Czas nauczyć się działań na przedziałach! To może wydawać się... Pokaż więcej
Zadania z działań na przedziałach – MATeMAtyka 1











Wprowadzenie do podręcznika
To jest podręcznik matematyki przeznaczony dla uczniów liceum i technikum. Obejmuje zarówno zakres podstawowy, jak i rozszerzony, więc znajdziesz tu wszystko, czego potrzebujesz do matury.
Niezależnie od tego, czy planujesz zdawać matematykę na poziomie podstawowym czy rozszerzonym, ten podręcznik będzie Twoim przewodnikiem przez kolejne tematy. Przygotuj się na systematyczną pracę, która przyniesie efekty!
Wskazówka: Pamiętaj, że matematyka wymaga regularnej praktyki - lepiej ćwiczyć po 30 minut codziennie niż 3 godziny raz w tygodniu.

Podstawowe działania na przedziałach
Działania na przedziałach to operacje, które pomagają nam łączyć, przecinać i odejmować zbiory liczb. Suma zbiorów (A∪B) to wszystkie liczby, które należą do A lub B. Część wspólna (A∩B) to liczby należące jednocześnie do obu zbiorów.
Różnica zbiorów oznacza liczby z A, które nie należą do B. To jak odjęcie jednego zbioru od drugiego. Pamiętaj, że A\B i B\A to różne operacje!
Na przykładzie widzimy różne sytuacje: czasem zbiory się nie przecinają (∅), czasem mają wspólną część, a czasem jeden zawiera się w drugim.
Ważne: Zawsze rysuj przedziały na osi liczbowej - to znacznie ułatwia zrozumienie!

Wizualizacja na osi liczbowej
Najlepszy sposób na zrozumienie działań na przedziałach to rysowanie ich na osi liczbowej. Widzisz tutaj różne przykłady, gdzie każdy przedział jest zaznaczony graficznie.
Zwróć uwagę na różne typy nawiasów: okrągłe nawiasy ( ) oznaczają, że końce nie należą do przedziału, a kwadratowe [ ] - że należą. To bardzo ważna różnica!
Różnica zbiorów A\B to te części zbioru A, które nie pokrywają się ze zbiorem B. Na rysunkach widać, jak te części "zostają" po "odjęciu" zbioru B.
Trick: Używaj różnych kolorów do zaznaczania zbiorów A i B - od razu zobaczysz, gdzie są sumy, przecięcia i różnice!

Praktyczne przykłady z rozwiązaniami
Teraz przyszedł czas na konkretne zadania! Każde zadanie pokazuje wszystkie cztery podstawowe operacje: sumę (A∪B), przecięcie (A∩B), oraz obie różnice .
Kluczowa zasada: zawsze zacznij od narysowania obu przedziałów na osi. Potem łatwo zobaczysz, które części należą do sumy, a które do przecięcia.
Niektóre wyniki mogą być zbiorem pustym (∅) - to oznacza, że dana operacja nie daje żadnych liczb. Na przykład, gdy dwa przedziały się nie przecinają, ich część wspólna jest pusta.
Sprawdź się: Po każdym zadaniu sprawdź wynik, podstawiając konkretną liczbę z przedziału - czy rzeczywiście należy tam, gdzie powinna?

Znajdowanie liczb całkowitych w przedziałach
Czasem musisz znaleźć liczby całkowite należące do danego przedziału. To praktyczne umiejętności, które przydadzą się w wielu zadaniach.
Sposób jest prosty: narysuj przedział na osi i policz wszystkie liczby całkowite, które się w nim mieszczą. Pamiętaj o końcach przedziałów - sprawdź, czy należą do zbioru!
W przykładzie a) masz przedział zawierający 7 liczb całkowitych: {0,1,2,3,4,5,6,7}. W przykładzie b) tylko 5 liczb: {-2,-1,0,1,2,4}. Liczenie nie jest trudne, ale wymaga uwagi.
Uwaga: Zawsze sprawdź typy nawiasów - okrągły nawias oznacza, że końcowa liczba NIE należy do zbioru!

Złożone operacje na przedziałach
Teraz łączymy różne operacje w bardziej skomplikowanych zadaniach. Kolejność działań ma znaczenie - najpierw wykonuj operacje w nawiasach, potem pozostałe.
Każde zadanie ma swój schemat graficzny na osi liczbowej plus dokładne wyniki wszystkich operacji. To pokazuje, że systematyczne podejście zawsze prowadzi do sukcesu.
Zwróć uwagę, jak różnorodne mogą być wyniki: czasem suma to jeden długi przedział, czasem kilka oddzielnych części. Przecięcie może być punktem, przedziałem lub zbiorem pustym.
Strategia: Nie próbuj robić wszystkiego w głowie - zawsze rysuj, zaznaczaj kolorem i dopiero potem zapisuj wynik!

Zaawansowane przykłady
Te zadania pokazują bardziej złożone sytuacje, gdzie przedziały mogą mieć "dziury" lub składać się z kilku części. Notation (0,9)(7,8) oznacza przedział od 0 do 9, ale bez części od 7 do 8.
Różnica zbiorów może dawać bardzo ciekawe wyniki - czasem to kilka oddzielnych przedziałów, czasem pojedynczy punkt, a czasem zbiór pusty.
Pamiętaj, że A\B i B\A to zupełnie różne operacje. Pierwsza "odejmuje" B od A, druga "odejmuje" A od B. Wyniki mogą być całkowicie różne!
Pro tip: W skomplikowanych zadaniach rób wszystko krok po kroku - najpierw suma i przecięcie, potem różnice.

Zadania z opisem słownym
Tutaj masz zadania, gdzie przedziały są opisane słowami, a nie od razu podane symbolicznie. Umiejętność tłumaczenia słów na symbole matematyczne jest kluczowa.
"x > -4 i x < 0" oznacza przedział (-4,0). "x > -1 i x ≤ 3" to przedział (-1,3]. Zwracaj uwagę na różnicę między "większe" (>) a "większe lub równe" (≥).
Operacje na trzech zbiorach jednocześnie wymagają szczególnej uwagi. Rysuj wszystkie trzy na jednej osi i systematycznie oznaczaj, które części należą do wyniku.
Ważne: Zawsze sprawdź swój wynik - czy punkty graniczne rzeczywiście należą lub nie należą do wyniku zgodnie z nawiasami!

Dopełnienia zbiorów
Dopełnienie zbioru A (oznaczane A') to wszystkie liczby rzeczywiste, które nie należą do A. To bardzo przydatna operacja w wielu zadaniach.
Jeśli A = (-3,0), to A' = (-∞,-3] ∪ [0,+∞). Widzisz, jak dopełnienie "wypełnia" wszystkie miejsca, gdzie nie ma zbioru A?
Przecięcie dopełnień (A' ∩ B') to liczby, które nie należą ani do A, ani do B. Czasem wynik może być zbiorem pustym, gdy dopełnienia nie mają części wspólnej.
Pamiętaj: Dopełnienie zawsze obejmuje całą oś liczbową minus oryginalny zbiór - nie zapomnij o plus i minus nieskończoności!

Podsumowanie i dalsze zadania
Te ostatnie zadania to sprawdzian Twojej wiedzy z działań na przedziałach. Masz tu różne typy operacji i przedziałów do przećwiczenia.
Kluczem do sukcesu w tym temacie jest systematyczne podejście: rysowanie, oznaczanie i sprawdzanie wyników. Im więcej zadań przećwiczysz, tym pewniej będziesz się czuł.
Pamiętaj, że działania na przedziałach to fundament wielu innych tematów w matematyce, więc warto je dobrze opanować już teraz.
Motywacja: Te umiejętności przydadzą Ci się nie tylko na maturze, ale też w zadaniach z funkcji, nierówności i wielu innych działów matematyki!
Myśleliśmy, że nigdy nie zapytasz...
Czym jest Towarzysz AI z Knowunity?
Nasz asystent AI jest specjalnie dostosowany do potrzeb uczniów. W oparciu o miliony treści, które mamy na platformie, możemy udzielać uczniom naprawdę znaczących i trafnych odpowiedzi. Ale nie chodzi tylko o odpowiedzi, towarzysz prowadzi również uczniów przez codzienne wyzwania związane z nauką, ze spersonalizowanymi planami nauki, quizami lub treściami na czacie i 100% personalizacją opartą na umiejętnościach i rozwoju uczniów.
Gdzie mogę pobrać aplikację Knowunity?
Aplikację możesz pobrać z Google Play i Apple Store.
Czy aplikacja Knowunity naprawdę jest darmowa?
Tak, masz całkowicie darmowy dostęp do wszystkich notatek w aplikacji, możesz w każdej chwili rozmawiać z Ekspertami lub ich obserwować. Możesz użyć punktów, aby odblokować pewne funkcje w aplikacji, które również możesz otrzymać za darmo. Dodatkowo oferujemy usługę Knowunity Premium, która pozwala na odblokowanie większej liczby funkcji.
Najpopularniejsze notatki: Równanie
1Najpopularniejsze notatki z Matematyka
9Egzamin ósmoklasisty: Matematyka
Kompleksowe powtórzenie z matematyki na egzamin ósmoklasisty. Obejmuje kluczowe zagadnienia takie jak działania na ułamkach, potęgi, obliczanie pól i objętości figur, średnia arytmetyczna, mediana oraz twierdzenie Pitagorasa. Idealne dla uczniów przygotowujących się do egzaminu. Typ: podsumowanie.
Wzory Matematyczne na Egzamin
Kompleksowe wzory matematyczne na egzamin ósmoklasisty, obejmujące objętości brył, pola powierzchni, kąty, działania na potęgach oraz równania. Idealne dla uczniów przygotowujących się do egzaminu. Zawiera wzory dla ostrosłupów, graniastosłupów, trójkątów i więcej.
Graniastosłupy i Ostrosłupy
Zrozumienie graniastosłupów i ostrosłupów: definicje, właściwości, wzory na objętość i pole powierzchni. Dowiedz się, jak obliczać objętość i pole różnych typów wielościanów, w tym graniastosłupów prostych i ostrosłupów prawdziwych. Idealne dla uczniów klasy 8.
Dodawanie ułamków o tych samych mianownikach
Ćwiczenia z dodawania prostych ułamków o identycznych mianownikach bez przekraczania całości.
Wzory na pola wielokątów
Rozpoznawanie i utrwalanie podstawowych wzorów na pola prostokątów, kwadratów, trójkątów i trapezów.
WYRAŻENIA ALGEBRAICZNE
WYRAŻENIA ALGEBRAICZNE - NOTATKA POWTARZAJĄCA WYRAŻENIA ALGEBRAICZNE
tabliczka mnożenia do 100
tabliczka mnożenia do 100
Podstawy tworzenia wyrażeń algebraicznych
Rozpoznawanie składników wyrażeń i zapisywanie prostych zależności liczbowych za pomocą liter i symboli.
Dodawanie i odejmowanie ułamków dziesiętnych
Wykonywanie obliczeń pamięciowych i pisemnych na ułamkach dziesiętnych z uwzględnieniem poprawnego dopasowania przecinka.
Najpopularniejsze notatki
9Przedwiośnie: Analiza Tematów
Zanurz się w analizę powieści 'Przedwiośnie' Stefana Żeromskiego. Odkryj kluczowe motywy, takie jak dojrzewanie, rewolucja i podróż, oraz ich znaczenie w kontekście niepodległej Polski. Notatka zawiera szczegółowe omówienie bohaterów, narracji oraz symboliki, co czyni ją idealnym materiałem do nauki i przygotowania do egzaminów.
Analiza Lalki Prusa
Szczegółowa analiza powieści 'Lalka' Bolesława Prusa, obejmująca kompozycję, problematykę, głównych bohaterów oraz kontekst społeczny Warszawy lat 70. i 80. XIX wieku. Zawiera omówienie miłości Wokulskiego do Izabeli Łęckiej, różnorodności narracji oraz otwartości zakończenia. Idealna dla studentów literatury i miłośników polskiej prozy.
Analiza 'Lalki' Prusa
Szczegółowa analiza powieści 'Lalka' Bolesława Prusa, obejmująca gatunek, czas i miejsce akcji, kluczowych bohaterów, oraz motywy literackie. Zawiera omówienie postaci Stanisława Wokulskiego jako romantyka i pozytywisty oraz realistyczny obraz Warszawy i Paryża. Idealne dla studentów literatury polskiej.
Wesele: Analiza Symboli
Zanurz się w głęboką analizę dramatu 'Wesele' Stanisława Wyspiańskiego. Odkryj kluczowe symbole, takie jak chochoł i złoty róg, oraz ich znaczenie w kontekście polskiego społeczeństwa przełomu XIX i XX wieku. Notatka zawiera omówienie genezy, kompozycji, tematów oraz portretu społecznego, co czyni ją idealnym materiałem do nauki i przygotowań do egzaminów.
Przedwiośnie: Kluczowe Motywy
Analiza powieści 'Przedwiośnie' Stefana Żeromskiego, obejmująca gatunek, czas i miejsce akcji, głównych bohaterów oraz szczegółowy plan wydarzeń. Zawiera omówienie kluczowych motywów literackich, takich jak patriotyzm, rewolucja, miłość i przemiana Cezarego Baryki. Idealne dla studentów przygotowujących się do egzaminów.
Makbet: Analiza Tragedii Szekspira
Odkryj kluczowe cechy dramatu 'Makbet' Williama Szekspira, w tym złamanie zasady decorum, psychologię postaci oraz tematykę zbrodni i ambicji. Zrozum, jak Szekspir przekształca klasyczną tragedię, wprowadzając elementy fantastyki i psychologii. Idealne dla uczniów i studentów literatury. Typ: analiza literacka.
Młoda Polska: Kluczowe Tematy
Odkryj istotne cechy i motywy epoki Młodej Polski, w tym dekadentyzm, sztukę dla sztuki oraz wpływ filozofii Nietzschego i Schopenhauera. Analiza najważniejszych twórców, ich dzieł oraz typów bohaterów. Idealne dla studentów literatury i kultury polskiej.
Wesele: Analiza Społeczeństwa
Zanurz się w głęboką analizę dramatu 'Wesele' Stanisława Wyspiańskiego, który ukazuje podziały między inteligencją a chłopstwem w Polsce na początku XX wieku. Odkryj symbole, narodowe mity oraz kluczowe rozmowy, które ilustrują społeczne napięcia i brak zrozumienia. Idealne dla studentów literatury i kultury polskiej.
Mity Narodowe w 'Weselu'
Analiza symboliki i mitów narodowych w dramacie Stanisława Wyspiańskiego 'Wesele'. Odkryj, jak postacie i symbole odzwierciedlają społeczne napięcia i dążenia Polaków na początku XX wieku. Materiał zawiera omówienie głównych tematów, realistycznych bohaterów oraz kontekstu historycznego. Idealne dla studentów literatury i kultury polskiej.
Nie ma nic odpowiedniego? Sprawdź inne przedmioty.
Zobacz, co mówią o nas nasi użytkownicy. Pokochali nas — pokochasz też i Ty.
Aplikacja jest bardzo prosta i dobrze przemyślana. Do tej pory znalazłem wszystko, czego szukałem i mogłem się wiele nauczyć z innych notatek! Na pewno wykorzystam aplikację do pomocy przy robieniu prac domowych! No i oczywiście bardzo pomaga też jako inspiracja do robienia swoich notatek.
Ta aplikacja jest naprawdę świetna. Jest tak wiele notatek i pomocnych informacji [...]. Moim problematycznym przedmiotem jest język niemiecki, a w aplikacji jest w czym wybierać. Dzięki tej aplikacji poprawiłam swój niemiecki. Polecam ją każdemu.
Wow, jestem w szoku. Właśnie wypróbowałam aplikację, ponieważ widziałam ją kilka razy reklamowaną na TikToku jestem absolutnie w szoku. Ta aplikacja jest POMOCĄ, której potrzebujesz w szkole i przede wszystkim oferuje tak wiele rzeczy jak notatki czy streszczenia, które są BARDZO pomocne w moim przypadku.
Zadania z działań na przedziałach – MATeMAtyka 1
Czas nauczyć się działań na przedziałach! To może wydawać się skomplikowane, ale w rzeczywistości to tylko sposób na pokazanie, które liczby należą do różnych zbiorów i jak te zbiory się ze sobą łączą.

Zarejestruj się, aby zobaczyć notatkę. To nic nie kosztuje!
- Dostęp do wszystkich materiałów
- Popraw swoje oceny
- Dołącz do milionów studentów
Wprowadzenie do podręcznika
To jest podręcznik matematyki przeznaczony dla uczniów liceum i technikum. Obejmuje zarówno zakres podstawowy, jak i rozszerzony, więc znajdziesz tu wszystko, czego potrzebujesz do matury.
Niezależnie od tego, czy planujesz zdawać matematykę na poziomie podstawowym czy rozszerzonym, ten podręcznik będzie Twoim przewodnikiem przez kolejne tematy. Przygotuj się na systematyczną pracę, która przyniesie efekty!
Wskazówka: Pamiętaj, że matematyka wymaga regularnej praktyki - lepiej ćwiczyć po 30 minut codziennie niż 3 godziny raz w tygodniu.

Zarejestruj się, aby zobaczyć notatkę. To nic nie kosztuje!
- Dostęp do wszystkich materiałów
- Popraw swoje oceny
- Dołącz do milionów studentów
Podstawowe działania na przedziałach
Działania na przedziałach to operacje, które pomagają nam łączyć, przecinać i odejmować zbiory liczb. Suma zbiorów (A∪B) to wszystkie liczby, które należą do A lub B. Część wspólna (A∩B) to liczby należące jednocześnie do obu zbiorów.
Różnica zbiorów oznacza liczby z A, które nie należą do B. To jak odjęcie jednego zbioru od drugiego. Pamiętaj, że A\B i B\A to różne operacje!
Na przykładzie widzimy różne sytuacje: czasem zbiory się nie przecinają (∅), czasem mają wspólną część, a czasem jeden zawiera się w drugim.
Ważne: Zawsze rysuj przedziały na osi liczbowej - to znacznie ułatwia zrozumienie!

Zarejestruj się, aby zobaczyć notatkę. To nic nie kosztuje!
- Dostęp do wszystkich materiałów
- Popraw swoje oceny
- Dołącz do milionów studentów
Wizualizacja na osi liczbowej
Najlepszy sposób na zrozumienie działań na przedziałach to rysowanie ich na osi liczbowej. Widzisz tutaj różne przykłady, gdzie każdy przedział jest zaznaczony graficznie.
Zwróć uwagę na różne typy nawiasów: okrągłe nawiasy ( ) oznaczają, że końce nie należą do przedziału, a kwadratowe [ ] - że należą. To bardzo ważna różnica!
Różnica zbiorów A\B to te części zbioru A, które nie pokrywają się ze zbiorem B. Na rysunkach widać, jak te części "zostają" po "odjęciu" zbioru B.
Trick: Używaj różnych kolorów do zaznaczania zbiorów A i B - od razu zobaczysz, gdzie są sumy, przecięcia i różnice!

Zarejestruj się, aby zobaczyć notatkę. To nic nie kosztuje!
- Dostęp do wszystkich materiałów
- Popraw swoje oceny
- Dołącz do milionów studentów
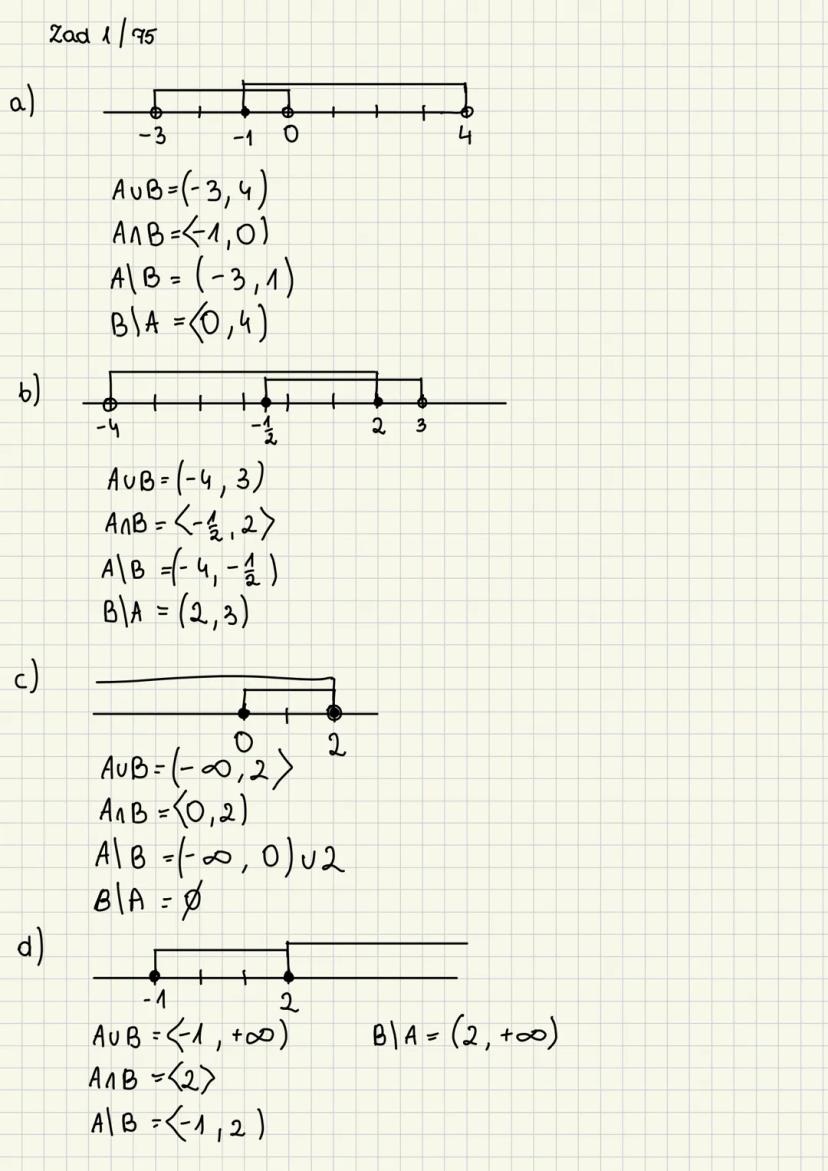
Praktyczne przykłady z rozwiązaniami
Teraz przyszedł czas na konkretne zadania! Każde zadanie pokazuje wszystkie cztery podstawowe operacje: sumę (A∪B), przecięcie (A∩B), oraz obie różnice .
Kluczowa zasada: zawsze zacznij od narysowania obu przedziałów na osi. Potem łatwo zobaczysz, które części należą do sumy, a które do przecięcia.
Niektóre wyniki mogą być zbiorem pustym (∅) - to oznacza, że dana operacja nie daje żadnych liczb. Na przykład, gdy dwa przedziały się nie przecinają, ich część wspólna jest pusta.
Sprawdź się: Po każdym zadaniu sprawdź wynik, podstawiając konkretną liczbę z przedziału - czy rzeczywiście należy tam, gdzie powinna?

Zarejestruj się, aby zobaczyć notatkę. To nic nie kosztuje!
- Dostęp do wszystkich materiałów
- Popraw swoje oceny
- Dołącz do milionów studentów
Znajdowanie liczb całkowitych w przedziałach
Czasem musisz znaleźć liczby całkowite należące do danego przedziału. To praktyczne umiejętności, które przydadzą się w wielu zadaniach.
Sposób jest prosty: narysuj przedział na osi i policz wszystkie liczby całkowite, które się w nim mieszczą. Pamiętaj o końcach przedziałów - sprawdź, czy należą do zbioru!
W przykładzie a) masz przedział zawierający 7 liczb całkowitych: {0,1,2,3,4,5,6,7}. W przykładzie b) tylko 5 liczb: {-2,-1,0,1,2,4}. Liczenie nie jest trudne, ale wymaga uwagi.
Uwaga: Zawsze sprawdź typy nawiasów - okrągły nawias oznacza, że końcowa liczba NIE należy do zbioru!

Zarejestruj się, aby zobaczyć notatkę. To nic nie kosztuje!
- Dostęp do wszystkich materiałów
- Popraw swoje oceny
- Dołącz do milionów studentów
Złożone operacje na przedziałach
Teraz łączymy różne operacje w bardziej skomplikowanych zadaniach. Kolejność działań ma znaczenie - najpierw wykonuj operacje w nawiasach, potem pozostałe.
Każde zadanie ma swój schemat graficzny na osi liczbowej plus dokładne wyniki wszystkich operacji. To pokazuje, że systematyczne podejście zawsze prowadzi do sukcesu.
Zwróć uwagę, jak różnorodne mogą być wyniki: czasem suma to jeden długi przedział, czasem kilka oddzielnych części. Przecięcie może być punktem, przedziałem lub zbiorem pustym.
Strategia: Nie próbuj robić wszystkiego w głowie - zawsze rysuj, zaznaczaj kolorem i dopiero potem zapisuj wynik!

Zarejestruj się, aby zobaczyć notatkę. To nic nie kosztuje!
- Dostęp do wszystkich materiałów
- Popraw swoje oceny
- Dołącz do milionów studentów
Zaawansowane przykłady
Te zadania pokazują bardziej złożone sytuacje, gdzie przedziały mogą mieć "dziury" lub składać się z kilku części. Notation (0,9)(7,8) oznacza przedział od 0 do 9, ale bez części od 7 do 8.
Różnica zbiorów może dawać bardzo ciekawe wyniki - czasem to kilka oddzielnych przedziałów, czasem pojedynczy punkt, a czasem zbiór pusty.
Pamiętaj, że A\B i B\A to zupełnie różne operacje. Pierwsza "odejmuje" B od A, druga "odejmuje" A od B. Wyniki mogą być całkowicie różne!
Pro tip: W skomplikowanych zadaniach rób wszystko krok po kroku - najpierw suma i przecięcie, potem różnice.

Zarejestruj się, aby zobaczyć notatkę. To nic nie kosztuje!
- Dostęp do wszystkich materiałów
- Popraw swoje oceny
- Dołącz do milionów studentów
Zadania z opisem słownym
Tutaj masz zadania, gdzie przedziały są opisane słowami, a nie od razu podane symbolicznie. Umiejętność tłumaczenia słów na symbole matematyczne jest kluczowa.
"x > -4 i x < 0" oznacza przedział (-4,0). "x > -1 i x ≤ 3" to przedział (-1,3]. Zwracaj uwagę na różnicę między "większe" (>) a "większe lub równe" (≥).
Operacje na trzech zbiorach jednocześnie wymagają szczególnej uwagi. Rysuj wszystkie trzy na jednej osi i systematycznie oznaczaj, które części należą do wyniku.
Ważne: Zawsze sprawdź swój wynik - czy punkty graniczne rzeczywiście należą lub nie należą do wyniku zgodnie z nawiasami!

Zarejestruj się, aby zobaczyć notatkę. To nic nie kosztuje!
- Dostęp do wszystkich materiałów
- Popraw swoje oceny
- Dołącz do milionów studentów
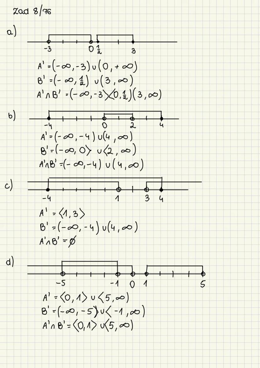
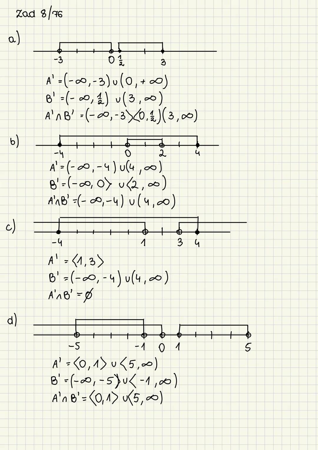
Dopełnienia zbiorów
Dopełnienie zbioru A (oznaczane A') to wszystkie liczby rzeczywiste, które nie należą do A. To bardzo przydatna operacja w wielu zadaniach.
Jeśli A = (-3,0), to A' = (-∞,-3] ∪ [0,+∞). Widzisz, jak dopełnienie "wypełnia" wszystkie miejsca, gdzie nie ma zbioru A?
Przecięcie dopełnień (A' ∩ B') to liczby, które nie należą ani do A, ani do B. Czasem wynik może być zbiorem pustym, gdy dopełnienia nie mają części wspólnej.
Pamiętaj: Dopełnienie zawsze obejmuje całą oś liczbową minus oryginalny zbiór - nie zapomnij o plus i minus nieskończoności!

Zarejestruj się, aby zobaczyć notatkę. To nic nie kosztuje!
- Dostęp do wszystkich materiałów
- Popraw swoje oceny
- Dołącz do milionów studentów
Podsumowanie i dalsze zadania
Te ostatnie zadania to sprawdzian Twojej wiedzy z działań na przedziałach. Masz tu różne typy operacji i przedziałów do przećwiczenia.
Kluczem do sukcesu w tym temacie jest systematyczne podejście: rysowanie, oznaczanie i sprawdzanie wyników. Im więcej zadań przećwiczysz, tym pewniej będziesz się czuł.
Pamiętaj, że działania na przedziałach to fundament wielu innych tematów w matematyce, więc warto je dobrze opanować już teraz.
Motywacja: Te umiejętności przydadzą Ci się nie tylko na maturze, ale też w zadaniach z funkcji, nierówności i wielu innych działów matematyki!
Myśleliśmy, że nigdy nie zapytasz...
Czym jest Towarzysz AI z Knowunity?
Nasz asystent AI jest specjalnie dostosowany do potrzeb uczniów. W oparciu o miliony treści, które mamy na platformie, możemy udzielać uczniom naprawdę znaczących i trafnych odpowiedzi. Ale nie chodzi tylko o odpowiedzi, towarzysz prowadzi również uczniów przez codzienne wyzwania związane z nauką, ze spersonalizowanymi planami nauki, quizami lub treściami na czacie i 100% personalizacją opartą na umiejętnościach i rozwoju uczniów.
Gdzie mogę pobrać aplikację Knowunity?
Aplikację możesz pobrać z Google Play i Apple Store.
Czy aplikacja Knowunity naprawdę jest darmowa?
Tak, masz całkowicie darmowy dostęp do wszystkich notatek w aplikacji, możesz w każdej chwili rozmawiać z Ekspertami lub ich obserwować. Możesz użyć punktów, aby odblokować pewne funkcje w aplikacji, które również możesz otrzymać za darmo. Dodatkowo oferujemy usługę Knowunity Premium, która pozwala na odblokowanie większej liczby funkcji.
Najpopularniejsze notatki: Równanie
1Najpopularniejsze notatki z Matematyka
9Egzamin ósmoklasisty: Matematyka
Kompleksowe powtórzenie z matematyki na egzamin ósmoklasisty. Obejmuje kluczowe zagadnienia takie jak działania na ułamkach, potęgi, obliczanie pól i objętości figur, średnia arytmetyczna, mediana oraz twierdzenie Pitagorasa. Idealne dla uczniów przygotowujących się do egzaminu. Typ: podsumowanie.
Wzory Matematyczne na Egzamin
Kompleksowe wzory matematyczne na egzamin ósmoklasisty, obejmujące objętości brył, pola powierzchni, kąty, działania na potęgach oraz równania. Idealne dla uczniów przygotowujących się do egzaminu. Zawiera wzory dla ostrosłupów, graniastosłupów, trójkątów i więcej.
Graniastosłupy i Ostrosłupy
Zrozumienie graniastosłupów i ostrosłupów: definicje, właściwości, wzory na objętość i pole powierzchni. Dowiedz się, jak obliczać objętość i pole różnych typów wielościanów, w tym graniastosłupów prostych i ostrosłupów prawdziwych. Idealne dla uczniów klasy 8.
Dodawanie ułamków o tych samych mianownikach
Ćwiczenia z dodawania prostych ułamków o identycznych mianownikach bez przekraczania całości.
Wzory na pola wielokątów
Rozpoznawanie i utrwalanie podstawowych wzorów na pola prostokątów, kwadratów, trójkątów i trapezów.
WYRAŻENIA ALGEBRAICZNE
WYRAŻENIA ALGEBRAICZNE - NOTATKA POWTARZAJĄCA WYRAŻENIA ALGEBRAICZNE
tabliczka mnożenia do 100
tabliczka mnożenia do 100
Podstawy tworzenia wyrażeń algebraicznych
Rozpoznawanie składników wyrażeń i zapisywanie prostych zależności liczbowych za pomocą liter i symboli.
Dodawanie i odejmowanie ułamków dziesiętnych
Wykonywanie obliczeń pamięciowych i pisemnych na ułamkach dziesiętnych z uwzględnieniem poprawnego dopasowania przecinka.
Najpopularniejsze notatki
9Przedwiośnie: Analiza Tematów
Zanurz się w analizę powieści 'Przedwiośnie' Stefana Żeromskiego. Odkryj kluczowe motywy, takie jak dojrzewanie, rewolucja i podróż, oraz ich znaczenie w kontekście niepodległej Polski. Notatka zawiera szczegółowe omówienie bohaterów, narracji oraz symboliki, co czyni ją idealnym materiałem do nauki i przygotowania do egzaminów.
Analiza Lalki Prusa
Szczegółowa analiza powieści 'Lalka' Bolesława Prusa, obejmująca kompozycję, problematykę, głównych bohaterów oraz kontekst społeczny Warszawy lat 70. i 80. XIX wieku. Zawiera omówienie miłości Wokulskiego do Izabeli Łęckiej, różnorodności narracji oraz otwartości zakończenia. Idealna dla studentów literatury i miłośników polskiej prozy.
Analiza 'Lalki' Prusa
Szczegółowa analiza powieści 'Lalka' Bolesława Prusa, obejmująca gatunek, czas i miejsce akcji, kluczowych bohaterów, oraz motywy literackie. Zawiera omówienie postaci Stanisława Wokulskiego jako romantyka i pozytywisty oraz realistyczny obraz Warszawy i Paryża. Idealne dla studentów literatury polskiej.
Wesele: Analiza Symboli
Zanurz się w głęboką analizę dramatu 'Wesele' Stanisława Wyspiańskiego. Odkryj kluczowe symbole, takie jak chochoł i złoty róg, oraz ich znaczenie w kontekście polskiego społeczeństwa przełomu XIX i XX wieku. Notatka zawiera omówienie genezy, kompozycji, tematów oraz portretu społecznego, co czyni ją idealnym materiałem do nauki i przygotowań do egzaminów.
Przedwiośnie: Kluczowe Motywy
Analiza powieści 'Przedwiośnie' Stefana Żeromskiego, obejmująca gatunek, czas i miejsce akcji, głównych bohaterów oraz szczegółowy plan wydarzeń. Zawiera omówienie kluczowych motywów literackich, takich jak patriotyzm, rewolucja, miłość i przemiana Cezarego Baryki. Idealne dla studentów przygotowujących się do egzaminów.
Makbet: Analiza Tragedii Szekspira
Odkryj kluczowe cechy dramatu 'Makbet' Williama Szekspira, w tym złamanie zasady decorum, psychologię postaci oraz tematykę zbrodni i ambicji. Zrozum, jak Szekspir przekształca klasyczną tragedię, wprowadzając elementy fantastyki i psychologii. Idealne dla uczniów i studentów literatury. Typ: analiza literacka.
Młoda Polska: Kluczowe Tematy
Odkryj istotne cechy i motywy epoki Młodej Polski, w tym dekadentyzm, sztukę dla sztuki oraz wpływ filozofii Nietzschego i Schopenhauera. Analiza najważniejszych twórców, ich dzieł oraz typów bohaterów. Idealne dla studentów literatury i kultury polskiej.
Wesele: Analiza Społeczeństwa
Zanurz się w głęboką analizę dramatu 'Wesele' Stanisława Wyspiańskiego, który ukazuje podziały między inteligencją a chłopstwem w Polsce na początku XX wieku. Odkryj symbole, narodowe mity oraz kluczowe rozmowy, które ilustrują społeczne napięcia i brak zrozumienia. Idealne dla studentów literatury i kultury polskiej.
Mity Narodowe w 'Weselu'
Analiza symboliki i mitów narodowych w dramacie Stanisława Wyspiańskiego 'Wesele'. Odkryj, jak postacie i symbole odzwierciedlają społeczne napięcia i dążenia Polaków na początku XX wieku. Materiał zawiera omówienie głównych tematów, realistycznych bohaterów oraz kontekstu historycznego. Idealne dla studentów literatury i kultury polskiej.
Nie ma nic odpowiedniego? Sprawdź inne przedmioty.
Zobacz, co mówią o nas nasi użytkownicy. Pokochali nas — pokochasz też i Ty.
Aplikacja jest bardzo prosta i dobrze przemyślana. Do tej pory znalazłem wszystko, czego szukałem i mogłem się wiele nauczyć z innych notatek! Na pewno wykorzystam aplikację do pomocy przy robieniu prac domowych! No i oczywiście bardzo pomaga też jako inspiracja do robienia swoich notatek.
Ta aplikacja jest naprawdę świetna. Jest tak wiele notatek i pomocnych informacji [...]. Moim problematycznym przedmiotem jest język niemiecki, a w aplikacji jest w czym wybierać. Dzięki tej aplikacji poprawiłam swój niemiecki. Polecam ją każdemu.
Wow, jestem w szoku. Właśnie wypróbowałam aplikację, ponieważ widziałam ją kilka razy reklamowaną na TikToku jestem absolutnie w szoku. Ta aplikacja jest POMOCĄ, której potrzebujesz w szkole i przede wszystkim oferuje tak wiele rzeczy jak notatki czy streszczenia, które są BARDZO pomocne w moim przypadku.