Ułamki zwykłe to jeden z najważniejszych tematów w 4 klasie... Pokaż więcej
Zarejestruj się, aby zobaczyć notatkęTo nic nie kosztuje!
Dostęp do wszystkich materiałów
Popraw swoje oceny
Dołącz do milionów studentów
Knowunity AI
Przedmioty
Triangle Congruence and Similarity Theorems
Triangle Properties and Classification
Linear Equations and Graphs
Geometric Angle Relationships
Trigonometric Functions and Identities
Equation Solving Techniques
Circle Geometry Fundamentals
Division Operations and Methods
Basic Differentiation Rules
Exponent and Logarithm Properties
Pokaż wszystkie tematy
Human Organ Systems
Reproductive Cell Cycles
Biological Sciences Subdisciplines
Cellular Energy Metabolism
Autotrophic Energy Processes
Inheritance Patterns and Principles
Biomolecular Structure and Organization
Cell Cycle and Division Mechanics
Cellular Organization and Development
Biological Structural Organization
Pokaż wszystkie tematy
Chemical Sciences and Applications
Atomic Structure and Composition
Molecular Electron Structure Representation
Atomic Electron Behavior
Matter Properties and Water
Mole Concept and Calculations
Gas Laws and Behavior
Periodic Table Organization
Chemical Thermodynamics Fundamentals
Chemical Bond Types and Properties
Pokaż wszystkie tematy
European Renaissance and Enlightenment
European Cultural Movements 800-1920
American Revolution Era 1763-1797
American Civil War 1861-1865
Global Imperial Systems
Mongol and Chinese Dynasties
U.S. Presidents and World Leaders
Historical Sources and Documentation
World Wars Era and Impact
World Religious Systems
Pokaż wszystkie tematy
Classic and Contemporary Novels
Literary Character Analysis
Rhetorical Theory and Practice
Classic Literary Narratives
Reading Analysis and Interpretation
Narrative Structure and Techniques
English Language Components
Influential English-Language Authors
Basic Sentence Structure
Narrative Voice and Perspective
Pokaż wszystkie tematy
2,706
•
Zaktualizowano Mar 18, 2026
•
Janek Kołaziński
@anekoaziski_r2dtjjp8
Ułamki zwykłe to jeden z najważniejszych tematów w 4 klasie... Pokaż więcej






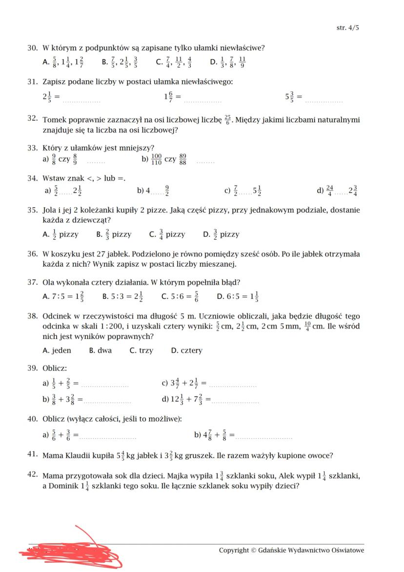
Ułamki zwykłe to sposób na zapisanie części całości - na przykład połowy pizzy czy jednej trzeciej czekolady. Składają się z licznika (górna liczba) i mianownika (dolna liczba).
Na osi liczbowej ułamki znajdziesz między liczbami całkowitymi. Pamiętaj, że im większy mianownik, tym na mniejsze części dzielimy całość.
Porównywanie ułamków jest proste, gdy mają ten sam mianownik - wtedy porównujesz tylko liczniki. Gdy mianowniki są różne, musisz znaleźć wspólny mianownik.
💡 Wskazówka: Żeby sprawdzić, czy dobrze zapisałeś ułamek, pomyśl: "Z ilu części składa się całość?" (mianownik) i "Ile części wzięliśmy?" (licznik).
Dodawanie i odejmowanie ułamków o tym samym mianowniku to łatwe - po prostu dodajesz lub odejmujesz liczniki, a mianownik zostawiasz bez zmian.

Ułamki niewłaściwe to takie, gdzie licznik jest większy lub równy mianownikowi - na przykład 7/4. Możesz je przekształcić w liczby mieszane (jak 1¾).
Gdy pracujesz z różnymi jednostkami czasu czy miary, ułamki są bardzo przydatne. 66 gramów to 66/1000 kilograma, a 2 doby to 2/30 lub 2/31 miesiąca (zależy od miesiąca).
Rozszerzanie ułamków oznacza mnożenie licznika i mianownika przez tę samą liczbę - ułamek nie zmienia swojej wartości, tylko wygląd.
💡 Wskazówka: Żeby sprawdzić, czy ułamek jest nieskracalny, sprawdź czy licznik i mianownik mają wspólne dzielniki (oprócz 1).
Ułamki nieskracalne to takie, których nie można już uprościć - licznik i mianownik nie mają wspólnych dzielników oprócz 1.

Umieszczanie ułamków na osi liczbowej wymaga podzielenia odcinka między liczbami całkowitymi na odpowiednią liczbę części. Dla ułamka 7/8 dzielisz odcinek na 8 części i zaznaczasz 7. część.
Porównywanie ułamków staje się łatwiejsze, gdy pamiętasz zasady: przy tym samym liczniku, większy jest ułamek z mniejszym mianownikiem. Przy tym samym mianowniku - większy licznik oznacza większy ułamek.
Gdy porównujesz ułamki z połową (1/2), pomyśl czy licznik to więcej czy mniej niż połowa mianownika. Ułamki 4/9, 2/9 to mniej niż połowa, a 8/9, 7/11 to więcej.
💡 Wskazówka: Żeby rozszerzyć ułamek do konkretnego licznika (np. 24), podziel ten licznik przez obecny licznik - otrzymasz liczbę, przez którą mnożysz licznik i mianownik.
Sprawdzanie równości ułamków możesz zrobić przez rozszerzanie - 4/9 i 8/18 to ten sam ułamek, bo 4×2=8 i 9×2=18.

Ułamki niewłaściwe to takie, gdzie licznik ≥ mianownik . Możesz je zamienić na liczby mieszane przez dzielenie - 23/6 = 3 i reszta 5, czyli 3⁵⁄₆.
Zamienianie liczb mieszanych na ułamki niewłaściwe: pomnóż całą część przez mianownik i dodaj licznik. Na przykład 2¹⁄₅ = (2×5+1)/5 = 11/5.
Przy dzieleniu liczb naturalnych przez siebie często otrzymujesz ułamki. 27 jabłek : 6 osób = 4¹⁄₂ jabłka na osobę (każda dostaje 4 jabłka i zostają 3, które dzielimy na pół).
💡 Wskazówka: Sprawdzając obliczenia kolegów, pamiętaj: 5:3 = 1²⁄₃ (nie 2¹⁄₂!), bo 3 mieści się w 5 jeden raz, reszta 2.
Dodawanie ułamków o różnych mianownikach wymaga znalezienia wspólnego mianownika. Dodawanie liczb mieszanych - dodajesz osobno całości i osobno ułamki.

Nasz asystent AI jest specjalnie dostosowany do potrzeb uczniów. W oparciu o miliony treści, które mamy na platformie, możemy udzielać uczniom naprawdę znaczących i trafnych odpowiedzi. Ale nie chodzi tylko o odpowiedzi, towarzysz prowadzi również uczniów przez codzienne wyzwania związane z nauką, ze spersonalizowanymi planami nauki, quizami lub treściami na czacie i 100% personalizacją opartą na umiejętnościach i rozwoju uczniów.
Aplikację możesz pobrać z Google Play i Apple Store.
Tak, masz całkowicie darmowy dostęp do wszystkich notatek w aplikacji, możesz w każdej chwili rozmawiać z Ekspertami lub ich obserwować. Możesz użyć punktów, aby odblokować pewne funkcje w aplikacji, które również możesz otrzymać za darmo. Dodatkowo oferujemy usługę Knowunity Premium, która pozwala na odblokowanie większej liczby funkcji.
App Store
Google Play
Aplikacja jest bardzo prosta i dobrze przemyślana. Do tej pory znalazłem wszystko, czego szukałem i mogłem się wiele nauczyć z innych notatek! Na pewno wykorzystam aplikację do pomocy przy robieniu prac domowych! No i oczywiście bardzo pomaga też jako inspiracja do robienia swoich notatek.
Stefan S
użytkownik iOS
Ta aplikacja jest naprawdę świetna. Jest tak wiele notatek i pomocnych informacji [...]. Moim problematycznym przedmiotem jest język niemiecki, a w aplikacji jest w czym wybierać. Dzięki tej aplikacji poprawiłam swój niemiecki. Polecam ją każdemu.
Samantha Klich
użytkownik Androida
Wow, jestem w szoku. Właśnie wypróbowałam aplikację, ponieważ widziałam ją kilka razy reklamowaną na TikToku jestem absolutnie w szoku. Ta aplikacja jest POMOCĄ, której potrzebujesz w szkole i przede wszystkim oferuje tak wiele rzeczy jak notatki czy streszczenia, które są BARDZO pomocne w moim przypadku.
Anna
użytkownik iOS
Kocham tę aplikację! Pomaga mi w zadaniach domowych, motywuje mnie i polepsza mi dzień. Dzięki tej aplikacji moje oceny się poprawiły. Lepszej aplikacji nie znajdę!🩷
Patrycja
użytkowniczka iOS
Super aplikacja! Ma odpowiedzi na wszystkie zadania. Testuję ją od paru miesięcy i jest po prostu perfekcyjna.
Szymon
użytkownik Android
Super aplikacja do nauki i sprawdzania wiedzy. Można znaleźć notatki z WSZYSTKICH przedmiotów. Polecam tym, którzy celują w oceny 5 i 6 😄
Szymon
użytkownik iOS
Aplikacja jest po prostu świetna! Wystarczy, że wpiszę w pasku wyszukiwania swój temat i od razu mam wyniki. Nie muszę oglądać 10 filmów na YouTube, żeby coś zrozumieć, więc oszczędzam swój czas. Po prostu polecam!
Kuba T
użytkownik Androida
W szkole byłem bardzo kiepski z matematyki, ale dzięki tej aplikacji radzę sobie teraz lepiej. Jestem bardzo wdzięczny, że ją stworzyliście.
Kriss
użytkownik Androida
Korzystam z Knowunity od ponad roku i jest mega! Najlepsze opcje z tej apki: ⭐️ Gotowe notatki ⭐️ Spersonalizowane treści ⭐️ Dostęp do chatu GPT W WERSJI SZKOLNEJ ⭐️ Konwersacje z innymi uczniami 🤍 NAUKA WRESZCIE NIE JEST NUDNA 🤍
Gosia
użytkowniczka Android
Bardzo lubię aplikację Knowunity, ponieważ pomaga mi w nauce. Odkąd ją mam moje oceny się poprawiają :)
Sara
użytkowniczka iOS
QUIZY I FISZKI SĄ SUPER PRZYDATNE I UWIELBIAM Knowunity AI. TO JEST DOSŁOWNIE JAK CHATGPT ALE MĄDRZEJSZY!! POMÓGŁ MI NAWET Z PROBLEMAMI Z TUSZEM DO RZĘS!! A TAKŻE Z PRAWDZIWYMI PRZEDMIOTAMI! OCZYWIŚCIE 😍😁😲🤑💗✨🎀😮
Krzysztof
użytkownik Android
Bardzo fajna aplikacja. Pomaga przygotować się do sprawdzianu, kartkówki lub odpowiedzi ustnej.
Oliwia
użytkowniczka iOS
Aplikacja jest bardzo prosta i dobrze przemyślana. Do tej pory znalazłem wszystko, czego szukałem i mogłem się wiele nauczyć z innych notatek! Na pewno wykorzystam aplikację do pomocy przy robieniu prac domowych! No i oczywiście bardzo pomaga też jako inspiracja do robienia swoich notatek.
Stefan S
użytkownik iOS
Ta aplikacja jest naprawdę świetna. Jest tak wiele notatek i pomocnych informacji [...]. Moim problematycznym przedmiotem jest język niemiecki, a w aplikacji jest w czym wybierać. Dzięki tej aplikacji poprawiłam swój niemiecki. Polecam ją każdemu.
Samantha Klich
użytkownik Androida
Wow, jestem w szoku. Właśnie wypróbowałam aplikację, ponieważ widziałam ją kilka razy reklamowaną na TikToku jestem absolutnie w szoku. Ta aplikacja jest POMOCĄ, której potrzebujesz w szkole i przede wszystkim oferuje tak wiele rzeczy jak notatki czy streszczenia, które są BARDZO pomocne w moim przypadku.
Anna
użytkownik iOS
Kocham tę aplikację! Pomaga mi w zadaniach domowych, motywuje mnie i polepsza mi dzień. Dzięki tej aplikacji moje oceny się poprawiły. Lepszej aplikacji nie znajdę!🩷
Patrycja
użytkowniczka iOS
Super aplikacja! Ma odpowiedzi na wszystkie zadania. Testuję ją od paru miesięcy i jest po prostu perfekcyjna.
Szymon
użytkownik Android
Super aplikacja do nauki i sprawdzania wiedzy. Można znaleźć notatki z WSZYSTKICH przedmiotów. Polecam tym, którzy celują w oceny 5 i 6 😄
Szymon
użytkownik iOS
Aplikacja jest po prostu świetna! Wystarczy, że wpiszę w pasku wyszukiwania swój temat i od razu mam wyniki. Nie muszę oglądać 10 filmów na YouTube, żeby coś zrozumieć, więc oszczędzam swój czas. Po prostu polecam!
Kuba T
użytkownik Androida
W szkole byłem bardzo kiepski z matematyki, ale dzięki tej aplikacji radzę sobie teraz lepiej. Jestem bardzo wdzięczny, że ją stworzyliście.
Kriss
użytkownik Androida
Korzystam z Knowunity od ponad roku i jest mega! Najlepsze opcje z tej apki: ⭐️ Gotowe notatki ⭐️ Spersonalizowane treści ⭐️ Dostęp do chatu GPT W WERSJI SZKOLNEJ ⭐️ Konwersacje z innymi uczniami 🤍 NAUKA WRESZCIE NIE JEST NUDNA 🤍
Gosia
użytkowniczka Android
Bardzo lubię aplikację Knowunity, ponieważ pomaga mi w nauce. Odkąd ją mam moje oceny się poprawiają :)
Sara
użytkowniczka iOS
QUIZY I FISZKI SĄ SUPER PRZYDATNE I UWIELBIAM Knowunity AI. TO JEST DOSŁOWNIE JAK CHATGPT ALE MĄDRZEJSZY!! POMÓGŁ MI NAWET Z PROBLEMAMI Z TUSZEM DO RZĘS!! A TAKŻE Z PRAWDZIWYMI PRZEDMIOTAMI! OCZYWIŚCIE 😍😁😲🤑💗✨🎀😮
Krzysztof
użytkownik Android
Bardzo fajna aplikacja. Pomaga przygotować się do sprawdzianu, kartkówki lub odpowiedzi ustnej.
Oliwia
użytkowniczka iOS
Janek Kołaziński
@anekoaziski_r2dtjjp8
Ułamki zwykłe to jeden z najważniejszych tematów w 4 klasie - pozwalają nam opisać części całości i wykonywać na nich działania. Ten zestaw ćwiczeń pomoże Ci opanować wszystko, od podstaw po bardziej zaawansowane obliczenia.

Dostęp do wszystkich materiałów
Popraw swoje oceny
Dołącz do milionów studentów
Ułamki zwykłe to sposób na zapisanie części całości - na przykład połowy pizzy czy jednej trzeciej czekolady. Składają się z licznika (górna liczba) i mianownika (dolna liczba).
Na osi liczbowej ułamki znajdziesz między liczbami całkowitymi. Pamiętaj, że im większy mianownik, tym na mniejsze części dzielimy całość.
Porównywanie ułamków jest proste, gdy mają ten sam mianownik - wtedy porównujesz tylko liczniki. Gdy mianowniki są różne, musisz znaleźć wspólny mianownik.
💡 Wskazówka: Żeby sprawdzić, czy dobrze zapisałeś ułamek, pomyśl: "Z ilu części składa się całość?" (mianownik) i "Ile części wzięliśmy?" (licznik).
Dodawanie i odejmowanie ułamków o tym samym mianowniku to łatwe - po prostu dodajesz lub odejmujesz liczniki, a mianownik zostawiasz bez zmian.

Dostęp do wszystkich materiałów
Popraw swoje oceny
Dołącz do milionów studentów
Ułamki niewłaściwe to takie, gdzie licznik jest większy lub równy mianownikowi - na przykład 7/4. Możesz je przekształcić w liczby mieszane (jak 1¾).
Gdy pracujesz z różnymi jednostkami czasu czy miary, ułamki są bardzo przydatne. 66 gramów to 66/1000 kilograma, a 2 doby to 2/30 lub 2/31 miesiąca (zależy od miesiąca).
Rozszerzanie ułamków oznacza mnożenie licznika i mianownika przez tę samą liczbę - ułamek nie zmienia swojej wartości, tylko wygląd.
💡 Wskazówka: Żeby sprawdzić, czy ułamek jest nieskracalny, sprawdź czy licznik i mianownik mają wspólne dzielniki (oprócz 1).
Ułamki nieskracalne to takie, których nie można już uprościć - licznik i mianownik nie mają wspólnych dzielników oprócz 1.

Dostęp do wszystkich materiałów
Popraw swoje oceny
Dołącz do milionów studentów
Umieszczanie ułamków na osi liczbowej wymaga podzielenia odcinka między liczbami całkowitymi na odpowiednią liczbę części. Dla ułamka 7/8 dzielisz odcinek na 8 części i zaznaczasz 7. część.
Porównywanie ułamków staje się łatwiejsze, gdy pamiętasz zasady: przy tym samym liczniku, większy jest ułamek z mniejszym mianownikiem. Przy tym samym mianowniku - większy licznik oznacza większy ułamek.
Gdy porównujesz ułamki z połową (1/2), pomyśl czy licznik to więcej czy mniej niż połowa mianownika. Ułamki 4/9, 2/9 to mniej niż połowa, a 8/9, 7/11 to więcej.
💡 Wskazówka: Żeby rozszerzyć ułamek do konkretnego licznika (np. 24), podziel ten licznik przez obecny licznik - otrzymasz liczbę, przez którą mnożysz licznik i mianownik.
Sprawdzanie równości ułamków możesz zrobić przez rozszerzanie - 4/9 i 8/18 to ten sam ułamek, bo 4×2=8 i 9×2=18.

Dostęp do wszystkich materiałów
Popraw swoje oceny
Dołącz do milionów studentów
Ułamki niewłaściwe to takie, gdzie licznik ≥ mianownik . Możesz je zamienić na liczby mieszane przez dzielenie - 23/6 = 3 i reszta 5, czyli 3⁵⁄₆.
Zamienianie liczb mieszanych na ułamki niewłaściwe: pomnóż całą część przez mianownik i dodaj licznik. Na przykład 2¹⁄₅ = (2×5+1)/5 = 11/5.
Przy dzieleniu liczb naturalnych przez siebie często otrzymujesz ułamki. 27 jabłek : 6 osób = 4¹⁄₂ jabłka na osobę (każda dostaje 4 jabłka i zostają 3, które dzielimy na pół).
💡 Wskazówka: Sprawdzając obliczenia kolegów, pamiętaj: 5:3 = 1²⁄₃ (nie 2¹⁄₂!), bo 3 mieści się w 5 jeden raz, reszta 2.
Dodawanie ułamków o różnych mianownikach wymaga znalezienia wspólnego mianownika. Dodawanie liczb mieszanych - dodajesz osobno całości i osobno ułamki.

Dostęp do wszystkich materiałów
Popraw swoje oceny
Dołącz do milionów studentów
Nasz asystent AI jest specjalnie dostosowany do potrzeb uczniów. W oparciu o miliony treści, które mamy na platformie, możemy udzielać uczniom naprawdę znaczących i trafnych odpowiedzi. Ale nie chodzi tylko o odpowiedzi, towarzysz prowadzi również uczniów przez codzienne wyzwania związane z nauką, ze spersonalizowanymi planami nauki, quizami lub treściami na czacie i 100% personalizacją opartą na umiejętnościach i rozwoju uczniów.
Aplikację możesz pobrać z Google Play i Apple Store.
Tak, masz całkowicie darmowy dostęp do wszystkich notatek w aplikacji, możesz w każdej chwili rozmawiać z Ekspertami lub ich obserwować. Możesz użyć punktów, aby odblokować pewne funkcje w aplikacji, które również możesz otrzymać za darmo. Dodatkowo oferujemy usługę Knowunity Premium, która pozwala na odblokowanie większej liczby funkcji.
28
Inteligentne Narzędzia NOWE
Przekształć te notatki w: ✓ 50+ Pytań Testowych ✓ Interaktywne Fiszki ✓ Pełny egzamin próbny ✓ Plany Eseju
Zadania matematyka klasa 5 dział 1: liczby i dzialania
Kompleksowe podsumowanie kluczowych zagadnień matematycznych dla uczniów klasy 6. Obejmuje działania pisemne, rozszerzanie i skracanie liczb, dodawanie, odejmowanie, mnożenie oraz dzielenie. Idealne do przygotowania się do egzaminów i sprawdzianów.
Będzie szóstka
Zbiór różnorodnych ćwiczeń matematycznych dla uczniów klasy 5, obejmujący dodawanie, odejmowanie, mnożenie i dzielenie. Materiał dostosowany do poziomu uczniów, wspierający utrwalanie wiedzy oraz przygotowanie do sprawdzianów. Idealny do samodzielnej nauki i oceny postępów.
Zestaw zadań do obliczeń matematycznych dla uczniów klasy 5. Obejmuje działania pisemne, obliczenia w pamięci oraz zadania praktyczne związane z dodawaniem, odejmowaniem, mnożeniem i dzieleniem. Idealne do ćwiczenia umiejętności arytmetycznych i rozwiązywania problemów. Zawiera również porównania reszt z dzielenia oraz zadania z zastosowaniem jednostek miary.
Zrozumienie mnożenia i dzielenia ułamków dziesiętnych. Praktyczne przykłady i ćwiczenia, które pomogą w opanowaniu rachunków pamięciowych. Idealne dla uczniów przygotowujących się do sprawdzianów z matematyki.
App Store
Google Play
Aplikacja jest bardzo prosta i dobrze przemyślana. Do tej pory znalazłem wszystko, czego szukałem i mogłem się wiele nauczyć z innych notatek! Na pewno wykorzystam aplikację do pomocy przy robieniu prac domowych! No i oczywiście bardzo pomaga też jako inspiracja do robienia swoich notatek.
Stefan S
użytkownik iOS
Ta aplikacja jest naprawdę świetna. Jest tak wiele notatek i pomocnych informacji [...]. Moim problematycznym przedmiotem jest język niemiecki, a w aplikacji jest w czym wybierać. Dzięki tej aplikacji poprawiłam swój niemiecki. Polecam ją każdemu.
Samantha Klich
użytkownik Androida
Wow, jestem w szoku. Właśnie wypróbowałam aplikację, ponieważ widziałam ją kilka razy reklamowaną na TikToku jestem absolutnie w szoku. Ta aplikacja jest POMOCĄ, której potrzebujesz w szkole i przede wszystkim oferuje tak wiele rzeczy jak notatki czy streszczenia, które są BARDZO pomocne w moim przypadku.
Anna
użytkownik iOS
Kocham tę aplikację! Pomaga mi w zadaniach domowych, motywuje mnie i polepsza mi dzień. Dzięki tej aplikacji moje oceny się poprawiły. Lepszej aplikacji nie znajdę!🩷
Patrycja
użytkowniczka iOS
Super aplikacja! Ma odpowiedzi na wszystkie zadania. Testuję ją od paru miesięcy i jest po prostu perfekcyjna.
Szymon
użytkownik Android
Super aplikacja do nauki i sprawdzania wiedzy. Można znaleźć notatki z WSZYSTKICH przedmiotów. Polecam tym, którzy celują w oceny 5 i 6 😄
Szymon
użytkownik iOS
Aplikacja jest po prostu świetna! Wystarczy, że wpiszę w pasku wyszukiwania swój temat i od razu mam wyniki. Nie muszę oglądać 10 filmów na YouTube, żeby coś zrozumieć, więc oszczędzam swój czas. Po prostu polecam!
Kuba T
użytkownik Androida
W szkole byłem bardzo kiepski z matematyki, ale dzięki tej aplikacji radzę sobie teraz lepiej. Jestem bardzo wdzięczny, że ją stworzyliście.
Kriss
użytkownik Androida
Korzystam z Knowunity od ponad roku i jest mega! Najlepsze opcje z tej apki: ⭐️ Gotowe notatki ⭐️ Spersonalizowane treści ⭐️ Dostęp do chatu GPT W WERSJI SZKOLNEJ ⭐️ Konwersacje z innymi uczniami 🤍 NAUKA WRESZCIE NIE JEST NUDNA 🤍
Gosia
użytkowniczka Android
Bardzo lubię aplikację Knowunity, ponieważ pomaga mi w nauce. Odkąd ją mam moje oceny się poprawiają :)
Sara
użytkowniczka iOS
QUIZY I FISZKI SĄ SUPER PRZYDATNE I UWIELBIAM Knowunity AI. TO JEST DOSŁOWNIE JAK CHATGPT ALE MĄDRZEJSZY!! POMÓGŁ MI NAWET Z PROBLEMAMI Z TUSZEM DO RZĘS!! A TAKŻE Z PRAWDZIWYMI PRZEDMIOTAMI! OCZYWIŚCIE 😍😁😲🤑💗✨🎀😮
Krzysztof
użytkownik Android
Bardzo fajna aplikacja. Pomaga przygotować się do sprawdzianu, kartkówki lub odpowiedzi ustnej.
Oliwia
użytkowniczka iOS
Aplikacja jest bardzo prosta i dobrze przemyślana. Do tej pory znalazłem wszystko, czego szukałem i mogłem się wiele nauczyć z innych notatek! Na pewno wykorzystam aplikację do pomocy przy robieniu prac domowych! No i oczywiście bardzo pomaga też jako inspiracja do robienia swoich notatek.
Stefan S
użytkownik iOS
Ta aplikacja jest naprawdę świetna. Jest tak wiele notatek i pomocnych informacji [...]. Moim problematycznym przedmiotem jest język niemiecki, a w aplikacji jest w czym wybierać. Dzięki tej aplikacji poprawiłam swój niemiecki. Polecam ją każdemu.
Samantha Klich
użytkownik Androida
Wow, jestem w szoku. Właśnie wypróbowałam aplikację, ponieważ widziałam ją kilka razy reklamowaną na TikToku jestem absolutnie w szoku. Ta aplikacja jest POMOCĄ, której potrzebujesz w szkole i przede wszystkim oferuje tak wiele rzeczy jak notatki czy streszczenia, które są BARDZO pomocne w moim przypadku.
Anna
użytkownik iOS
Kocham tę aplikację! Pomaga mi w zadaniach domowych, motywuje mnie i polepsza mi dzień. Dzięki tej aplikacji moje oceny się poprawiły. Lepszej aplikacji nie znajdę!🩷
Patrycja
użytkowniczka iOS
Super aplikacja! Ma odpowiedzi na wszystkie zadania. Testuję ją od paru miesięcy i jest po prostu perfekcyjna.
Szymon
użytkownik Android
Super aplikacja do nauki i sprawdzania wiedzy. Można znaleźć notatki z WSZYSTKICH przedmiotów. Polecam tym, którzy celują w oceny 5 i 6 😄
Szymon
użytkownik iOS
Aplikacja jest po prostu świetna! Wystarczy, że wpiszę w pasku wyszukiwania swój temat i od razu mam wyniki. Nie muszę oglądać 10 filmów na YouTube, żeby coś zrozumieć, więc oszczędzam swój czas. Po prostu polecam!
Kuba T
użytkownik Androida
W szkole byłem bardzo kiepski z matematyki, ale dzięki tej aplikacji radzę sobie teraz lepiej. Jestem bardzo wdzięczny, że ją stworzyliście.
Kriss
użytkownik Androida
Korzystam z Knowunity od ponad roku i jest mega! Najlepsze opcje z tej apki: ⭐️ Gotowe notatki ⭐️ Spersonalizowane treści ⭐️ Dostęp do chatu GPT W WERSJI SZKOLNEJ ⭐️ Konwersacje z innymi uczniami 🤍 NAUKA WRESZCIE NIE JEST NUDNA 🤍
Gosia
użytkowniczka Android
Bardzo lubię aplikację Knowunity, ponieważ pomaga mi w nauce. Odkąd ją mam moje oceny się poprawiają :)
Sara
użytkowniczka iOS
QUIZY I FISZKI SĄ SUPER PRZYDATNE I UWIELBIAM Knowunity AI. TO JEST DOSŁOWNIE JAK CHATGPT ALE MĄDRZEJSZY!! POMÓGŁ MI NAWET Z PROBLEMAMI Z TUSZEM DO RZĘS!! A TAKŻE Z PRAWDZIWYMI PRZEDMIOTAMI! OCZYWIŚCIE 😍😁😲🤑💗✨🎀😮
Krzysztof
użytkownik Android
Bardzo fajna aplikacja. Pomaga przygotować się do sprawdzianu, kartkówki lub odpowiedzi ustnej.
Oliwia
użytkowniczka iOS