalazłem wszystko, czego szukałem i mogłem się wiele nauczyć z innych notatek! Na pewno wykorzystam aplikację do pomocy przy robieniu prac domowych! No i oczywiście bardzo pomaga też jako inspiracja do robienia swoich notatek.
Stefan S
użytkownik iOS
Ta aplikacja jest naprawdę świetna. Jest tak wiele notatek i pomocnych informacji [...]. Moim problematycznym przedmiotem jest język niemiecki, a w aplikacji jest w czym wybierać. Dzięki tej aplikacji poprawiłam swój niemiecki. Polecam ją każdemu.
Samantha Klich
użytkownik Androida
Wow, jestem w szoku. Właśnie wypróbowałam aplikację, ponieważ widziałam ją kilka razy reklamowaną na TikToku jestem absolutnie w szoku. Ta aplikacja jest POMOCĄ, której potrzebujesz w szkole i przede wszystkim oferuje tak wiele rzeczy jak notatki czy streszczenia, które są BARDZO pomocne w moim przypadku.
Anna
użytkownik iOS
Kocham tę aplikację! Pomaga mi w zadaniach domowych, motywuje mnie i polepsza mi dzień. Dzięki tej aplikacji moje oceny się poprawiły. Lepszej aplikacji nie znajdę!🩷
Patrycja
użytkowniczka iOS
Super aplikacja! Ma odpowiedzi na wszystkie zadania. Testuję ją od paru miesięcy i jest po prostu perfekcyjna.
Szymon
użytkownik Android
Super aplikacja do nauki i sprawdzania wiedzy. Można znaleźć notatki z WSZYSTKICH przedmiotów. Polecam tym, którzy celują w oceny 5 i 6 😄
Szymon
użytkownik iOS
Aplikacja jest po prostu świetna! Wystarczy, że wpiszę w pasku wyszukiwania swój temat i od razu mam wyniki. Nie muszę oglądać 10 filmów na YouTube, żeby coś zrozumieć, więc oszczędzam swój czas. Po prostu polecam!
Kuba T
użytkownik Androida
W szkole byłem bardzo kiepski z matematyki, ale dzięki tej aplikacji radzę sobie teraz lepiej. Jestem bardzo wdzięczny, że ją stworzyliście.
Kriss
użytkownik Androida
Korzystam z Knowunity od ponad roku i jest mega! Najlepsze opcje z tej apki: ⭐️ Gotowe notatki ⭐️ Spersonalizowane treści ⭐️ Dostęp do chatu GPT W WERSJI SZKOLNEJ ⭐️ Konwersacje z innymi uczniami 🤍 NAUKA WRESZCIE NIE JEST NUDNA 🤍
Gosia
użytkowniczka Android
Bardzo lubię aplikację Knowunity, ponieważ pomaga mi w nauce. Odkąd ją mam moje oceny się poprawiają :)
Sara
użytkowniczka iOS
QUIZY I FISZKI SĄ SUPER PRZYDATNE I UWIELBIAM Knowunity AI. TO JEST DOSŁOWNIE JAK CHATGPT ALE MĄDRZEJSZY!! POMÓGŁ MI NAWET Z PROBLEMAMI Z TUSZEM DO RZĘS!! A TAKŻE Z PRAWDZIWYMI PRZEDMIOTAMI! OCZYWIŚCIE 😍😁😲🤑💗✨🎀😮
Krzysztof
użytkownik Android
Bardzo fajna aplikacja. Pomaga przygotować się do sprawdzianu, kartkówki lub odpowiedzi ustnej.
Oliwia
użytkowniczka iOS
Lena Krzyzowska
@lenakrzyzowska
Polska to kraj położony w centralnej części Europy, na Nizinie Środkowoeuropejskiej. W tym materiale poznasz najważniejsze informacje o środowisku przyrodniczym naszego kraju - od położenia geograficznego, przez budowę geologiczną, ukształtowanie terenu, po zasoby naturalne i klimat.

Dostęp do wszystkich materiałów
Popraw swoje oceny
Dołącz do milionów studentów
Polska leży w centralnej części Europy na Nizinie Środkowoeuropejskiej. Nasz kraj graniczy z siedmioma państwami: Niemcami, Czechami, Słowacją, Ukrainą, Białorusią, Litwą i Rosją. Całkowita powierzchnia Polski wynosi 322,7 tys. km².
Ukształtowanie terenu Polski jest bardzo zróżnicowane i związane z przeszłością geologiczną. Podczas różnych er geologicznych na obszarze naszego kraju zachodziły ważne procesy - powstawały góry w wyniku fałdowań, tworzyły się wapienie i złoża węgla kamiennego. Ogromny wpływ na dzisiejszy krajobraz miał też lądolód skandynawski, który ukształtował większość powierzchni Polski.
W Polsce możemy wyróżnić różne typy genetyczne gór oraz pasy rzeźby terenu. Szczególnie charakterystyczny jest krajobraz polodowcowy z takimi formami jak moreny czołowe, sandry czy pradoliny. Te formy powstały w wyniku działalności lądolodu i lodowców górskich.
Ciekawostka! Dzięki zlodowaceniom mamy w Polsce piękne jeziora polodowcowe, szczególnie na Mazurach i Pomorzu. Każda forma polodowcowa, którą widzisz w terenie, to ślad po olbrzymim lodowcu, który kiedyś pokrywał nasz kraj!
Polska jest bogata w surowce mineralne. Na mapie naszego kraju możemy znaleźć złoża różnych kopalin, takich jak węgiel kamienny, węgiel brunatny, rudy miedzi, siarka czy sól kamienna. Te surowce mają ogromne znaczenie dla polskiej gospodarki.

Dostęp do wszystkich materiałów
Popraw swoje oceny
Dołącz do milionów studentów
Klimat Polski określamy jako umiarkowany ciepły-przejściowy. Ta trójczłonowa nazwa doskonale oddaje charakter naszego klimatu, który łączy w sobie cechy klimatu oceanicznego i kontynentalnego. Na klimat Polski wpływa wiele czynników, takich jak położenie geograficzne, ukształtowanie terenu czy odległość od oceanów.
W Polsce możemy zaobserwować zmienność pogody w ciągu roku - mamy wyraźnie zaznaczone cztery pory roku. Lata są zazwyczaj ciepłe, a zimy chłodne, choć w ostatnich latach obserwujemy coraz łagodniejsze zimy. Klimatogramy, czyli wykresy przedstawiające dane o temperaturze i opadach, pomagają nam zrozumieć specyfikę klimatu w różnych regionach Polski.
Surowce mineralne stanowią ważny zasób naturalny naszego kraju. Mają one duże znaczenie gospodarcze - są wykorzystywane w przemyśle, energetyce czy budownictwie. Dzięki zasobom węgla Polska przez długi czas była samowystarczalna energetycznie, choć obecnie coraz większą rolę odgrywają odnawialne źródła energii.
Pamiętaj! Klimat Polski jest wyjątkowy, ponieważ mamy tu wpływy zarówno klimatu morskiego jak i kontynentalnego. To dlatego nasza pogoda bywa tak zmienna i nieprzewidywalna!
Nasz asystent AI jest specjalnie dostosowany do potrzeb uczniów. W oparciu o miliony treści, które mamy na platformie, możemy udzielać uczniom naprawdę znaczących i trafnych odpowiedzi. Ale nie chodzi tylko o odpowiedzi, towarzysz prowadzi również uczniów przez codzienne wyzwania związane z nauką, ze spersonalizowanymi planami nauki, quizami lub treściami na czacie i 100% personalizacją opartą na umiejętnościach i rozwoju uczniów.
Aplikację możesz pobrać z Google Play i Apple Store.
Tak, masz całkowicie darmowy dostęp do wszystkich notatek w aplikacji, możesz w każdej chwili rozmawiać z Ekspertami lub ich obserwować. Możesz użyć punktów, aby odblokować pewne funkcje w aplikacji, które również możesz otrzymać za darmo. Dodatkowo oferujemy usługę Knowunity Premium, która pozwala na odblokowanie większej liczby funkcji.
2
Inteligentne Narzędzia NOWE
Przekształć te notatki w: ✓ 50+ Pytań Testowych ✓ Interaktywne Fiszki ✓ Pełny egzamin próbny ✓ Plany Eseju
Odkryj kluczowe informacje o położeniu geograficznym Polski, w tym skrajne punkty, granice, rzeki oraz wpływ na transport i turystykę. Idealne dla uczniów i studentów geografii. Typ: podsumowanie.
Zrozum położenie i granice Polski w kontekście sąsiednich krajów oraz naturalnych granic. Ta notatka z geografii omawia skrajne punkty Polski, ich lokalizację oraz metody obliczania długości równoleżników i południków. Idealna dla uczniów przygotowujących się do egzaminów z geografii.
Szczegółowa analiza położenia geograficznego, politycznego i matematycznego Polski. Dowiedz się o granicach, skrajnych punktach oraz wpływie położenia na klimat i gospodarkę. Idealne dla uczniów klasy 7. Tematyka: geografia, granice, położenie, klimat.
Zrozumienie geograficznego położenia Polski, jej granic oraz wpływu na klimat i ukształtowanie terenu. Dowiedz się o różnicach w długości dnia, strefach czasowych oraz obszarach morskich. Idealne dla uczniów przygotowujących się do egzaminów z geografii. Typ: Podsumowanie.
Zrozum granice Polski oraz jej sąsiadów. Dowiedz się o najdalej wysuniętych punktach kraju, ich geograficznej rozciągłości oraz znaczeniu w kontekście geografii Polski. Idealne dla uczniów i studentów geografii. Typ: podsumowanie.
Zrozum położenie Polski w kontekście geograficznym i administracyjnym. Ta notatka omawia granice, powierzchnię, podziały administracyjne oraz dostęp do morza, co jest kluczowe dla handlu i transportu. Idealna dla studentów geografii i nauk społecznych.
App Store
Google Play
Aplikacja jest bardzo prosta i dobrze przemyślana. Do tej pory znalazłem wszystko, czego szukałem i mogłem się wiele nauczyć z innych notatek! Na pewno wykorzystam aplikację do pomocy przy robieniu prac domowych! No i oczywiście bardzo pomaga też jako inspiracja do robienia swoich notatek.
Stefan S
użytkownik iOS
Ta aplikacja jest naprawdę świetna. Jest tak wiele notatek i pomocnych informacji [...]. Moim problematycznym przedmiotem jest język niemiecki, a w aplikacji jest w czym wybierać. Dzięki tej aplikacji poprawiłam swój niemiecki. Polecam ją każdemu.
Samantha Klich
użytkownik Androida
Wow, jestem w szoku. Właśnie wypróbowałam aplikację, ponieważ widziałam ją kilka razy reklamowaną na TikToku jestem absolutnie w szoku. Ta aplikacja jest POMOCĄ, której potrzebujesz w szkole i przede wszystkim oferuje tak wiele rzeczy jak notatki czy streszczenia, które są BARDZO pomocne w moim przypadku.
Anna
użytkownik iOS
Kocham tę aplikację! Pomaga mi w zadaniach domowych, motywuje mnie i polepsza mi dzień. Dzięki tej aplikacji moje oceny się poprawiły. Lepszej aplikacji nie znajdę!🩷
Patrycja
użytkowniczka iOS
Super aplikacja! Ma odpowiedzi na wszystkie zadania. Testuję ją od paru miesięcy i jest po prostu perfekcyjna.
Szymon
użytkownik Android
Super aplikacja do nauki i sprawdzania wiedzy. Można znaleźć notatki z WSZYSTKICH przedmiotów. Polecam tym, którzy celują w oceny 5 i 6 😄
Szymon
użytkownik iOS
Aplikacja jest po prostu świetna! Wystarczy, że wpiszę w pasku wyszukiwania swój temat i od razu mam wyniki. Nie muszę oglądać 10 filmów na YouTube, żeby coś zrozumieć, więc oszczędzam swój czas. Po prostu polecam!
Kuba T
użytkownik Androida
W szkole byłem bardzo kiepski z matematyki, ale dzięki tej aplikacji radzę sobie teraz lepiej. Jestem bardzo wdzięczny, że ją stworzyliście.
Kriss
użytkownik Androida
Korzystam z Knowunity od ponad roku i jest mega! Najlepsze opcje z tej apki: ⭐️ Gotowe notatki ⭐️ Spersonalizowane treści ⭐️ Dostęp do chatu GPT W WERSJI SZKOLNEJ ⭐️ Konwersacje z innymi uczniami 🤍 NAUKA WRESZCIE NIE JEST NUDNA 🤍
Gosia
użytkowniczka Android
Bardzo lubię aplikację Knowunity, ponieważ pomaga mi w nauce. Odkąd ją mam moje oceny się poprawiają :)
Sara
użytkowniczka iOS
QUIZY I FISZKI SĄ SUPER PRZYDATNE I UWIELBIAM Knowunity AI. TO JEST DOSŁOWNIE JAK CHATGPT ALE MĄDRZEJSZY!! POMÓGŁ MI NAWET Z PROBLEMAMI Z TUSZEM DO RZĘS!! A TAKŻE Z PRAWDZIWYMI PRZEDMIOTAMI! OCZYWIŚCIE 😍😁😲🤑💗✨🎀😮
Krzysztof
użytkownik Android
Bardzo fajna aplikacja. Pomaga przygotować się do sprawdzianu, kartkówki lub odpowiedzi ustnej.
Oliwia
użytkowniczka iOS
Aplikacja jest bardzo prosta i dobrze przemyślana. Do tej pory znalazłem wszystko, czego szukałem i mogłem się wiele nauczyć z innych notatek! Na pewno wykorzystam aplikację do pomocy przy robieniu prac domowych! No i oczywiście bardzo pomaga też jako inspiracja do robienia swoich notatek.
Stefan S
użytkownik iOS
Ta aplikacja jest naprawdę świetna. Jest tak wiele notatek i pomocnych informacji [...]. Moim problematycznym przedmiotem jest język niemiecki, a w aplikacji jest w czym wybierać. Dzięki tej aplikacji poprawiłam swój niemiecki. Polecam ją każdemu.
Samantha Klich
użytkownik Androida
Wow, jestem w szoku. Właśnie wypróbowałam aplikację, ponieważ widziałam ją kilka razy reklamowaną na TikToku jestem absolutnie w szoku. Ta aplikacja jest POMOCĄ, której potrzebujesz w szkole i przede wszystkim oferuje tak wiele rzeczy jak notatki czy streszczenia, które są BARDZO pomocne w moim przypadku.
Anna
użytkownik iOS
Kocham tę aplikację! Pomaga mi w zadaniach domowych, motywuje mnie i polepsza mi dzień. Dzięki tej aplikacji moje oceny się poprawiły. Lepszej aplikacji nie znajdę!🩷
Patrycja
użytkowniczka iOS
Super aplikacja! Ma odpowiedzi na wszystkie zadania. Testuję ją od paru miesięcy i jest po prostu perfekcyjna.
Szymon
użytkownik Android
Super aplikacja do nauki i sprawdzania wiedzy. Można znaleźć notatki z WSZYSTKICH przedmiotów. Polecam tym, którzy celują w oceny 5 i 6 😄
Szymon
użytkownik iOS
Aplikacja jest po prostu świetna! Wystarczy, że wpiszę w pasku wyszukiwania swój temat i od razu mam wyniki. Nie muszę oglądać 10 filmów na YouTube, żeby coś zrozumieć, więc oszczędzam swój czas. Po prostu polecam!
Kuba T
użytkownik Androida
W szkole byłem bardzo kiepski z matematyki, ale dzięki tej aplikacji radzę sobie teraz lepiej. Jestem bardzo wdzięczny, że ją stworzyliście.
Kriss
użytkownik Androida
Korzystam z Knowunity od ponad roku i jest mega! Najlepsze opcje z tej apki: ⭐️ Gotowe notatki ⭐️ Spersonalizowane treści ⭐️ Dostęp do chatu GPT W WERSJI SZKOLNEJ ⭐️ Konwersacje z innymi uczniami 🤍 NAUKA WRESZCIE NIE JEST NUDNA 🤍
Gosia
użytkowniczka Android
Bardzo lubię aplikację Knowunity, ponieważ pomaga mi w nauce. Odkąd ją mam moje oceny się poprawiają :)
Sara
użytkowniczka iOS
QUIZY I FISZKI SĄ SUPER PRZYDATNE I UWIELBIAM Knowunity AI. TO JEST DOSŁOWNIE JAK CHATGPT ALE MĄDRZEJSZY!! POMÓGŁ MI NAWET Z PROBLEMAMI Z TUSZEM DO RZĘS!! A TAKŻE Z PRAWDZIWYMI PRZEDMIOTAMI! OCZYWIŚCIE 😍😁😲🤑💗✨🎀😮
Krzysztof
użytkownik Android
Bardzo fajna aplikacja. Pomaga przygotować się do sprawdzianu, kartkówki lub odpowiedzi ustnej.
Oliwia
użytkowniczka iOS