"Chłopi" Władysława Reymonta to nie tylko słynna powieść nagrodzona Noblem... Pokaż więcej
Analiza i Streszczenie „Chłopi” Władysława Reymonta

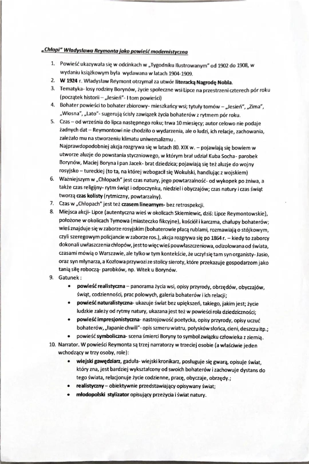
Podstawowe informacje o "Chłopach"
"Chłopi" to powieść, która zmieniła sposób patrzenia na polską wieś. Reymont publikował ją w odcinkach od 1902 do 1908 roku w "Tygodniku Ilustrowanym", a za ten utwór dostał literacką Nagrodę Nobla w 1924 roku.
Akcja rozgrywa się prawdopodobnie w latach 80. XIX wieku w autentycznej wsi Lipce (dziś Lipce Reymontowskie koło Skierniewic). Bohaterem nie jest jedna osoba, ale cała społeczność wiejska - mieszkańcy wsi, których życie toczy się w rytmie przyrody.
Czas w powieści ma szczególny charakter. To nie są konkretne daty, ale czas natury - od jesiennych wykopek po letnie żniwa. Reymont celowo unikał podawania dat, bo zależało mu na pokazaniu uniwersalnych ludzkich doświadczeń, a nie konkretnych wydarzeń historycznych.
Ciekawostka: Tytuły tomów ("Jesień", "Zima", "Wiosna", "Lato") nie są przypadkowe - pokazują, jak życie bohaterów jest nierozerwalnie związane z rytmem pór roku.
Gatunek powieści to mieszanka różnych nurtów: realizmu (dokładne opisy życia wsi), naturalizmu (świat bez upiększeń), impresjonizmu (nastrojowe opisy przyrody) i symbolizmu (np. śmierć Boryny jako symbol związku człowieka z ziemią).

Struktura i znaczenie "Chłopów"
Kompozycja powieści opiera się na czterech porządkach, które przenikają się nawzajem. Najważniejszy to cykl przyrodniczy - od wykopek jesienią, przez zimowe darcie pierza, po wiosenny siew i letnie żniwa. Równie istotny jest porządek religijno-obrzędowy ze świętami i tradycjami.
Narrator w "Chłopach" to postać wyjątkowa - to jakby trzy osoby w jednej. Czasem występuje jako wiejski gawędziarz mówiący gwarą, czasem jako obiektywny obserwator, a czasem jako młodopolski poeta opisujący naturę i uczucia bohaterów.
"Chłopi" to prawdziwa epopeja polskiej wsi. Powieść pokazuje panoramiczny obraz życia chłopskiego w momencie przełomowym - stary świat odchodzi, a budzi się świadomość społeczna i narodowa prostych ludzi. To historia zwykłych osób, które nagle stają się ważne.
Pamiętaj: Reymont stworzył nie tylko opowieść o konkretnych ludziach, ale uniwersalny obraz związku człowieka z ziemią i naturą.
Bogactwo opisów przyrody i obyczajów czyni z "Chłopów" prawdziwą skarbnicę wiedzy o polskiej kulturze ludowej. Każdy szczegół - od sposobu pracy w polu po obchodzenie świąt - został opisany z niezwykłą precyzją i poetyckością.
Myśleliśmy, że nigdy nie zapytasz...
Czym jest Towarzysz AI z Knowunity?
Nasz asystent AI jest specjalnie dostosowany do potrzeb uczniów. W oparciu o miliony treści, które mamy na platformie, możemy udzielać uczniom naprawdę znaczących i trafnych odpowiedzi. Ale nie chodzi tylko o odpowiedzi, towarzysz prowadzi również uczniów przez codzienne wyzwania związane z nauką, ze spersonalizowanymi planami nauki, quizami lub treściami na czacie i 100% personalizacją opartą na umiejętnościach i rozwoju uczniów.
Gdzie mogę pobrać aplikację Knowunity?
Aplikację możesz pobrać z Google Play i Apple Store.
Czy aplikacja Knowunity naprawdę jest darmowa?
Tak, masz całkowicie darmowy dostęp do wszystkich notatek w aplikacji, możesz w każdej chwili rozmawiać z Ekspertami lub ich obserwować. Możesz użyć punktów, aby odblokować pewne funkcje w aplikacji, które również możesz otrzymać za darmo. Dodatkowo oferujemy usługę Knowunity Premium, która pozwala na odblokowanie większej liczby funkcji.
Podobne notatki
Najpopularniejsze notatki: Chłopi
9Młoda Polska: Kluczowe Tematy
Odkryj istotne zagadnienia epoki Młodej Polski, w tym wpływ romantyzmu, symbolizmu oraz kluczowe dzieła literackie. Analiza tematów takich jak młodość, społeczeństwo, oraz relacje między chłopami a inteligencją. Idealne dla studentów literatury i kultury. Typ: podsumowanie.
Chłopi: Kluczowe Motywy i Wydarzenia
Zanurz się w analizę powieści 'Chłopi' Władysława Stanisława Reymonta. Odkryj kluczowe motywy literackie, głównych bohaterów oraz szczegółowy plan wydarzeń. Idealna notatka dla uczniów przygotowujących się do lekcji lub egzaminów. Zawiera informacje o gatunku, czasie i miejscu akcji.
Charakterystyka Bohaterów Chłopów
Analiza głównych postaci powieści 'Chłopi' Władysława Reymonta, w tym Macieja Boryny, Antka Boryny i Jagny Paczesiównej. Zawiera omówienie ich cech, konfliktów oraz roli w wiejskiej społeczności. Idealne dla uczniów przygotowujących się do lekcji lub egzaminów z literatury polskiej.
Chłopi: Tom I - Jesień
Szczegółowe opracowanie pierwszego tomu 'Chłopów' Władysława Reymonta, koncentrujące się na problematyce społecznej, ekonomicznej oraz konfliktach pokoleń w wiejskim życiu. Analiza postaci, motywów i kluczowych wydarzeń, które kształtują losy mieszkańców Lipiec. Idealne dla studentów literatury i miłośników klasyki.
Chłopi: Tom 1 Analiza
Szczegółowa analiza pierwszego tomu 'Chłopów' Władysława Reymonta. Obejmuje genezę, gatunek, czas i miejsce akcji, charakterystykę bohaterów oraz kluczowe problemy. Idealne dla uczniów przygotowujących się do egzaminów. Zawiera pytania i odpowiedzi dotyczące treści.
Epopeja Chłopów Reymonta
Odkryj głębię 'Chłopów' Władysława Reymonta, epickiej powieści ukazującej życie polskiej wsi na przełomie XIX i XX wieku. Analiza postaci, geneza, tematyka narodowa oraz socjologiczne studium kultury chłopskiej. Idealne dla studentów literatury i kultury polskiej. Typ: analiza literacka.
Chłopi: Kluczowe Motywy
Odkryj główne motywy i bohaterów powieści 'Chłopi' Władysława Reymonta. Analiza relacji rodzinnych, konfliktów pokoleń oraz znaczenia tradycji w życiu mieszkańców Lipiec. Idealne dla studentów literatury i kultury polskiej.
Motywy w 'Chłopach' Reymonta
Analiza kluczowych motywów w pierwszej części powieści 'Chłopi' Władysława Reymonta. Obejmuje motywy jesieni, miłości, śmierci, przyrody oraz hierarchii społecznej. Idealne dla uczniów przygotowujących się do matury. Zawiera szczegółowe opisy postaci i kontekstu historycznego.
Chłopi: Tematy i Motywy
Analiza pierwszego tomu 'Chłopów' Władysława Reymonta, obejmująca kluczowe tematy takie jak praca, miłość i śmierć, a także wpływ przyrody na życie mieszkańców fikcyjnej wsi Lipce. Zawiera omówienie postaci, obyczajów oraz konfliktów społecznych. Idealne dla studentów literatury i kultury polskiej.
Najpopularniejsze notatki z Język polski
9Przedwiośnie: Analiza Tematów
Zanurz się w analizę powieści 'Przedwiośnie' Stefana Żeromskiego. Odkryj kluczowe motywy, takie jak dojrzewanie, rewolucja i podróż, oraz ich znaczenie w kontekście niepodległej Polski. Notatka zawiera szczegółowe omówienie bohaterów, narracji oraz symboliki, co czyni ją idealnym materiałem do nauki i przygotowania do egzaminów.
Analiza Lalki Prusa
Szczegółowa analiza powieści 'Lalka' Bolesława Prusa, obejmująca kompozycję, problematykę, głównych bohaterów oraz kontekst społeczny Warszawy lat 70. i 80. XIX wieku. Zawiera omówienie miłości Wokulskiego do Izabeli Łęckiej, różnorodności narracji oraz otwartości zakończenia. Idealna dla studentów literatury i miłośników polskiej prozy.
Analiza 'Lalki' Prusa
Szczegółowa analiza powieści 'Lalka' Bolesława Prusa, obejmująca gatunek, czas i miejsce akcji, kluczowych bohaterów, oraz motywy literackie. Zawiera omówienie postaci Stanisława Wokulskiego jako romantyka i pozytywisty oraz realistyczny obraz Warszawy i Paryża. Idealne dla studentów literatury polskiej.
Wesele: Analiza Symboli
Zanurz się w głęboką analizę dramatu 'Wesele' Stanisława Wyspiańskiego. Odkryj kluczowe symbole, takie jak chochoł i złoty róg, oraz ich znaczenie w kontekście polskiego społeczeństwa przełomu XIX i XX wieku. Notatka zawiera omówienie genezy, kompozycji, tematów oraz portretu społecznego, co czyni ją idealnym materiałem do nauki i przygotowań do egzaminów.
Przedwiośnie: Kluczowe Motywy
Analiza powieści 'Przedwiośnie' Stefana Żeromskiego, obejmująca gatunek, czas i miejsce akcji, głównych bohaterów oraz szczegółowy plan wydarzeń. Zawiera omówienie kluczowych motywów literackich, takich jak patriotyzm, rewolucja, miłość i przemiana Cezarego Baryki. Idealne dla studentów przygotowujących się do egzaminów.
Makbet: Analiza Tragedii Szekspira
Odkryj kluczowe cechy dramatu 'Makbet' Williama Szekspira, w tym złamanie zasady decorum, psychologię postaci oraz tematykę zbrodni i ambicji. Zrozum, jak Szekspir przekształca klasyczną tragedię, wprowadzając elementy fantastyki i psychologii. Idealne dla uczniów i studentów literatury. Typ: analiza literacka.
Młoda Polska: Kluczowe Tematy
Odkryj istotne cechy i motywy epoki Młodej Polski, w tym dekadentyzm, sztukę dla sztuki oraz wpływ filozofii Nietzschego i Schopenhauera. Analiza najważniejszych twórców, ich dzieł oraz typów bohaterów. Idealne dla studentów literatury i kultury polskiej.
Wesele: Analiza Społeczeństwa
Zanurz się w głęboką analizę dramatu 'Wesele' Stanisława Wyspiańskiego, który ukazuje podziały między inteligencją a chłopstwem w Polsce na początku XX wieku. Odkryj symbole, narodowe mity oraz kluczowe rozmowy, które ilustrują społeczne napięcia i brak zrozumienia. Idealne dla studentów literatury i kultury polskiej.
Mity Narodowe w 'Weselu'
Analiza symboliki i mitów narodowych w dramacie Stanisława Wyspiańskiego 'Wesele'. Odkryj, jak postacie i symbole odzwierciedlają społeczne napięcia i dążenia Polaków na początku XX wieku. Materiał zawiera omówienie głównych tematów, realistycznych bohaterów oraz kontekstu historycznego. Idealne dla studentów literatury i kultury polskiej.
Najpopularniejsze notatki
9Przedwiośnie: Analiza Tematów
Zanurz się w analizę powieści 'Przedwiośnie' Stefana Żeromskiego. Odkryj kluczowe motywy, takie jak dojrzewanie, rewolucja i podróż, oraz ich znaczenie w kontekście niepodległej Polski. Notatka zawiera szczegółowe omówienie bohaterów, narracji oraz symboliki, co czyni ją idealnym materiałem do nauki i przygotowania do egzaminów.
Analiza Lalki Prusa
Szczegółowa analiza powieści 'Lalka' Bolesława Prusa, obejmująca kompozycję, problematykę, głównych bohaterów oraz kontekst społeczny Warszawy lat 70. i 80. XIX wieku. Zawiera omówienie miłości Wokulskiego do Izabeli Łęckiej, różnorodności narracji oraz otwartości zakończenia. Idealna dla studentów literatury i miłośników polskiej prozy.
Analiza 'Lalki' Prusa
Szczegółowa analiza powieści 'Lalka' Bolesława Prusa, obejmująca gatunek, czas i miejsce akcji, kluczowych bohaterów, oraz motywy literackie. Zawiera omówienie postaci Stanisława Wokulskiego jako romantyka i pozytywisty oraz realistyczny obraz Warszawy i Paryża. Idealne dla studentów literatury polskiej.
Wesele: Analiza Symboli
Zanurz się w głęboką analizę dramatu 'Wesele' Stanisława Wyspiańskiego. Odkryj kluczowe symbole, takie jak chochoł i złoty róg, oraz ich znaczenie w kontekście polskiego społeczeństwa przełomu XIX i XX wieku. Notatka zawiera omówienie genezy, kompozycji, tematów oraz portretu społecznego, co czyni ją idealnym materiałem do nauki i przygotowań do egzaminów.
Przedwiośnie: Kluczowe Motywy
Analiza powieści 'Przedwiośnie' Stefana Żeromskiego, obejmująca gatunek, czas i miejsce akcji, głównych bohaterów oraz szczegółowy plan wydarzeń. Zawiera omówienie kluczowych motywów literackich, takich jak patriotyzm, rewolucja, miłość i przemiana Cezarego Baryki. Idealne dla studentów przygotowujących się do egzaminów.
Makbet: Analiza Tragedii Szekspira
Odkryj kluczowe cechy dramatu 'Makbet' Williama Szekspira, w tym złamanie zasady decorum, psychologię postaci oraz tematykę zbrodni i ambicji. Zrozum, jak Szekspir przekształca klasyczną tragedię, wprowadzając elementy fantastyki i psychologii. Idealne dla uczniów i studentów literatury. Typ: analiza literacka.
Młoda Polska: Kluczowe Tematy
Odkryj istotne cechy i motywy epoki Młodej Polski, w tym dekadentyzm, sztukę dla sztuki oraz wpływ filozofii Nietzschego i Schopenhauera. Analiza najważniejszych twórców, ich dzieł oraz typów bohaterów. Idealne dla studentów literatury i kultury polskiej.
Wesele: Analiza Społeczeństwa
Zanurz się w głęboką analizę dramatu 'Wesele' Stanisława Wyspiańskiego, który ukazuje podziały między inteligencją a chłopstwem w Polsce na początku XX wieku. Odkryj symbole, narodowe mity oraz kluczowe rozmowy, które ilustrują społeczne napięcia i brak zrozumienia. Idealne dla studentów literatury i kultury polskiej.
Mity Narodowe w 'Weselu'
Analiza symboliki i mitów narodowych w dramacie Stanisława Wyspiańskiego 'Wesele'. Odkryj, jak postacie i symbole odzwierciedlają społeczne napięcia i dążenia Polaków na początku XX wieku. Materiał zawiera omówienie głównych tematów, realistycznych bohaterów oraz kontekstu historycznego. Idealne dla studentów literatury i kultury polskiej.
Nie ma nic odpowiedniego? Sprawdź inne przedmioty.
Zobacz, co mówią o nas nasi użytkownicy. Pokochali nas — pokochasz też i Ty.
Aplikacja jest bardzo prosta i dobrze przemyślana. Do tej pory znalazłem wszystko, czego szukałem i mogłem się wiele nauczyć z innych notatek! Na pewno wykorzystam aplikację do pomocy przy robieniu prac domowych! No i oczywiście bardzo pomaga też jako inspiracja do robienia swoich notatek.
Ta aplikacja jest naprawdę świetna. Jest tak wiele notatek i pomocnych informacji [...]. Moim problematycznym przedmiotem jest język niemiecki, a w aplikacji jest w czym wybierać. Dzięki tej aplikacji poprawiłam swój niemiecki. Polecam ją każdemu.
Wow, jestem w szoku. Właśnie wypróbowałam aplikację, ponieważ widziałam ją kilka razy reklamowaną na TikToku jestem absolutnie w szoku. Ta aplikacja jest POMOCĄ, której potrzebujesz w szkole i przede wszystkim oferuje tak wiele rzeczy jak notatki czy streszczenia, które są BARDZO pomocne w moim przypadku.
Analiza i Streszczenie „Chłopi” Władysława Reymonta
"Chłopi" Władysława Reymonta to nie tylko słynna powieść nagrodzona Noblem w 1924 roku, ale przede wszystkim fascynująca opowieść o życiu polskiej wsi na przełomie XIX i XX wieku. Historia rodziny Borynów z Lipiec to prawdziwa podróż przez cztery pory roku,... Pokaż więcej

Zarejestruj się, aby zobaczyć notatkę. To nic nie kosztuje!
- Dostęp do wszystkich materiałów
- Popraw swoje oceny
- Dołącz do milionów studentów
Podstawowe informacje o "Chłopach"
"Chłopi" to powieść, która zmieniła sposób patrzenia na polską wieś. Reymont publikował ją w odcinkach od 1902 do 1908 roku w "Tygodniku Ilustrowanym", a za ten utwór dostał literacką Nagrodę Nobla w 1924 roku.
Akcja rozgrywa się prawdopodobnie w latach 80. XIX wieku w autentycznej wsi Lipce (dziś Lipce Reymontowskie koło Skierniewic). Bohaterem nie jest jedna osoba, ale cała społeczność wiejska - mieszkańcy wsi, których życie toczy się w rytmie przyrody.
Czas w powieści ma szczególny charakter. To nie są konkretne daty, ale czas natury - od jesiennych wykopek po letnie żniwa. Reymont celowo unikał podawania dat, bo zależało mu na pokazaniu uniwersalnych ludzkich doświadczeń, a nie konkretnych wydarzeń historycznych.
Ciekawostka: Tytuły tomów ("Jesień", "Zima", "Wiosna", "Lato") nie są przypadkowe - pokazują, jak życie bohaterów jest nierozerwalnie związane z rytmem pór roku.
Gatunek powieści to mieszanka różnych nurtów: realizmu (dokładne opisy życia wsi), naturalizmu (świat bez upiększeń), impresjonizmu (nastrojowe opisy przyrody) i symbolizmu (np. śmierć Boryny jako symbol związku człowieka z ziemią).

Zarejestruj się, aby zobaczyć notatkę. To nic nie kosztuje!
- Dostęp do wszystkich materiałów
- Popraw swoje oceny
- Dołącz do milionów studentów
Struktura i znaczenie "Chłopów"
Kompozycja powieści opiera się na czterech porządkach, które przenikają się nawzajem. Najważniejszy to cykl przyrodniczy - od wykopek jesienią, przez zimowe darcie pierza, po wiosenny siew i letnie żniwa. Równie istotny jest porządek religijno-obrzędowy ze świętami i tradycjami.
Narrator w "Chłopach" to postać wyjątkowa - to jakby trzy osoby w jednej. Czasem występuje jako wiejski gawędziarz mówiący gwarą, czasem jako obiektywny obserwator, a czasem jako młodopolski poeta opisujący naturę i uczucia bohaterów.
"Chłopi" to prawdziwa epopeja polskiej wsi. Powieść pokazuje panoramiczny obraz życia chłopskiego w momencie przełomowym - stary świat odchodzi, a budzi się świadomość społeczna i narodowa prostych ludzi. To historia zwykłych osób, które nagle stają się ważne.
Pamiętaj: Reymont stworzył nie tylko opowieść o konkretnych ludziach, ale uniwersalny obraz związku człowieka z ziemią i naturą.
Bogactwo opisów przyrody i obyczajów czyni z "Chłopów" prawdziwą skarbnicę wiedzy o polskiej kulturze ludowej. Każdy szczegół - od sposobu pracy w polu po obchodzenie świąt - został opisany z niezwykłą precyzją i poetyckością.
Myśleliśmy, że nigdy nie zapytasz...
Czym jest Towarzysz AI z Knowunity?
Nasz asystent AI jest specjalnie dostosowany do potrzeb uczniów. W oparciu o miliony treści, które mamy na platformie, możemy udzielać uczniom naprawdę znaczących i trafnych odpowiedzi. Ale nie chodzi tylko o odpowiedzi, towarzysz prowadzi również uczniów przez codzienne wyzwania związane z nauką, ze spersonalizowanymi planami nauki, quizami lub treściami na czacie i 100% personalizacją opartą na umiejętnościach i rozwoju uczniów.
Gdzie mogę pobrać aplikację Knowunity?
Aplikację możesz pobrać z Google Play i Apple Store.
Czy aplikacja Knowunity naprawdę jest darmowa?
Tak, masz całkowicie darmowy dostęp do wszystkich notatek w aplikacji, możesz w każdej chwili rozmawiać z Ekspertami lub ich obserwować. Możesz użyć punktów, aby odblokować pewne funkcje w aplikacji, które również możesz otrzymać za darmo. Dodatkowo oferujemy usługę Knowunity Premium, która pozwala na odblokowanie większej liczby funkcji.
Podobne notatki
Najpopularniejsze notatki: Chłopi
9Młoda Polska: Kluczowe Tematy
Odkryj istotne zagadnienia epoki Młodej Polski, w tym wpływ romantyzmu, symbolizmu oraz kluczowe dzieła literackie. Analiza tematów takich jak młodość, społeczeństwo, oraz relacje między chłopami a inteligencją. Idealne dla studentów literatury i kultury. Typ: podsumowanie.
Chłopi: Kluczowe Motywy i Wydarzenia
Zanurz się w analizę powieści 'Chłopi' Władysława Stanisława Reymonta. Odkryj kluczowe motywy literackie, głównych bohaterów oraz szczegółowy plan wydarzeń. Idealna notatka dla uczniów przygotowujących się do lekcji lub egzaminów. Zawiera informacje o gatunku, czasie i miejscu akcji.
Charakterystyka Bohaterów Chłopów
Analiza głównych postaci powieści 'Chłopi' Władysława Reymonta, w tym Macieja Boryny, Antka Boryny i Jagny Paczesiównej. Zawiera omówienie ich cech, konfliktów oraz roli w wiejskiej społeczności. Idealne dla uczniów przygotowujących się do lekcji lub egzaminów z literatury polskiej.
Chłopi: Tom I - Jesień
Szczegółowe opracowanie pierwszego tomu 'Chłopów' Władysława Reymonta, koncentrujące się na problematyce społecznej, ekonomicznej oraz konfliktach pokoleń w wiejskim życiu. Analiza postaci, motywów i kluczowych wydarzeń, które kształtują losy mieszkańców Lipiec. Idealne dla studentów literatury i miłośników klasyki.
Chłopi: Tom 1 Analiza
Szczegółowa analiza pierwszego tomu 'Chłopów' Władysława Reymonta. Obejmuje genezę, gatunek, czas i miejsce akcji, charakterystykę bohaterów oraz kluczowe problemy. Idealne dla uczniów przygotowujących się do egzaminów. Zawiera pytania i odpowiedzi dotyczące treści.
Epopeja Chłopów Reymonta
Odkryj głębię 'Chłopów' Władysława Reymonta, epickiej powieści ukazującej życie polskiej wsi na przełomie XIX i XX wieku. Analiza postaci, geneza, tematyka narodowa oraz socjologiczne studium kultury chłopskiej. Idealne dla studentów literatury i kultury polskiej. Typ: analiza literacka.
Chłopi: Kluczowe Motywy
Odkryj główne motywy i bohaterów powieści 'Chłopi' Władysława Reymonta. Analiza relacji rodzinnych, konfliktów pokoleń oraz znaczenia tradycji w życiu mieszkańców Lipiec. Idealne dla studentów literatury i kultury polskiej.
Motywy w 'Chłopach' Reymonta
Analiza kluczowych motywów w pierwszej części powieści 'Chłopi' Władysława Reymonta. Obejmuje motywy jesieni, miłości, śmierci, przyrody oraz hierarchii społecznej. Idealne dla uczniów przygotowujących się do matury. Zawiera szczegółowe opisy postaci i kontekstu historycznego.
Chłopi: Tematy i Motywy
Analiza pierwszego tomu 'Chłopów' Władysława Reymonta, obejmująca kluczowe tematy takie jak praca, miłość i śmierć, a także wpływ przyrody na życie mieszkańców fikcyjnej wsi Lipce. Zawiera omówienie postaci, obyczajów oraz konfliktów społecznych. Idealne dla studentów literatury i kultury polskiej.
Najpopularniejsze notatki z Język polski
9Przedwiośnie: Analiza Tematów
Zanurz się w analizę powieści 'Przedwiośnie' Stefana Żeromskiego. Odkryj kluczowe motywy, takie jak dojrzewanie, rewolucja i podróż, oraz ich znaczenie w kontekście niepodległej Polski. Notatka zawiera szczegółowe omówienie bohaterów, narracji oraz symboliki, co czyni ją idealnym materiałem do nauki i przygotowania do egzaminów.
Analiza Lalki Prusa
Szczegółowa analiza powieści 'Lalka' Bolesława Prusa, obejmująca kompozycję, problematykę, głównych bohaterów oraz kontekst społeczny Warszawy lat 70. i 80. XIX wieku. Zawiera omówienie miłości Wokulskiego do Izabeli Łęckiej, różnorodności narracji oraz otwartości zakończenia. Idealna dla studentów literatury i miłośników polskiej prozy.
Analiza 'Lalki' Prusa
Szczegółowa analiza powieści 'Lalka' Bolesława Prusa, obejmująca gatunek, czas i miejsce akcji, kluczowych bohaterów, oraz motywy literackie. Zawiera omówienie postaci Stanisława Wokulskiego jako romantyka i pozytywisty oraz realistyczny obraz Warszawy i Paryża. Idealne dla studentów literatury polskiej.
Wesele: Analiza Symboli
Zanurz się w głęboką analizę dramatu 'Wesele' Stanisława Wyspiańskiego. Odkryj kluczowe symbole, takie jak chochoł i złoty róg, oraz ich znaczenie w kontekście polskiego społeczeństwa przełomu XIX i XX wieku. Notatka zawiera omówienie genezy, kompozycji, tematów oraz portretu społecznego, co czyni ją idealnym materiałem do nauki i przygotowań do egzaminów.
Przedwiośnie: Kluczowe Motywy
Analiza powieści 'Przedwiośnie' Stefana Żeromskiego, obejmująca gatunek, czas i miejsce akcji, głównych bohaterów oraz szczegółowy plan wydarzeń. Zawiera omówienie kluczowych motywów literackich, takich jak patriotyzm, rewolucja, miłość i przemiana Cezarego Baryki. Idealne dla studentów przygotowujących się do egzaminów.
Makbet: Analiza Tragedii Szekspira
Odkryj kluczowe cechy dramatu 'Makbet' Williama Szekspira, w tym złamanie zasady decorum, psychologię postaci oraz tematykę zbrodni i ambicji. Zrozum, jak Szekspir przekształca klasyczną tragedię, wprowadzając elementy fantastyki i psychologii. Idealne dla uczniów i studentów literatury. Typ: analiza literacka.
Młoda Polska: Kluczowe Tematy
Odkryj istotne cechy i motywy epoki Młodej Polski, w tym dekadentyzm, sztukę dla sztuki oraz wpływ filozofii Nietzschego i Schopenhauera. Analiza najważniejszych twórców, ich dzieł oraz typów bohaterów. Idealne dla studentów literatury i kultury polskiej.
Wesele: Analiza Społeczeństwa
Zanurz się w głęboką analizę dramatu 'Wesele' Stanisława Wyspiańskiego, który ukazuje podziały między inteligencją a chłopstwem w Polsce na początku XX wieku. Odkryj symbole, narodowe mity oraz kluczowe rozmowy, które ilustrują społeczne napięcia i brak zrozumienia. Idealne dla studentów literatury i kultury polskiej.
Mity Narodowe w 'Weselu'
Analiza symboliki i mitów narodowych w dramacie Stanisława Wyspiańskiego 'Wesele'. Odkryj, jak postacie i symbole odzwierciedlają społeczne napięcia i dążenia Polaków na początku XX wieku. Materiał zawiera omówienie głównych tematów, realistycznych bohaterów oraz kontekstu historycznego. Idealne dla studentów literatury i kultury polskiej.
Najpopularniejsze notatki
9Przedwiośnie: Analiza Tematów
Zanurz się w analizę powieści 'Przedwiośnie' Stefana Żeromskiego. Odkryj kluczowe motywy, takie jak dojrzewanie, rewolucja i podróż, oraz ich znaczenie w kontekście niepodległej Polski. Notatka zawiera szczegółowe omówienie bohaterów, narracji oraz symboliki, co czyni ją idealnym materiałem do nauki i przygotowania do egzaminów.
Analiza Lalki Prusa
Szczegółowa analiza powieści 'Lalka' Bolesława Prusa, obejmująca kompozycję, problematykę, głównych bohaterów oraz kontekst społeczny Warszawy lat 70. i 80. XIX wieku. Zawiera omówienie miłości Wokulskiego do Izabeli Łęckiej, różnorodności narracji oraz otwartości zakończenia. Idealna dla studentów literatury i miłośników polskiej prozy.
Analiza 'Lalki' Prusa
Szczegółowa analiza powieści 'Lalka' Bolesława Prusa, obejmująca gatunek, czas i miejsce akcji, kluczowych bohaterów, oraz motywy literackie. Zawiera omówienie postaci Stanisława Wokulskiego jako romantyka i pozytywisty oraz realistyczny obraz Warszawy i Paryża. Idealne dla studentów literatury polskiej.
Wesele: Analiza Symboli
Zanurz się w głęboką analizę dramatu 'Wesele' Stanisława Wyspiańskiego. Odkryj kluczowe symbole, takie jak chochoł i złoty róg, oraz ich znaczenie w kontekście polskiego społeczeństwa przełomu XIX i XX wieku. Notatka zawiera omówienie genezy, kompozycji, tematów oraz portretu społecznego, co czyni ją idealnym materiałem do nauki i przygotowań do egzaminów.
Przedwiośnie: Kluczowe Motywy
Analiza powieści 'Przedwiośnie' Stefana Żeromskiego, obejmująca gatunek, czas i miejsce akcji, głównych bohaterów oraz szczegółowy plan wydarzeń. Zawiera omówienie kluczowych motywów literackich, takich jak patriotyzm, rewolucja, miłość i przemiana Cezarego Baryki. Idealne dla studentów przygotowujących się do egzaminów.
Makbet: Analiza Tragedii Szekspira
Odkryj kluczowe cechy dramatu 'Makbet' Williama Szekspira, w tym złamanie zasady decorum, psychologię postaci oraz tematykę zbrodni i ambicji. Zrozum, jak Szekspir przekształca klasyczną tragedię, wprowadzając elementy fantastyki i psychologii. Idealne dla uczniów i studentów literatury. Typ: analiza literacka.
Młoda Polska: Kluczowe Tematy
Odkryj istotne cechy i motywy epoki Młodej Polski, w tym dekadentyzm, sztukę dla sztuki oraz wpływ filozofii Nietzschego i Schopenhauera. Analiza najważniejszych twórców, ich dzieł oraz typów bohaterów. Idealne dla studentów literatury i kultury polskiej.
Wesele: Analiza Społeczeństwa
Zanurz się w głęboką analizę dramatu 'Wesele' Stanisława Wyspiańskiego, który ukazuje podziały między inteligencją a chłopstwem w Polsce na początku XX wieku. Odkryj symbole, narodowe mity oraz kluczowe rozmowy, które ilustrują społeczne napięcia i brak zrozumienia. Idealne dla studentów literatury i kultury polskiej.
Mity Narodowe w 'Weselu'
Analiza symboliki i mitów narodowych w dramacie Stanisława Wyspiańskiego 'Wesele'. Odkryj, jak postacie i symbole odzwierciedlają społeczne napięcia i dążenia Polaków na początku XX wieku. Materiał zawiera omówienie głównych tematów, realistycznych bohaterów oraz kontekstu historycznego. Idealne dla studentów literatury i kultury polskiej.
Nie ma nic odpowiedniego? Sprawdź inne przedmioty.
Zobacz, co mówią o nas nasi użytkownicy. Pokochali nas — pokochasz też i Ty.
Aplikacja jest bardzo prosta i dobrze przemyślana. Do tej pory znalazłem wszystko, czego szukałem i mogłem się wiele nauczyć z innych notatek! Na pewno wykorzystam aplikację do pomocy przy robieniu prac domowych! No i oczywiście bardzo pomaga też jako inspiracja do robienia swoich notatek.
Ta aplikacja jest naprawdę świetna. Jest tak wiele notatek i pomocnych informacji [...]. Moim problematycznym przedmiotem jest język niemiecki, a w aplikacji jest w czym wybierać. Dzięki tej aplikacji poprawiłam swój niemiecki. Polecam ją każdemu.
Wow, jestem w szoku. Właśnie wypróbowałam aplikację, ponieważ widziałam ją kilka razy reklamowaną na TikToku jestem absolutnie w szoku. Ta aplikacja jest POMOCĄ, której potrzebujesz w szkole i przede wszystkim oferuje tak wiele rzeczy jak notatki czy streszczenia, które są BARDZO pomocne w moim przypadku.