Rzeki to nie tylko strumyki wody płynące po ziemi -... Pokaż więcej
Zarejestruj się, aby zobaczyć notatkęTo nic nie kosztuje!
Dostęp do wszystkich materiałów
Popraw swoje oceny
Dołącz do milionów studentów
Knowunity AI
Przedmioty
Triangle Congruence and Similarity Theorems
Triangle Properties and Classification
Linear Equations and Graphs
Geometric Angle Relationships
Trigonometric Functions and Identities
Equation Solving Techniques
Circle Geometry Fundamentals
Division Operations and Methods
Basic Differentiation Rules
Exponent and Logarithm Properties
Pokaż wszystkie tematy
Human Organ Systems
Reproductive Cell Cycles
Biological Sciences Subdisciplines
Cellular Energy Metabolism
Autotrophic Energy Processes
Inheritance Patterns and Principles
Biomolecular Structure and Organization
Cell Cycle and Division Mechanics
Cellular Organization and Development
Biological Structural Organization
Pokaż wszystkie tematy
Chemical Sciences and Applications
Atomic Structure and Composition
Molecular Electron Structure Representation
Atomic Electron Behavior
Matter Properties and Water
Mole Concept and Calculations
Gas Laws and Behavior
Periodic Table Organization
Chemical Thermodynamics Fundamentals
Chemical Bond Types and Properties
Pokaż wszystkie tematy
European Renaissance and Enlightenment
European Cultural Movements 800-1920
American Revolution Era 1763-1797
American Civil War 1861-1865
Global Imperial Systems
Mongol and Chinese Dynasties
U.S. Presidents and World Leaders
Historical Sources and Documentation
World Wars Era and Impact
World Religious Systems
Pokaż wszystkie tematy
Classic and Contemporary Novels
Literary Character Analysis
Rhetorical Theory and Practice
Classic Literary Narratives
Reading Analysis and Interpretation
Narrative Structure and Techniques
English Language Components
Influential English-Language Authors
Basic Sentence Structure
Narrative Voice and Perspective
Pokaż wszystkie tematy
968
•
Zaktualizowano Mar 27, 2026
•
Lena <33
@lena_krzewinska1
Rzeki to nie tylko strumyki wody płynące po ziemi -... Pokaż więcej






Każda rzeka to właściwie cały system rzeczny - od małego źródełka aż po ujście do morza. Rzeka główna to ta największa, która wpływa bezpośrednio do morza, a wszystkie mniejsze rzeki (dopływy) do niej dołączają.
Dorzecze to cały obszar, z którego woda spływa do jednej rzeki. Wyobraź sobie to jak ogromny lejek - wszystko, co spadnie jako deszcz na tym terenie, w końcu trafi do tej samej rzeki.
Granicę między różnymi dorzeczami nazywamy działem wodnym. To jak niewidzialny płot w górach - kropla deszczu po jednej stronie popłynie do Wisły, a po drugiej może do Odry!
Ciekawostka: Niektóre obszary to "czarne dziury" dla wód - to obszary bezodpływowe, z których woda nigdy nie dociera do morza, tylko paruje lub wsiąka w ziemię.

Nie wszystkie rzeki płyną tak samo przez cały rok. Rzeki stałe mają szczęście - płyną non-stop, bo są w miejscach, gdzie ciągle pada więcej deszczu niż paruje wody.
Rzeki okresowe to prawdziwi sezonowcy - pojawiają się tylko w porze deszczowej, a potem znikają na kilka miesięcy. To normalne w klimatach z wyraźną porą suchą i mokrą.
Najdziwniejsze są rzeki epizodyczne - płyną tylko czasami, po sporadycznych deszczach. Resztę czasu ich koryta (zwane wadi) stoją suche jak kość. Znajdziesz je głównie na pustyniach.
Ważne: Gęstość sieci rzecznej zależy od trzech głównych czynników: klimatu, ukształtowania terenu i rodzaju skał w podłożu.

Każda rzeka ma swój ustrój rzeczny (reżim) - to jej "rozkład dnia" przez cały rok. Naukowcy obserwują, kiedy ma wezbrania (wysokie stany wody) i niżówki (niskie stany).
Ustrój deszczowy równikowy to hit Amazonki i Kongo - wysokie przepływy przez cały rok, bo tam ciągle leje jak z cebra. Ustrój podrównikowy ma już swoje kaprysy - pora sucha i deszczowa dają duże różnice w przepływach.
Ustrój monsunowy to mistrz zmienności - latem, gdy wieje monsun, rzeki jak Ganges czy Jangcy potrafią wylać z brzegów. Ustrój śródziemnomorski lubi zimę - wtedy ma najwyższe przepływy, a latem ledwo zipie.
Zapamiętaj: Monsun to nie tylko deszcz - to całkowita zmiana charakteru rzeki w ciągu roku!

Ustrój oceaniczny przypomina nasz polski klimat - wysokie opady, ale latem mniej wody przez większe parowanie. Rzeki jak Sekwana czy Tamiza znają ten rytm doskonale.
Ustrój śnieżny to specjalność Syberii - Ob, Jenisej czy Jukon mają swoją wielką chwilę wiosną, gdy topi się gruba pokrywa śnieżna. Latem jeszcze płyną mocno, ale jesienią i zimą prawie zasypają.
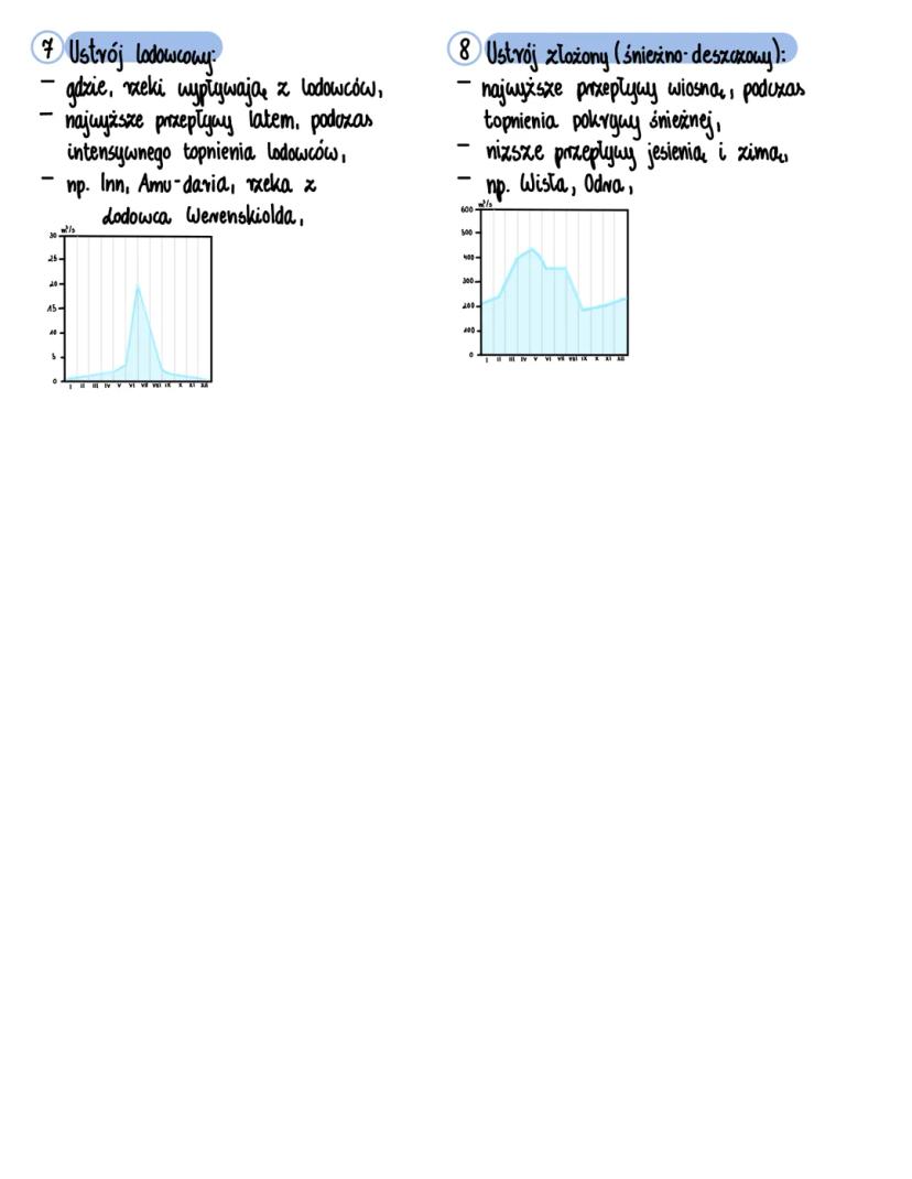
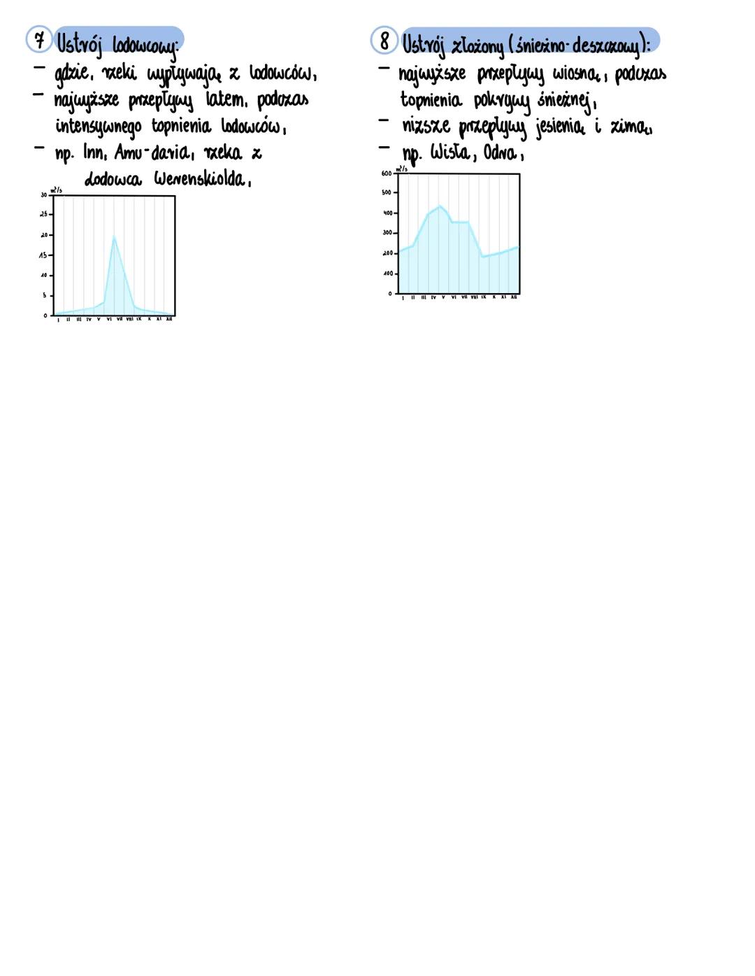
Ustrój lodowcowy to wysokogórska ekstremalna jazda - najwyższe przepływy latem, gdy słońce topi lodowce. Ustrój złożony to nasz rodzimi - Wisła i Odra mają wiosenne wezbrania ze śniegu, a potem spokojniejsze przepływy.
Protip: Znajomość ustroju rzeki to klucz do przewidywania powodzi i planowania gospodarki wodnej!

Nasz asystent AI jest specjalnie dostosowany do potrzeb uczniów. W oparciu o miliony treści, które mamy na platformie, możemy udzielać uczniom naprawdę znaczących i trafnych odpowiedzi. Ale nie chodzi tylko o odpowiedzi, towarzysz prowadzi również uczniów przez codzienne wyzwania związane z nauką, ze spersonalizowanymi planami nauki, quizami lub treściami na czacie i 100% personalizacją opartą na umiejętnościach i rozwoju uczniów.
Aplikację możesz pobrać z Google Play i Apple Store.
Tak, masz całkowicie darmowy dostęp do wszystkich notatek w aplikacji, możesz w każdej chwili rozmawiać z Ekspertami lub ich obserwować. Możesz użyć punktów, aby odblokować pewne funkcje w aplikacji, które również możesz otrzymać za darmo. Dodatkowo oferujemy usługę Knowunity Premium, która pozwala na odblokowanie większej liczby funkcji.
App Store
Google Play
Aplikacja jest bardzo prosta i dobrze przemyślana. Do tej pory znalazłem wszystko, czego szukałem i mogłem się wiele nauczyć z innych notatek! Na pewno wykorzystam aplikację do pomocy przy robieniu prac domowych! No i oczywiście bardzo pomaga też jako inspiracja do robienia swoich notatek.
Stefan S
użytkownik iOS
Ta aplikacja jest naprawdę świetna. Jest tak wiele notatek i pomocnych informacji [...]. Moim problematycznym przedmiotem jest język niemiecki, a w aplikacji jest w czym wybierać. Dzięki tej aplikacji poprawiłam swój niemiecki. Polecam ją każdemu.
Samantha Klich
użytkownik Androida
Wow, jestem w szoku. Właśnie wypróbowałam aplikację, ponieważ widziałam ją kilka razy reklamowaną na TikToku jestem absolutnie w szoku. Ta aplikacja jest POMOCĄ, której potrzebujesz w szkole i przede wszystkim oferuje tak wiele rzeczy jak notatki czy streszczenia, które są BARDZO pomocne w moim przypadku.
Anna
użytkownik iOS
Kocham tę aplikację! Pomaga mi w zadaniach domowych, motywuje mnie i polepsza mi dzień. Dzięki tej aplikacji moje oceny się poprawiły. Lepszej aplikacji nie znajdę!🩷
Patrycja
użytkowniczka iOS
Super aplikacja! Ma odpowiedzi na wszystkie zadania. Testuję ją od paru miesięcy i jest po prostu perfekcyjna.
Szymon
użytkownik Android
Super aplikacja do nauki i sprawdzania wiedzy. Można znaleźć notatki z WSZYSTKICH przedmiotów. Polecam tym, którzy celują w oceny 5 i 6 😄
Szymon
użytkownik iOS
Aplikacja jest po prostu świetna! Wystarczy, że wpiszę w pasku wyszukiwania swój temat i od razu mam wyniki. Nie muszę oglądać 10 filmów na YouTube, żeby coś zrozumieć, więc oszczędzam swój czas. Po prostu polecam!
Kuba T
użytkownik Androida
W szkole byłem bardzo kiepski z matematyki, ale dzięki tej aplikacji radzę sobie teraz lepiej. Jestem bardzo wdzięczny, że ją stworzyliście.
Kriss
użytkownik Androida
Korzystam z Knowunity od ponad roku i jest mega! Najlepsze opcje z tej apki: ⭐️ Gotowe notatki ⭐️ Spersonalizowane treści ⭐️ Dostęp do chatu GPT W WERSJI SZKOLNEJ ⭐️ Konwersacje z innymi uczniami 🤍 NAUKA WRESZCIE NIE JEST NUDNA 🤍
Gosia
użytkowniczka Android
Bardzo lubię aplikację Knowunity, ponieważ pomaga mi w nauce. Odkąd ją mam moje oceny się poprawiają :)
Sara
użytkowniczka iOS
QUIZY I FISZKI SĄ SUPER PRZYDATNE I UWIELBIAM Knowunity AI. TO JEST DOSŁOWNIE JAK CHATGPT ALE MĄDRZEJSZY!! POMÓGŁ MI NAWET Z PROBLEMAMI Z TUSZEM DO RZĘS!! A TAKŻE Z PRAWDZIWYMI PRZEDMIOTAMI! OCZYWIŚCIE 😍😁😲🤑💗✨🎀😮
Krzysztof
użytkownik Android
Bardzo fajna aplikacja. Pomaga przygotować się do sprawdzianu, kartkówki lub odpowiedzi ustnej.
Oliwia
użytkowniczka iOS
Aplikacja jest bardzo prosta i dobrze przemyślana. Do tej pory znalazłem wszystko, czego szukałem i mogłem się wiele nauczyć z innych notatek! Na pewno wykorzystam aplikację do pomocy przy robieniu prac domowych! No i oczywiście bardzo pomaga też jako inspiracja do robienia swoich notatek.
Stefan S
użytkownik iOS
Ta aplikacja jest naprawdę świetna. Jest tak wiele notatek i pomocnych informacji [...]. Moim problematycznym przedmiotem jest język niemiecki, a w aplikacji jest w czym wybierać. Dzięki tej aplikacji poprawiłam swój niemiecki. Polecam ją każdemu.
Samantha Klich
użytkownik Androida
Wow, jestem w szoku. Właśnie wypróbowałam aplikację, ponieważ widziałam ją kilka razy reklamowaną na TikToku jestem absolutnie w szoku. Ta aplikacja jest POMOCĄ, której potrzebujesz w szkole i przede wszystkim oferuje tak wiele rzeczy jak notatki czy streszczenia, które są BARDZO pomocne w moim przypadku.
Anna
użytkownik iOS
Kocham tę aplikację! Pomaga mi w zadaniach domowych, motywuje mnie i polepsza mi dzień. Dzięki tej aplikacji moje oceny się poprawiły. Lepszej aplikacji nie znajdę!🩷
Patrycja
użytkowniczka iOS
Super aplikacja! Ma odpowiedzi na wszystkie zadania. Testuję ją od paru miesięcy i jest po prostu perfekcyjna.
Szymon
użytkownik Android
Super aplikacja do nauki i sprawdzania wiedzy. Można znaleźć notatki z WSZYSTKICH przedmiotów. Polecam tym, którzy celują w oceny 5 i 6 😄
Szymon
użytkownik iOS
Aplikacja jest po prostu świetna! Wystarczy, że wpiszę w pasku wyszukiwania swój temat i od razu mam wyniki. Nie muszę oglądać 10 filmów na YouTube, żeby coś zrozumieć, więc oszczędzam swój czas. Po prostu polecam!
Kuba T
użytkownik Androida
W szkole byłem bardzo kiepski z matematyki, ale dzięki tej aplikacji radzę sobie teraz lepiej. Jestem bardzo wdzięczny, że ją stworzyliście.
Kriss
użytkownik Androida
Korzystam z Knowunity od ponad roku i jest mega! Najlepsze opcje z tej apki: ⭐️ Gotowe notatki ⭐️ Spersonalizowane treści ⭐️ Dostęp do chatu GPT W WERSJI SZKOLNEJ ⭐️ Konwersacje z innymi uczniami 🤍 NAUKA WRESZCIE NIE JEST NUDNA 🤍
Gosia
użytkowniczka Android
Bardzo lubię aplikację Knowunity, ponieważ pomaga mi w nauce. Odkąd ją mam moje oceny się poprawiają :)
Sara
użytkowniczka iOS
QUIZY I FISZKI SĄ SUPER PRZYDATNE I UWIELBIAM Knowunity AI. TO JEST DOSŁOWNIE JAK CHATGPT ALE MĄDRZEJSZY!! POMÓGŁ MI NAWET Z PROBLEMAMI Z TUSZEM DO RZĘS!! A TAKŻE Z PRAWDZIWYMI PRZEDMIOTAMI! OCZYWIŚCIE 😍😁😲🤑💗✨🎀😮
Krzysztof
użytkownik Android
Bardzo fajna aplikacja. Pomaga przygotować się do sprawdzianu, kartkówki lub odpowiedzi ustnej.
Oliwia
użytkowniczka iOS
Lena <33
@lena_krzewinska1
Rzeki to nie tylko strumyki wody płynące po ziemi - to skomplikowane systemy, które kształtują naszą planetę! Każda rzeka ma swój unikalny "charakter" zależny od klimatu, w którym płynie, i sposobu, w jaki jest zasilana wodą.

Dostęp do wszystkich materiałów
Popraw swoje oceny
Dołącz do milionów studentów
Każda rzeka to właściwie cały system rzeczny - od małego źródełka aż po ujście do morza. Rzeka główna to ta największa, która wpływa bezpośrednio do morza, a wszystkie mniejsze rzeki (dopływy) do niej dołączają.
Dorzecze to cały obszar, z którego woda spływa do jednej rzeki. Wyobraź sobie to jak ogromny lejek - wszystko, co spadnie jako deszcz na tym terenie, w końcu trafi do tej samej rzeki.
Granicę między różnymi dorzeczami nazywamy działem wodnym. To jak niewidzialny płot w górach - kropla deszczu po jednej stronie popłynie do Wisły, a po drugiej może do Odry!
Ciekawostka: Niektóre obszary to "czarne dziury" dla wód - to obszary bezodpływowe, z których woda nigdy nie dociera do morza, tylko paruje lub wsiąka w ziemię.

Dostęp do wszystkich materiałów
Popraw swoje oceny
Dołącz do milionów studentów
Nie wszystkie rzeki płyną tak samo przez cały rok. Rzeki stałe mają szczęście - płyną non-stop, bo są w miejscach, gdzie ciągle pada więcej deszczu niż paruje wody.
Rzeki okresowe to prawdziwi sezonowcy - pojawiają się tylko w porze deszczowej, a potem znikają na kilka miesięcy. To normalne w klimatach z wyraźną porą suchą i mokrą.
Najdziwniejsze są rzeki epizodyczne - płyną tylko czasami, po sporadycznych deszczach. Resztę czasu ich koryta (zwane wadi) stoją suche jak kość. Znajdziesz je głównie na pustyniach.
Ważne: Gęstość sieci rzecznej zależy od trzech głównych czynników: klimatu, ukształtowania terenu i rodzaju skał w podłożu.

Dostęp do wszystkich materiałów
Popraw swoje oceny
Dołącz do milionów studentów
Każda rzeka ma swój ustrój rzeczny (reżim) - to jej "rozkład dnia" przez cały rok. Naukowcy obserwują, kiedy ma wezbrania (wysokie stany wody) i niżówki (niskie stany).
Ustrój deszczowy równikowy to hit Amazonki i Kongo - wysokie przepływy przez cały rok, bo tam ciągle leje jak z cebra. Ustrój podrównikowy ma już swoje kaprysy - pora sucha i deszczowa dają duże różnice w przepływach.
Ustrój monsunowy to mistrz zmienności - latem, gdy wieje monsun, rzeki jak Ganges czy Jangcy potrafią wylać z brzegów. Ustrój śródziemnomorski lubi zimę - wtedy ma najwyższe przepływy, a latem ledwo zipie.
Zapamiętaj: Monsun to nie tylko deszcz - to całkowita zmiana charakteru rzeki w ciągu roku!

Dostęp do wszystkich materiałów
Popraw swoje oceny
Dołącz do milionów studentów
Ustrój oceaniczny przypomina nasz polski klimat - wysokie opady, ale latem mniej wody przez większe parowanie. Rzeki jak Sekwana czy Tamiza znają ten rytm doskonale.
Ustrój śnieżny to specjalność Syberii - Ob, Jenisej czy Jukon mają swoją wielką chwilę wiosną, gdy topi się gruba pokrywa śnieżna. Latem jeszcze płyną mocno, ale jesienią i zimą prawie zasypają.
Ustrój lodowcowy to wysokogórska ekstremalna jazda - najwyższe przepływy latem, gdy słońce topi lodowce. Ustrój złożony to nasz rodzimi - Wisła i Odra mają wiosenne wezbrania ze śniegu, a potem spokojniejsze przepływy.
Protip: Znajomość ustroju rzeki to klucz do przewidywania powodzi i planowania gospodarki wodnej!

Dostęp do wszystkich materiałów
Popraw swoje oceny
Dołącz do milionów studentów
Nasz asystent AI jest specjalnie dostosowany do potrzeb uczniów. W oparciu o miliony treści, które mamy na platformie, możemy udzielać uczniom naprawdę znaczących i trafnych odpowiedzi. Ale nie chodzi tylko o odpowiedzi, towarzysz prowadzi również uczniów przez codzienne wyzwania związane z nauką, ze spersonalizowanymi planami nauki, quizami lub treściami na czacie i 100% personalizacją opartą na umiejętnościach i rozwoju uczniów.
Aplikację możesz pobrać z Google Play i Apple Store.
Tak, masz całkowicie darmowy dostęp do wszystkich notatek w aplikacji, możesz w każdej chwili rozmawiać z Ekspertami lub ich obserwować. Możesz użyć punktów, aby odblokować pewne funkcje w aplikacji, które również możesz otrzymać za darmo. Dodatkowo oferujemy usługę Knowunity Premium, która pozwala na odblokowanie większej liczby funkcji.
19
Inteligentne Narzędzia NOWE
Przekształć te notatki w: ✓ 50+ Pytań Testowych ✓ Interaktywne Fiszki ✓ Pełny egzamin próbny ✓ Plany Eseju
Zrozumienie ustroju rzek w Polsce, w tym systemów rzecznych, dorzeczy oraz przyczyn różnicowania się sieci rzecznej. Dowiedz się o rodzajach zasilania rzek, ich przepływach oraz wpływie warunków klimatycznych i geologicznych na stan wód. Idealne dla studentów geografii i ekologii. Typ: podsumowanie.
Zrozumienie rzeźbotwórczej działalności rzek, w tym erozji, transportu i akumulacji materiału skalnego. Analiza odcinków rzeki: źródło, odcinek górny, środkowy i dolny oraz typy ujść rzecznych. Idealne materiały do nauki przed sprawdzianem z geografii.
Odkryj kluczowe aspekty dotyczące rzek i ich dorzeczy, w tym różnorodność sieci rzecznej, reżimy rzek oraz ustroje rzeczne. Materiał obejmuje definicje, przyczyny zróżnicowania oraz szczegółowe informacje o przepływach i stanach wody. Idealne dla uczniów przygotowujących się do egzaminów z geografii.
Zrozumienie procesów erozji, formowania dolin rzecznych oraz typów ujść rzek. Notatka omawia erozję wsteczną, meandry, delty i estuaria, a także wpływ zmian bazy erozyjnej na kształt rzek. Idealna do nauki przed egzaminem z geografii.
Zrozumienie procesów erozyjnych i akumulacyjnych rzek, w tym tworzenia estuarium, delty oraz teras rzecznych. Materiał omawia wpływ spadku rzeki, przepływu wody oraz warunków klimatycznych na kształtowanie dolin rzecznych. Idealne dla studentów geologii i geografii. Typ: wykład.
Zgłębiaj procesy wietrzenia oraz działalność lodowców i rzek w kształtowaniu krajobrazu. Dowiedz się o erozji, akumulacji, procesach krasowych oraz ich wpływie na formowanie dolin i moren. Idealne dla studentów geologii i geografii. Typ: Podsumowanie.
App Store
Google Play
Aplikacja jest bardzo prosta i dobrze przemyślana. Do tej pory znalazłem wszystko, czego szukałem i mogłem się wiele nauczyć z innych notatek! Na pewno wykorzystam aplikację do pomocy przy robieniu prac domowych! No i oczywiście bardzo pomaga też jako inspiracja do robienia swoich notatek.
Stefan S
użytkownik iOS
Ta aplikacja jest naprawdę świetna. Jest tak wiele notatek i pomocnych informacji [...]. Moim problematycznym przedmiotem jest język niemiecki, a w aplikacji jest w czym wybierać. Dzięki tej aplikacji poprawiłam swój niemiecki. Polecam ją każdemu.
Samantha Klich
użytkownik Androida
Wow, jestem w szoku. Właśnie wypróbowałam aplikację, ponieważ widziałam ją kilka razy reklamowaną na TikToku jestem absolutnie w szoku. Ta aplikacja jest POMOCĄ, której potrzebujesz w szkole i przede wszystkim oferuje tak wiele rzeczy jak notatki czy streszczenia, które są BARDZO pomocne w moim przypadku.
Anna
użytkownik iOS
Kocham tę aplikację! Pomaga mi w zadaniach domowych, motywuje mnie i polepsza mi dzień. Dzięki tej aplikacji moje oceny się poprawiły. Lepszej aplikacji nie znajdę!🩷
Patrycja
użytkowniczka iOS
Super aplikacja! Ma odpowiedzi na wszystkie zadania. Testuję ją od paru miesięcy i jest po prostu perfekcyjna.
Szymon
użytkownik Android
Super aplikacja do nauki i sprawdzania wiedzy. Można znaleźć notatki z WSZYSTKICH przedmiotów. Polecam tym, którzy celują w oceny 5 i 6 😄
Szymon
użytkownik iOS
Aplikacja jest po prostu świetna! Wystarczy, że wpiszę w pasku wyszukiwania swój temat i od razu mam wyniki. Nie muszę oglądać 10 filmów na YouTube, żeby coś zrozumieć, więc oszczędzam swój czas. Po prostu polecam!
Kuba T
użytkownik Androida
W szkole byłem bardzo kiepski z matematyki, ale dzięki tej aplikacji radzę sobie teraz lepiej. Jestem bardzo wdzięczny, że ją stworzyliście.
Kriss
użytkownik Androida
Korzystam z Knowunity od ponad roku i jest mega! Najlepsze opcje z tej apki: ⭐️ Gotowe notatki ⭐️ Spersonalizowane treści ⭐️ Dostęp do chatu GPT W WERSJI SZKOLNEJ ⭐️ Konwersacje z innymi uczniami 🤍 NAUKA WRESZCIE NIE JEST NUDNA 🤍
Gosia
użytkowniczka Android
Bardzo lubię aplikację Knowunity, ponieważ pomaga mi w nauce. Odkąd ją mam moje oceny się poprawiają :)
Sara
użytkowniczka iOS
QUIZY I FISZKI SĄ SUPER PRZYDATNE I UWIELBIAM Knowunity AI. TO JEST DOSŁOWNIE JAK CHATGPT ALE MĄDRZEJSZY!! POMÓGŁ MI NAWET Z PROBLEMAMI Z TUSZEM DO RZĘS!! A TAKŻE Z PRAWDZIWYMI PRZEDMIOTAMI! OCZYWIŚCIE 😍😁😲🤑💗✨🎀😮
Krzysztof
użytkownik Android
Bardzo fajna aplikacja. Pomaga przygotować się do sprawdzianu, kartkówki lub odpowiedzi ustnej.
Oliwia
użytkowniczka iOS
Aplikacja jest bardzo prosta i dobrze przemyślana. Do tej pory znalazłem wszystko, czego szukałem i mogłem się wiele nauczyć z innych notatek! Na pewno wykorzystam aplikację do pomocy przy robieniu prac domowych! No i oczywiście bardzo pomaga też jako inspiracja do robienia swoich notatek.
Stefan S
użytkownik iOS
Ta aplikacja jest naprawdę świetna. Jest tak wiele notatek i pomocnych informacji [...]. Moim problematycznym przedmiotem jest język niemiecki, a w aplikacji jest w czym wybierać. Dzięki tej aplikacji poprawiłam swój niemiecki. Polecam ją każdemu.
Samantha Klich
użytkownik Androida
Wow, jestem w szoku. Właśnie wypróbowałam aplikację, ponieważ widziałam ją kilka razy reklamowaną na TikToku jestem absolutnie w szoku. Ta aplikacja jest POMOCĄ, której potrzebujesz w szkole i przede wszystkim oferuje tak wiele rzeczy jak notatki czy streszczenia, które są BARDZO pomocne w moim przypadku.
Anna
użytkownik iOS
Kocham tę aplikację! Pomaga mi w zadaniach domowych, motywuje mnie i polepsza mi dzień. Dzięki tej aplikacji moje oceny się poprawiły. Lepszej aplikacji nie znajdę!🩷
Patrycja
użytkowniczka iOS
Super aplikacja! Ma odpowiedzi na wszystkie zadania. Testuję ją od paru miesięcy i jest po prostu perfekcyjna.
Szymon
użytkownik Android
Super aplikacja do nauki i sprawdzania wiedzy. Można znaleźć notatki z WSZYSTKICH przedmiotów. Polecam tym, którzy celują w oceny 5 i 6 😄
Szymon
użytkownik iOS
Aplikacja jest po prostu świetna! Wystarczy, że wpiszę w pasku wyszukiwania swój temat i od razu mam wyniki. Nie muszę oglądać 10 filmów na YouTube, żeby coś zrozumieć, więc oszczędzam swój czas. Po prostu polecam!
Kuba T
użytkownik Androida
W szkole byłem bardzo kiepski z matematyki, ale dzięki tej aplikacji radzę sobie teraz lepiej. Jestem bardzo wdzięczny, że ją stworzyliście.
Kriss
użytkownik Androida
Korzystam z Knowunity od ponad roku i jest mega! Najlepsze opcje z tej apki: ⭐️ Gotowe notatki ⭐️ Spersonalizowane treści ⭐️ Dostęp do chatu GPT W WERSJI SZKOLNEJ ⭐️ Konwersacje z innymi uczniami 🤍 NAUKA WRESZCIE NIE JEST NUDNA 🤍
Gosia
użytkowniczka Android
Bardzo lubię aplikację Knowunity, ponieważ pomaga mi w nauce. Odkąd ją mam moje oceny się poprawiają :)
Sara
użytkowniczka iOS
QUIZY I FISZKI SĄ SUPER PRZYDATNE I UWIELBIAM Knowunity AI. TO JEST DOSŁOWNIE JAK CHATGPT ALE MĄDRZEJSZY!! POMÓGŁ MI NAWET Z PROBLEMAMI Z TUSZEM DO RZĘS!! A TAKŻE Z PRAWDZIWYMI PRZEDMIOTAMI! OCZYWIŚCIE 😍😁😲🤑💗✨🎀😮
Krzysztof
użytkownik Android
Bardzo fajna aplikacja. Pomaga przygotować się do sprawdzianu, kartkówki lub odpowiedzi ustnej.
Oliwia
użytkowniczka iOS