Trygonometria to dział matematyki, który łączy kąty z bokami trójkątów... Pokaż więcej
Zarejestruj się, aby zobaczyć notatkęTo nic nie kosztuje!
Dostęp do wszystkich materiałów
Popraw swoje oceny
Dołącz do milionów studentów
Knowunity AI
Przedmioty
Triangle Congruence and Similarity Theorems
Triangle Properties and Classification
Linear Equations and Graphs
Geometric Angle Relationships
Trigonometric Functions and Identities
Equation Solving Techniques
Circle Geometry Fundamentals
Division Operations and Methods
Basic Differentiation Rules
Exponent and Logarithm Properties
Pokaż wszystkie tematy
Human Organ Systems
Reproductive Cell Cycles
Biological Sciences Subdisciplines
Cellular Energy Metabolism
Autotrophic Energy Processes
Inheritance Patterns and Principles
Biomolecular Structure and Organization
Cell Cycle and Division Mechanics
Cellular Organization and Development
Biological Structural Organization
Pokaż wszystkie tematy
Chemical Sciences and Applications
Atomic Structure and Composition
Molecular Electron Structure Representation
Atomic Electron Behavior
Matter Properties and Water
Mole Concept and Calculations
Gas Laws and Behavior
Periodic Table Organization
Chemical Thermodynamics Fundamentals
Chemical Bond Types and Properties
Pokaż wszystkie tematy
European Renaissance and Enlightenment
European Cultural Movements 800-1920
American Revolution Era 1763-1797
American Civil War 1861-1865
Global Imperial Systems
Mongol and Chinese Dynasties
U.S. Presidents and World Leaders
Historical Sources and Documentation
World Wars Era and Impact
World Religious Systems
Pokaż wszystkie tematy
Classic and Contemporary Novels
Literary Character Analysis
Rhetorical Theory and Practice
Classic Literary Narratives
Reading Analysis and Interpretation
Narrative Structure and Techniques
English Language Components
Influential English-Language Authors
Basic Sentence Structure
Narrative Voice and Perspective
Pokaż wszystkie tematy
8,230
•
Zaktualizowano Mar 18, 2026
•
Trygonometria to dział matematyki, który łączy kąty z bokami trójkątów... Pokaż więcej





W trójkącie prostokątnym masz do dyspozycji cztery super funkcje: sinus, cosinus, tangens i cotangens. Każda z nich to po prostu stosunek dwóch boków trójkąta.
Sinus to stosunek boku naprzeciwko kąta do przeciwprostokątnej (najdłuższego boku). Cosinus to stosunek boku przy kącie do przeciwprostokątnej.
Tangens dzieli bok naprzeciwko przez bok przy kącie, a cotangens robi to na odwrót. To jak przepis na ciasto - zawsze te same składniki, tylko w innej kolejności!
💡 Zapamiętaj: Sin = naprzeciw/przeciwprostokątna, Cos = przy kącie/przeciwprostokątna
Te trzy kąty są jak gwiazdy trygonometrii - pojawiają się wszędzie! Dla kąta 45° sin i cos są równe √2/2, a tangens i cotangens wynoszą 1.
Dla kątów 30° i 60° wartości są bardziej różnorodne, ale są ze sobą związane - to co jest sinusem 30°, staje się cosinusem 60°. Natura lubi symetrię!

Kąt skierowany to nie tylko liczba - ma kierunek! Składa się z ramienia początkowego i końcowego, które mają wspólny początek.
Jeśli obracasz ramię zgodnie z ruchem wskazówek zegara, kąt jest ujemny. Przeciwnie do wskazówek? Dodatni! To jak taniec - kierunek ma znaczenie.
Każdy kąt można zapisać jako α + k·360°, gdzie k to liczba pełnych obrotów. Dzięki temu jeden kąt może mieć nieskończenie wiele miar - ale wszystkie opisują tę samą pozycję.
💡 Pamiętaj: Dodatnie kąty = przeciwnie do wskazówek zegara, ujemne = zgodnie ze wskazówkami

W układzie współrzędnych funkcje trygonometryczne działają dla każdego kąta, nie tylko w trójkącie! Sinus to y/r, cosinus to x/r, gdzie r to odległość od początku układu.
Znaki funkcji zmieniają się w różnych ćwiartkach. W pierwszej ćwiartce wszystkie są dodatnie - to twoja bezpieczna strefa! W drugiej tylko sinus jest dodatni, w trzeciej tangens i cotangens, w czwartej cosinus.
Tożsamości trygonometryczne to twoje sekretne bronie. Najważniejsza to sin²α + cos²α = 1 - nazywa się jedynką trygonometryczną. Plus tangens to sinus przez cosinus - proste!
Wzory redukcyjne pokazują, że sin(90° - α) = cos α. To znaczy, że funkcje kątów dopełniających się do 90° są ze sobą połączone.
💡 Wskazówka: Zapamiętaj "All Students Take Calculus" dla znaków w ćwiartkach: All (wszystkie dodatnie), Students (sin dodatni), Take (tg dodatni), Calculus (cos dodatni)

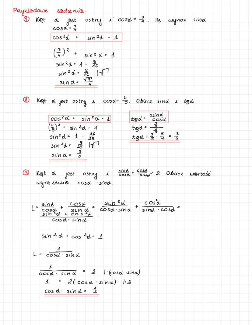
Większość zadań opiera się na jedynce trygonometrycznej: sin²α + cos²α = 1. Gdy znasz jedną funkcję, możesz łatwo obliczyć pozostałe!
W pierwszym przykładzie: mając cos α = 3/4, podstawiasz do wzoru i wychodzi sin α = √7/4. W drugim zadaniu dodatkowo obliczasz tangens przez sin α/cos α = 3/4.
Najtrudniejsze zadanie pokazuje, jak przekształcać skomplikowane wyrażenia. Kluczem jest zauważenie, że sin²α + cos²α = 1, więc całe wyrażenie upraszcza się do 1/(cos α · sin α).
💡 Strategia: Zawsze szukaj sposobu na użycie jedynki trygonometrycznej - to twój najlepszy przyjaciel w trudnych zadaniach!
Nasz asystent AI jest specjalnie dostosowany do potrzeb uczniów. W oparciu o miliony treści, które mamy na platformie, możemy udzielać uczniom naprawdę znaczących i trafnych odpowiedzi. Ale nie chodzi tylko o odpowiedzi, towarzysz prowadzi również uczniów przez codzienne wyzwania związane z nauką, ze spersonalizowanymi planami nauki, quizami lub treściami na czacie i 100% personalizacją opartą na umiejętnościach i rozwoju uczniów.
Aplikację możesz pobrać z Google Play i Apple Store.
Tak, masz całkowicie darmowy dostęp do wszystkich notatek w aplikacji, możesz w każdej chwili rozmawiać z Ekspertami lub ich obserwować. Możesz użyć punktów, aby odblokować pewne funkcje w aplikacji, które również możesz otrzymać za darmo. Dodatkowo oferujemy usługę Knowunity Premium, która pozwala na odblokowanie większej liczby funkcji.
Kompleksowe tablice maturalne z kluczowymi wzorami i definicjami z matematyki, obejmujące trygonometrię, geometrię, funkcje oraz statystykę. Idealne do nauki i przygotowania do matury.
App Store
Google Play
Aplikacja jest bardzo prosta i dobrze przemyślana. Do tej pory znalazłem wszystko, czego szukałem i mogłem się wiele nauczyć z innych notatek! Na pewno wykorzystam aplikację do pomocy przy robieniu prac domowych! No i oczywiście bardzo pomaga też jako inspiracja do robienia swoich notatek.
Stefan S
użytkownik iOS
Ta aplikacja jest naprawdę świetna. Jest tak wiele notatek i pomocnych informacji [...]. Moim problematycznym przedmiotem jest język niemiecki, a w aplikacji jest w czym wybierać. Dzięki tej aplikacji poprawiłam swój niemiecki. Polecam ją każdemu.
Samantha Klich
użytkownik Androida
Wow, jestem w szoku. Właśnie wypróbowałam aplikację, ponieważ widziałam ją kilka razy reklamowaną na TikToku jestem absolutnie w szoku. Ta aplikacja jest POMOCĄ, której potrzebujesz w szkole i przede wszystkim oferuje tak wiele rzeczy jak notatki czy streszczenia, które są BARDZO pomocne w moim przypadku.
Anna
użytkownik iOS
Kocham tę aplikację! Pomaga mi w zadaniach domowych, motywuje mnie i polepsza mi dzień. Dzięki tej aplikacji moje oceny się poprawiły. Lepszej aplikacji nie znajdę!🩷
Patrycja
użytkowniczka iOS
Super aplikacja! Ma odpowiedzi na wszystkie zadania. Testuję ją od paru miesięcy i jest po prostu perfekcyjna.
Szymon
użytkownik Android
Super aplikacja do nauki i sprawdzania wiedzy. Można znaleźć notatki z WSZYSTKICH przedmiotów. Polecam tym, którzy celują w oceny 5 i 6 😄
Szymon
użytkownik iOS
Aplikacja jest po prostu świetna! Wystarczy, że wpiszę w pasku wyszukiwania swój temat i od razu mam wyniki. Nie muszę oglądać 10 filmów na YouTube, żeby coś zrozumieć, więc oszczędzam swój czas. Po prostu polecam!
Kuba T
użytkownik Androida
W szkole byłem bardzo kiepski z matematyki, ale dzięki tej aplikacji radzę sobie teraz lepiej. Jestem bardzo wdzięczny, że ją stworzyliście.
Kriss
użytkownik Androida
Korzystam z Knowunity od ponad roku i jest mega! Najlepsze opcje z tej apki: ⭐️ Gotowe notatki ⭐️ Spersonalizowane treści ⭐️ Dostęp do chatu GPT W WERSJI SZKOLNEJ ⭐️ Konwersacje z innymi uczniami 🤍 NAUKA WRESZCIE NIE JEST NUDNA 🤍
Gosia
użytkowniczka Android
Bardzo lubię aplikację Knowunity, ponieważ pomaga mi w nauce. Odkąd ją mam moje oceny się poprawiają :)
Sara
użytkowniczka iOS
QUIZY I FISZKI SĄ SUPER PRZYDATNE I UWIELBIAM Knowunity AI. TO JEST DOSŁOWNIE JAK CHATGPT ALE MĄDRZEJSZY!! POMÓGŁ MI NAWET Z PROBLEMAMI Z TUSZEM DO RZĘS!! A TAKŻE Z PRAWDZIWYMI PRZEDMIOTAMI! OCZYWIŚCIE 😍😁😲🤑💗✨🎀😮
Krzysztof
użytkownik Android
Bardzo fajna aplikacja. Pomaga przygotować się do sprawdzianu, kartkówki lub odpowiedzi ustnej.
Oliwia
użytkowniczka iOS
Aplikacja jest bardzo prosta i dobrze przemyślana. Do tej pory znalazłem wszystko, czego szukałem i mogłem się wiele nauczyć z innych notatek! Na pewno wykorzystam aplikację do pomocy przy robieniu prac domowych! No i oczywiście bardzo pomaga też jako inspiracja do robienia swoich notatek.
Stefan S
użytkownik iOS
Ta aplikacja jest naprawdę świetna. Jest tak wiele notatek i pomocnych informacji [...]. Moim problematycznym przedmiotem jest język niemiecki, a w aplikacji jest w czym wybierać. Dzięki tej aplikacji poprawiłam swój niemiecki. Polecam ją każdemu.
Samantha Klich
użytkownik Androida
Wow, jestem w szoku. Właśnie wypróbowałam aplikację, ponieważ widziałam ją kilka razy reklamowaną na TikToku jestem absolutnie w szoku. Ta aplikacja jest POMOCĄ, której potrzebujesz w szkole i przede wszystkim oferuje tak wiele rzeczy jak notatki czy streszczenia, które są BARDZO pomocne w moim przypadku.
Anna
użytkownik iOS
Kocham tę aplikację! Pomaga mi w zadaniach domowych, motywuje mnie i polepsza mi dzień. Dzięki tej aplikacji moje oceny się poprawiły. Lepszej aplikacji nie znajdę!🩷
Patrycja
użytkowniczka iOS
Super aplikacja! Ma odpowiedzi na wszystkie zadania. Testuję ją od paru miesięcy i jest po prostu perfekcyjna.
Szymon
użytkownik Android
Super aplikacja do nauki i sprawdzania wiedzy. Można znaleźć notatki z WSZYSTKICH przedmiotów. Polecam tym, którzy celują w oceny 5 i 6 😄
Szymon
użytkownik iOS
Aplikacja jest po prostu świetna! Wystarczy, że wpiszę w pasku wyszukiwania swój temat i od razu mam wyniki. Nie muszę oglądać 10 filmów na YouTube, żeby coś zrozumieć, więc oszczędzam swój czas. Po prostu polecam!
Kuba T
użytkownik Androida
W szkole byłem bardzo kiepski z matematyki, ale dzięki tej aplikacji radzę sobie teraz lepiej. Jestem bardzo wdzięczny, że ją stworzyliście.
Kriss
użytkownik Androida
Korzystam z Knowunity od ponad roku i jest mega! Najlepsze opcje z tej apki: ⭐️ Gotowe notatki ⭐️ Spersonalizowane treści ⭐️ Dostęp do chatu GPT W WERSJI SZKOLNEJ ⭐️ Konwersacje z innymi uczniami 🤍 NAUKA WRESZCIE NIE JEST NUDNA 🤍
Gosia
użytkowniczka Android
Bardzo lubię aplikację Knowunity, ponieważ pomaga mi w nauce. Odkąd ją mam moje oceny się poprawiają :)
Sara
użytkowniczka iOS
QUIZY I FISZKI SĄ SUPER PRZYDATNE I UWIELBIAM Knowunity AI. TO JEST DOSŁOWNIE JAK CHATGPT ALE MĄDRZEJSZY!! POMÓGŁ MI NAWET Z PROBLEMAMI Z TUSZEM DO RZĘS!! A TAKŻE Z PRAWDZIWYMI PRZEDMIOTAMI! OCZYWIŚCIE 😍😁😲🤑💗✨🎀😮
Krzysztof
użytkownik Android
Bardzo fajna aplikacja. Pomaga przygotować się do sprawdzianu, kartkówki lub odpowiedzi ustnej.
Oliwia
użytkowniczka iOS
Trygonometria to dział matematyki, który łączy kąty z bokami trójkątów - brzmi skomplikowanie, ale to naprawdę przydatne narzędzie! Poznasz funkcje trygonometryczne, które pomagają rozwiązywać problemy nie tylko w matematyce, ale też w fizyce czy informatyce.

Dostęp do wszystkich materiałów
Popraw swoje oceny
Dołącz do milionów studentów
W trójkącie prostokątnym masz do dyspozycji cztery super funkcje: sinus, cosinus, tangens i cotangens. Każda z nich to po prostu stosunek dwóch boków trójkąta.
Sinus to stosunek boku naprzeciwko kąta do przeciwprostokątnej (najdłuższego boku). Cosinus to stosunek boku przy kącie do przeciwprostokątnej.
Tangens dzieli bok naprzeciwko przez bok przy kącie, a cotangens robi to na odwrót. To jak przepis na ciasto - zawsze te same składniki, tylko w innej kolejności!
💡 Zapamiętaj: Sin = naprzeciw/przeciwprostokątna, Cos = przy kącie/przeciwprostokątna
Te trzy kąty są jak gwiazdy trygonometrii - pojawiają się wszędzie! Dla kąta 45° sin i cos są równe √2/2, a tangens i cotangens wynoszą 1.
Dla kątów 30° i 60° wartości są bardziej różnorodne, ale są ze sobą związane - to co jest sinusem 30°, staje się cosinusem 60°. Natura lubi symetrię!

Dostęp do wszystkich materiałów
Popraw swoje oceny
Dołącz do milionów studentów
Kąt skierowany to nie tylko liczba - ma kierunek! Składa się z ramienia początkowego i końcowego, które mają wspólny początek.
Jeśli obracasz ramię zgodnie z ruchem wskazówek zegara, kąt jest ujemny. Przeciwnie do wskazówek? Dodatni! To jak taniec - kierunek ma znaczenie.
Każdy kąt można zapisać jako α + k·360°, gdzie k to liczba pełnych obrotów. Dzięki temu jeden kąt może mieć nieskończenie wiele miar - ale wszystkie opisują tę samą pozycję.
💡 Pamiętaj: Dodatnie kąty = przeciwnie do wskazówek zegara, ujemne = zgodnie ze wskazówkami

Dostęp do wszystkich materiałów
Popraw swoje oceny
Dołącz do milionów studentów
W układzie współrzędnych funkcje trygonometryczne działają dla każdego kąta, nie tylko w trójkącie! Sinus to y/r, cosinus to x/r, gdzie r to odległość od początku układu.
Znaki funkcji zmieniają się w różnych ćwiartkach. W pierwszej ćwiartce wszystkie są dodatnie - to twoja bezpieczna strefa! W drugiej tylko sinus jest dodatni, w trzeciej tangens i cotangens, w czwartej cosinus.
Tożsamości trygonometryczne to twoje sekretne bronie. Najważniejsza to sin²α + cos²α = 1 - nazywa się jedynką trygonometryczną. Plus tangens to sinus przez cosinus - proste!
Wzory redukcyjne pokazują, że sin(90° - α) = cos α. To znaczy, że funkcje kątów dopełniających się do 90° są ze sobą połączone.
💡 Wskazówka: Zapamiętaj "All Students Take Calculus" dla znaków w ćwiartkach: All (wszystkie dodatnie), Students (sin dodatni), Take (tg dodatni), Calculus (cos dodatni)

Dostęp do wszystkich materiałów
Popraw swoje oceny
Dołącz do milionów studentów
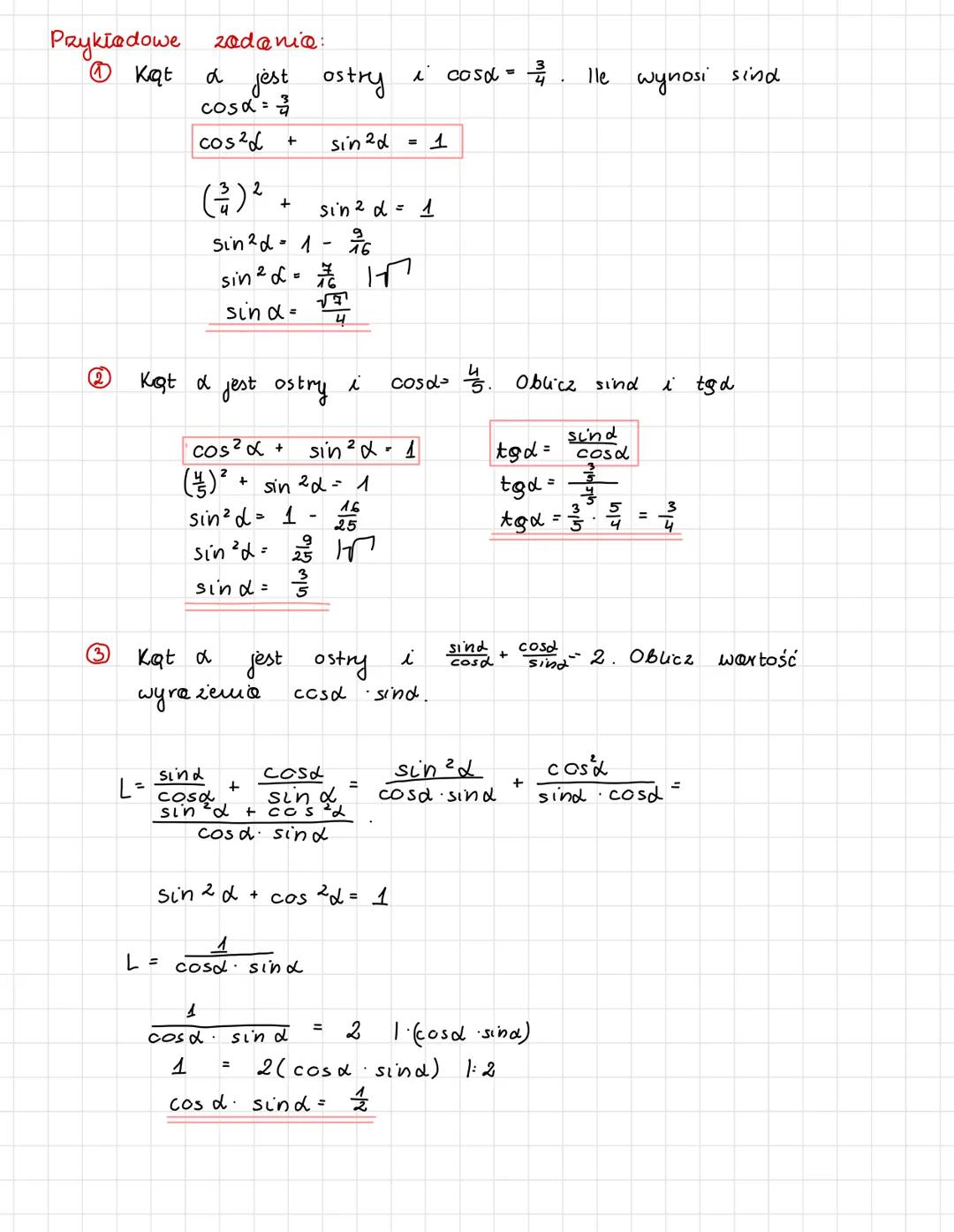
Większość zadań opiera się na jedynce trygonometrycznej: sin²α + cos²α = 1. Gdy znasz jedną funkcję, możesz łatwo obliczyć pozostałe!
W pierwszym przykładzie: mając cos α = 3/4, podstawiasz do wzoru i wychodzi sin α = √7/4. W drugim zadaniu dodatkowo obliczasz tangens przez sin α/cos α = 3/4.
Najtrudniejsze zadanie pokazuje, jak przekształcać skomplikowane wyrażenia. Kluczem jest zauważenie, że sin²α + cos²α = 1, więc całe wyrażenie upraszcza się do 1/(cos α · sin α).
💡 Strategia: Zawsze szukaj sposobu na użycie jedynki trygonometrycznej - to twój najlepszy przyjaciel w trudnych zadaniach!
Nasz asystent AI jest specjalnie dostosowany do potrzeb uczniów. W oparciu o miliony treści, które mamy na platformie, możemy udzielać uczniom naprawdę znaczących i trafnych odpowiedzi. Ale nie chodzi tylko o odpowiedzi, towarzysz prowadzi również uczniów przez codzienne wyzwania związane z nauką, ze spersonalizowanymi planami nauki, quizami lub treściami na czacie i 100% personalizacją opartą na umiejętnościach i rozwoju uczniów.
Aplikację możesz pobrać z Google Play i Apple Store.
Tak, masz całkowicie darmowy dostęp do wszystkich notatek w aplikacji, możesz w każdej chwili rozmawiać z Ekspertami lub ich obserwować. Możesz użyć punktów, aby odblokować pewne funkcje w aplikacji, które również możesz otrzymać za darmo. Dodatkowo oferujemy usługę Knowunity Premium, która pozwala na odblokowanie większej liczby funkcji.
102
Inteligentne Narzędzia NOWE
Przekształć te notatki w: ✓ 50+ Pytań Testowych ✓ Interaktywne Fiszki ✓ Pełny egzamin próbny ✓ Plany Eseju
Zrozumienie kluczowych właściwości macierzy, w tym obliczania wyznaczników, transponowania oraz mnożenia. Notatka zawiera wzory i przykłady, które pomogą w nauce macierzy i ich zastosowań w matematyce. Idealna dla studentów przygotowujących się do egzaminów z algebry liniowej.
Zrozumienie Twierdzenia Talesa, które mówi o proporcjonalności odcinków w trójkątach podobnych. Obejmuje definicję, przykłady zastosowania oraz krok po kroku rozwiązanie zadania. Idealne dla uczniów przygotowujących się do egzaminów z geometrii.
Zrozumienie wykładników wymiernych i operacji na potęgach. Kluczowe wzory i przykłady, które pomogą w przygotowaniach do kartkówki lub sprawdzianu. Idealne dla uczniów szukających jasnych wyjaśnień i praktycznych zastosowań.
Zrozum zasady twierdzenia Talesa dotyczącego proporcjonalności odcinków w trójkątach. Przykłady obliczeń oraz zastosowanie cech podobieństwa trójkątów. Idealne dla uczniów przygotowujących się do egzaminów z geometrii.
Zgłębiaj zasady logiki, w tym negację, koniunkcję, alternatywę oraz implikację. Ta notatka zawiera kluczowe definicje i przykłady dotyczące zdań logicznych oraz ich złożoności. Idealna dla studentów poszukujących zrozumienia podstaw logiki matematycznej.
Praktyczny przewodnik po rozwiązywaniu nierówności kwadratowych. Zawiera szczegółowe przykłady, metody analizy parabol oraz zastosowanie wzorów kwadratowych. Idealne dla uczniów przygotowujących się do egzaminów z matematyki.
Kompleksowe tablice maturalne z kluczowymi wzorami i definicjami z matematyki, obejmujące trygonometrię, geometrię, funkcje oraz statystykę. Idealne do nauki i przygotowania do matury.
App Store
Google Play
Aplikacja jest bardzo prosta i dobrze przemyślana. Do tej pory znalazłem wszystko, czego szukałem i mogłem się wiele nauczyć z innych notatek! Na pewno wykorzystam aplikację do pomocy przy robieniu prac domowych! No i oczywiście bardzo pomaga też jako inspiracja do robienia swoich notatek.
Stefan S
użytkownik iOS
Ta aplikacja jest naprawdę świetna. Jest tak wiele notatek i pomocnych informacji [...]. Moim problematycznym przedmiotem jest język niemiecki, a w aplikacji jest w czym wybierać. Dzięki tej aplikacji poprawiłam swój niemiecki. Polecam ją każdemu.
Samantha Klich
użytkownik Androida
Wow, jestem w szoku. Właśnie wypróbowałam aplikację, ponieważ widziałam ją kilka razy reklamowaną na TikToku jestem absolutnie w szoku. Ta aplikacja jest POMOCĄ, której potrzebujesz w szkole i przede wszystkim oferuje tak wiele rzeczy jak notatki czy streszczenia, które są BARDZO pomocne w moim przypadku.
Anna
użytkownik iOS
Kocham tę aplikację! Pomaga mi w zadaniach domowych, motywuje mnie i polepsza mi dzień. Dzięki tej aplikacji moje oceny się poprawiły. Lepszej aplikacji nie znajdę!🩷
Patrycja
użytkowniczka iOS
Super aplikacja! Ma odpowiedzi na wszystkie zadania. Testuję ją od paru miesięcy i jest po prostu perfekcyjna.
Szymon
użytkownik Android
Super aplikacja do nauki i sprawdzania wiedzy. Można znaleźć notatki z WSZYSTKICH przedmiotów. Polecam tym, którzy celują w oceny 5 i 6 😄
Szymon
użytkownik iOS
Aplikacja jest po prostu świetna! Wystarczy, że wpiszę w pasku wyszukiwania swój temat i od razu mam wyniki. Nie muszę oglądać 10 filmów na YouTube, żeby coś zrozumieć, więc oszczędzam swój czas. Po prostu polecam!
Kuba T
użytkownik Androida
W szkole byłem bardzo kiepski z matematyki, ale dzięki tej aplikacji radzę sobie teraz lepiej. Jestem bardzo wdzięczny, że ją stworzyliście.
Kriss
użytkownik Androida
Korzystam z Knowunity od ponad roku i jest mega! Najlepsze opcje z tej apki: ⭐️ Gotowe notatki ⭐️ Spersonalizowane treści ⭐️ Dostęp do chatu GPT W WERSJI SZKOLNEJ ⭐️ Konwersacje z innymi uczniami 🤍 NAUKA WRESZCIE NIE JEST NUDNA 🤍
Gosia
użytkowniczka Android
Bardzo lubię aplikację Knowunity, ponieważ pomaga mi w nauce. Odkąd ją mam moje oceny się poprawiają :)
Sara
użytkowniczka iOS
QUIZY I FISZKI SĄ SUPER PRZYDATNE I UWIELBIAM Knowunity AI. TO JEST DOSŁOWNIE JAK CHATGPT ALE MĄDRZEJSZY!! POMÓGŁ MI NAWET Z PROBLEMAMI Z TUSZEM DO RZĘS!! A TAKŻE Z PRAWDZIWYMI PRZEDMIOTAMI! OCZYWIŚCIE 😍😁😲🤑💗✨🎀😮
Krzysztof
użytkownik Android
Bardzo fajna aplikacja. Pomaga przygotować się do sprawdzianu, kartkówki lub odpowiedzi ustnej.
Oliwia
użytkowniczka iOS
Aplikacja jest bardzo prosta i dobrze przemyślana. Do tej pory znalazłem wszystko, czego szukałem i mogłem się wiele nauczyć z innych notatek! Na pewno wykorzystam aplikację do pomocy przy robieniu prac domowych! No i oczywiście bardzo pomaga też jako inspiracja do robienia swoich notatek.
Stefan S
użytkownik iOS
Ta aplikacja jest naprawdę świetna. Jest tak wiele notatek i pomocnych informacji [...]. Moim problematycznym przedmiotem jest język niemiecki, a w aplikacji jest w czym wybierać. Dzięki tej aplikacji poprawiłam swój niemiecki. Polecam ją każdemu.
Samantha Klich
użytkownik Androida
Wow, jestem w szoku. Właśnie wypróbowałam aplikację, ponieważ widziałam ją kilka razy reklamowaną na TikToku jestem absolutnie w szoku. Ta aplikacja jest POMOCĄ, której potrzebujesz w szkole i przede wszystkim oferuje tak wiele rzeczy jak notatki czy streszczenia, które są BARDZO pomocne w moim przypadku.
Anna
użytkownik iOS
Kocham tę aplikację! Pomaga mi w zadaniach domowych, motywuje mnie i polepsza mi dzień. Dzięki tej aplikacji moje oceny się poprawiły. Lepszej aplikacji nie znajdę!🩷
Patrycja
użytkowniczka iOS
Super aplikacja! Ma odpowiedzi na wszystkie zadania. Testuję ją od paru miesięcy i jest po prostu perfekcyjna.
Szymon
użytkownik Android
Super aplikacja do nauki i sprawdzania wiedzy. Można znaleźć notatki z WSZYSTKICH przedmiotów. Polecam tym, którzy celują w oceny 5 i 6 😄
Szymon
użytkownik iOS
Aplikacja jest po prostu świetna! Wystarczy, że wpiszę w pasku wyszukiwania swój temat i od razu mam wyniki. Nie muszę oglądać 10 filmów na YouTube, żeby coś zrozumieć, więc oszczędzam swój czas. Po prostu polecam!
Kuba T
użytkownik Androida
W szkole byłem bardzo kiepski z matematyki, ale dzięki tej aplikacji radzę sobie teraz lepiej. Jestem bardzo wdzięczny, że ją stworzyliście.
Kriss
użytkownik Androida
Korzystam z Knowunity od ponad roku i jest mega! Najlepsze opcje z tej apki: ⭐️ Gotowe notatki ⭐️ Spersonalizowane treści ⭐️ Dostęp do chatu GPT W WERSJI SZKOLNEJ ⭐️ Konwersacje z innymi uczniami 🤍 NAUKA WRESZCIE NIE JEST NUDNA 🤍
Gosia
użytkowniczka Android
Bardzo lubię aplikację Knowunity, ponieważ pomaga mi w nauce. Odkąd ją mam moje oceny się poprawiają :)
Sara
użytkowniczka iOS
QUIZY I FISZKI SĄ SUPER PRZYDATNE I UWIELBIAM Knowunity AI. TO JEST DOSŁOWNIE JAK CHATGPT ALE MĄDRZEJSZY!! POMÓGŁ MI NAWET Z PROBLEMAMI Z TUSZEM DO RZĘS!! A TAKŻE Z PRAWDZIWYMI PRZEDMIOTAMI! OCZYWIŚCIE 😍😁😲🤑💗✨🎀😮
Krzysztof
użytkownik Android
Bardzo fajna aplikacja. Pomaga przygotować się do sprawdzianu, kartkówki lub odpowiedzi ustnej.
Oliwia
użytkowniczka iOS