Aldehydy to ważne związki organiczne zawierające grupę karbonylową (C=O) na... Pokaż więcej
Zarejestruj się, aby zobaczyć notatkęTo nic nie kosztuje!
Dostęp do wszystkich materiałów
Popraw swoje oceny
Dołącz do milionów studentów
Knowunity AI
Przedmioty
Triangle Congruence and Similarity Theorems
Triangle Properties and Classification
Linear Equations and Graphs
Geometric Angle Relationships
Trigonometric Functions and Identities
Equation Solving Techniques
Circle Geometry Fundamentals
Division Operations and Methods
Basic Differentiation Rules
Exponent and Logarithm Properties
Pokaż wszystkie tematy
Human Organ Systems
Reproductive Cell Cycles
Biological Sciences Subdisciplines
Cellular Energy Metabolism
Autotrophic Energy Processes
Inheritance Patterns and Principles
Biomolecular Structure and Organization
Cell Cycle and Division Mechanics
Cellular Organization and Development
Biological Structural Organization
Pokaż wszystkie tematy
Chemical Sciences and Applications
Atomic Structure and Composition
Molecular Electron Structure Representation
Atomic Electron Behavior
Matter Properties and Water
Mole Concept and Calculations
Gas Laws and Behavior
Periodic Table Organization
Chemical Thermodynamics Fundamentals
Chemical Bond Types and Properties
Pokaż wszystkie tematy
European Renaissance and Enlightenment
European Cultural Movements 800-1920
American Revolution Era 1763-1797
American Civil War 1861-1865
Global Imperial Systems
Mongol and Chinese Dynasties
U.S. Presidents and World Leaders
Historical Sources and Documentation
World Wars Era and Impact
World Religious Systems
Pokaż wszystkie tematy
Classic and Contemporary Novels
Literary Character Analysis
Rhetorical Theory and Practice
Classic Literary Narratives
Reading Analysis and Interpretation
Narrative Structure and Techniques
English Language Components
Influential English-Language Authors
Basic Sentence Structure
Narrative Voice and Perspective
Pokaż wszystkie tematy
1,171
•
Zaktualizowano Mar 22, 2026
•
RiRi
@cumulonimbus_00
Aldehydy to ważne związki organiczne zawierające grupę karbonylową (C=O) na... Pokaż więcej











Aldehydy to związki o wzorze ogólnym R-CHO, gdzie grupa karbonylowa (inaczej karboaldehydowa) zawsze znajduje się na końcu łańcucha węglowego. W nazewnictwie aldehydów stosujemy końcówkę -al, a grupa karboaldehydowa zawsze ma lokant 1, którego nie zapisujemy w nazwie.
Tworząc nazwę aldehydu, pamiętaj, że jeden węgiel już wchodzi w skład grupy karboaldehydowej. Przykładowo dla butanalu $H_3C-CH_2-CH_2-CHO$ grupa CHO jest już pierwszym atomem węgla, a łańcuch butanalu liczy łącznie 4 atomy węgla.
Gdy grupa karboaldehydowa przyłączona jest do pierścienia, tworzymy nazwę z przyrostkiem karboaldehyd, np. benzenokarbaldehyd (znany też jako aldehyd benzoesowy).
Wskazówka! Zapamiętaj, że grupa CHO zawsze ma lokant 1, więc tworząc wzór aldehydu, liczysz węgle od tej grupy. To ułatwi ci rozpoznawanie aldehydów w zadaniach!

Warto znać kilka podstawowych przykładów aldehydów, które często pojawiają się na testach:
Ciekawym zjawiskiem jest izomeria konstytucyjna między aldehydami a ketonami. Związki te mają taki sam wzór sumaryczny, ale różnią się budową cząsteczek. Na przykład propanal $H_3C-CH_2-CHO$ i propanon $H_3C-C-CH_3$ są izomerami o wzorze .
Pamiętaj jednak, że metanal (HCHO) nie ma swojego izomeru ketonowego - to wyjątek!
Ciekawostka! Izomeria między aldehydami i ketonami oznacza, że związki te mają te same składniki, ale zupełnie inne właściwości. To jak zbudować dwa różne modele z tych samych klocków!

Aldehydy mają ciekawe właściwości fizyczne - im dłuższy łańcuch węglowy, tym niższa temperatura wrzenia i topnienia. Pod względem temperatury wrzenia aldehydy plasują się między alkanami a alkoholami, a zazwyczaj mają wyższą temperaturę wrzenia niż ketony.
Najważniejszą cechą aldehydów są ich właściwości redukujące. Możemy je utlenić do kwasów karboksylowych [O] lub zredukować do alkoholi [H]. Właściwości redukujące aldehydów możemy udowodnić za pomocą próby Tollensa lub próby Trommera.
Reakcja uwodornienia to ważny proces, w którym aldehyd przekształca się w alkohol:
Próba Tollensa to reakcja charakterystyczna, w której aldehydy redukują jony srebra do metalicznego srebra, tworząc efektowną srebrną warstwę ("lustro srebrowe") na ściankach probówki:
Zapamiętaj! Jeśli w probówce pojawia się srebrne lustro, oznacza to obecność aldehydu! Ta spektakularna reakcja to świetny sposób na rozpoznanie aldehydów i odróżnienie ich od ketonów.

Próba Trommera to kolejna reakcja charakterystyczna aldehydów. Po dodaniu roztworu siarczanu miedzi(II) i wodorotlenku sodu do aldehydu, najpierw powstaje niebieski, galaretowaty osad wodorotlenku miedzi(II), który następnie zmienia barwę na ceglasto-czerwoną (tlenek miedzi(I)):
(niebieski osad)
Ta reakcja również potwierdza właściwości redukujące aldehydów, gdzie aldehyd utlenia się do kwasu, a miedź(II) redukuje się do miedzi(I).
W próbie Trommera utlenianie aldehydu można zapisać równaniem:
Jednocześnie zachodzi redukcja miedzi: $2Cu(OH)_2 + 2e^- \rightarrow Cu_2O + 2OH^- + H_2O$
Wskazówka praktyczna! Zarówno próba Tollensa (srebrne lustro), jak i próba Trommera (czerwony osad) to skuteczne sposoby wykrywania aldehydów w laboratorium. Ketony nie dają pozytywnego wyniku w tych próbach!

Reakcja Cannizzaro to szczególny przypadek reakcji, której ulegają aldehydy nieposiadające atomów wodoru przy węglu α (pierwszy węgiel za grupą karboaldehydową). W środowisku zasadowym dochodzi do dysproporcjonowania - jedna cząsteczka aldehydu utlenia się do kwasu, a druga redukuje do alkoholu.
Przykładowo:
Kondensacja aldolowa to kolejna ważna reakcja aldehydów, które mają co najmniej jeden atom wodoru przy węglu α. Zachodzi w środowisku zasadowym i prowadzi do powstania aldolu (związku zawierającego grupy hydroksylową i aldehydową):
Aldehydy mogą również tworzyć hemiacetale i acetale w reakcji z alkoholami. Najpierw powstaje hemiacetal:
Uwaga! Reakcja Cannizzaro jest charakterystyczna tylko dla aldehydów bez wodoru przy węglu α, natomiast kondensacja aldolowa zachodzi tylko wtedy, gdy wodór przy węglu α jest obecny. To ważne rozróżnienie na egzaminach!

Aldehydy o małej masie molowej mogą ulegać polimeryzacji łańcuchowej, tworząc poliformaldehyd:
Możliwa jest również polimeryzacja cykliczna, w której trzy cząsteczki metanalu tworzą strukturę pierścieniową.
W reakcji hemiacetalu z kolejną cząsteczką alkoholu powstaje acetal:
Warto wiedzieć, że aldehydy mogą również ulegać polikondensacji. W jej wyniku ze związków o małej masie molowej powstają związki o większej masie z wydzieleniem produktu ubocznego (np. wody). Przykładem jest tworzenie żywic fenolowo-formaldehydowych.
Przydatna informacja! Polimeryzacja aldehydów znajduje zastosowanie w przemyśle do produkcji tworzyw sztucznych. Żywice fenolowo-formaldehydowe są używane do produkcji laminatów, klejów i materiałów izolacyjnych.

Aldehydy można otrzymać na kilka sposobów:
Utlenianie alkoholi - to jedna z najpopularniejszych metod. Alkohol pierwszorzędowy w obecności tlenku miedzi(II) utlenia się do aldehydu:
Możliwe jest również katalityczne utlenianie metanolu: $2CH_3OH + O_2 \xrightarrow{kat, T=600°C} 2HCHO + 2H_2O$
Reakcja Kuczerowa - hydratacja acetylenu w obecności kwasu siarkowego i siarczanu rtęci(II):
Dehydratacja glicerolu - prowadzi do powstania propenalu (akroleiny):
Zapamiętaj! Utlenianie alkoholi pierwszorzędowych daje aldehydy, ale trzeba uważać, by nie utlenić ich dalej do kwasów karboksylowych. Dlatego kontrola warunków reakcji jest kluczowa!

Aldehydy można otrzymać również poprzez:
Dehydrogenację alkoholu:
Uwodnienie etynu (acetylenu):
Utlenianie etenu (etylenu): $2CH_2=CH_2 + O_2 \xrightarrow{kat, pT} 2CH_3CHO$
Metanal (formaldehyd) ma szczególne właściwości:
Metanal można otrzymać poprzez:
Ciekawostka praktyczna! Formalina jest powszechnie stosowana w laboratoriach biologicznych do konserwacji tkanek, ale jej opary są szkodliwe dla zdrowia. Podczas pracy z formaliną zawsze należy zachować ostrożność i używać wyciągu!

Zadanie 1: Dla aldehydu o masie molowej 156 u i wzorze , obliczamy wartość n: $12n + 2n + 1 + 28 = 15614n = 126n = 9C_9H_{18}CHO$
Zadanie 2: Ciąg reakcji prowadzących do otrzymania etanalu:
Zadanie 3: a) Utlenianie butanolu do butanalu:
b) Utlenianie 2-metylopropanolu do 2-metylopropanalu:
Wskazówka! W zadaniach z utlenianiem alkoholi pamiętaj, że alkohole pierwszorzędowe utleniają się do aldehydów, a drugorzędowe do ketonów. Alkohole trzeciorzędowe są odporne na utlenianie w łagodnych warunkach.

Zadanie 4 przedstawia syntezę benzaldehydu (benzenokarboaldehydu) w kilku etapach:
W efekcie otrzymujemy benzaldehyd (benzenokarbaldehyd).
Aldehydy mają szerokie zastosowanie w syntezie organicznej, przemyśle kosmetycznym, spożywczym i farmaceutycznym. Metanal służy do produkcji tworzyw sztucznych i żywic, a benzaldehyd jest używany jako aromat w przemyśle spożywczym.
Praktyczna uwaga! Wiedzę o aldehydach wykorzystasz nie tylko na chemii, ale i na biologii. Aldehydy uczestniczą w wielu procesach biochemicznych, a ich właściwości redukujące odgrywają ważną rolę w metabolizmie komórkowym.
Nasz asystent AI jest specjalnie dostosowany do potrzeb uczniów. W oparciu o miliony treści, które mamy na platformie, możemy udzielać uczniom naprawdę znaczących i trafnych odpowiedzi. Ale nie chodzi tylko o odpowiedzi, towarzysz prowadzi również uczniów przez codzienne wyzwania związane z nauką, ze spersonalizowanymi planami nauki, quizami lub treściami na czacie i 100% personalizacją opartą na umiejętnościach i rozwoju uczniów.
Aplikację możesz pobrać z Google Play i Apple Store.
Tak, masz całkowicie darmowy dostęp do wszystkich notatek w aplikacji, możesz w każdej chwili rozmawiać z Ekspertami lub ich obserwować. Możesz użyć punktów, aby odblokować pewne funkcje w aplikacji, które również możesz otrzymać za darmo. Dodatkowo oferujemy usługę Knowunity Premium, która pozwala na odblokowanie większej liczby funkcji.
App Store
Google Play
Aplikacja jest bardzo prosta i dobrze przemyślana. Do tej pory znalazłem wszystko, czego szukałem i mogłem się wiele nauczyć z innych notatek! Na pewno wykorzystam aplikację do pomocy przy robieniu prac domowych! No i oczywiście bardzo pomaga też jako inspiracja do robienia swoich notatek.
Stefan S
użytkownik iOS
Ta aplikacja jest naprawdę świetna. Jest tak wiele notatek i pomocnych informacji [...]. Moim problematycznym przedmiotem jest język niemiecki, a w aplikacji jest w czym wybierać. Dzięki tej aplikacji poprawiłam swój niemiecki. Polecam ją każdemu.
Samantha Klich
użytkownik Androida
Wow, jestem w szoku. Właśnie wypróbowałam aplikację, ponieważ widziałam ją kilka razy reklamowaną na TikToku jestem absolutnie w szoku. Ta aplikacja jest POMOCĄ, której potrzebujesz w szkole i przede wszystkim oferuje tak wiele rzeczy jak notatki czy streszczenia, które są BARDZO pomocne w moim przypadku.
Anna
użytkownik iOS
Kocham tę aplikację! Pomaga mi w zadaniach domowych, motywuje mnie i polepsza mi dzień. Dzięki tej aplikacji moje oceny się poprawiły. Lepszej aplikacji nie znajdę!🩷
Patrycja
użytkowniczka iOS
Super aplikacja! Ma odpowiedzi na wszystkie zadania. Testuję ją od paru miesięcy i jest po prostu perfekcyjna.
Szymon
użytkownik Android
Super aplikacja do nauki i sprawdzania wiedzy. Można znaleźć notatki z WSZYSTKICH przedmiotów. Polecam tym, którzy celują w oceny 5 i 6 😄
Szymon
użytkownik iOS
Aplikacja jest po prostu świetna! Wystarczy, że wpiszę w pasku wyszukiwania swój temat i od razu mam wyniki. Nie muszę oglądać 10 filmów na YouTube, żeby coś zrozumieć, więc oszczędzam swój czas. Po prostu polecam!
Kuba T
użytkownik Androida
W szkole byłem bardzo kiepski z matematyki, ale dzięki tej aplikacji radzę sobie teraz lepiej. Jestem bardzo wdzięczny, że ją stworzyliście.
Kriss
użytkownik Androida
Korzystam z Knowunity od ponad roku i jest mega! Najlepsze opcje z tej apki: ⭐️ Gotowe notatki ⭐️ Spersonalizowane treści ⭐️ Dostęp do chatu GPT W WERSJI SZKOLNEJ ⭐️ Konwersacje z innymi uczniami 🤍 NAUKA WRESZCIE NIE JEST NUDNA 🤍
Gosia
użytkowniczka Android
Bardzo lubię aplikację Knowunity, ponieważ pomaga mi w nauce. Odkąd ją mam moje oceny się poprawiają :)
Sara
użytkowniczka iOS
QUIZY I FISZKI SĄ SUPER PRZYDATNE I UWIELBIAM Knowunity AI. TO JEST DOSŁOWNIE JAK CHATGPT ALE MĄDRZEJSZY!! POMÓGŁ MI NAWET Z PROBLEMAMI Z TUSZEM DO RZĘS!! A TAKŻE Z PRAWDZIWYMI PRZEDMIOTAMI! OCZYWIŚCIE 😍😁😲🤑💗✨🎀😮
Krzysztof
użytkownik Android
Bardzo fajna aplikacja. Pomaga przygotować się do sprawdzianu, kartkówki lub odpowiedzi ustnej.
Oliwia
użytkowniczka iOS
Aplikacja jest bardzo prosta i dobrze przemyślana. Do tej pory znalazłem wszystko, czego szukałem i mogłem się wiele nauczyć z innych notatek! Na pewno wykorzystam aplikację do pomocy przy robieniu prac domowych! No i oczywiście bardzo pomaga też jako inspiracja do robienia swoich notatek.
Stefan S
użytkownik iOS
Ta aplikacja jest naprawdę świetna. Jest tak wiele notatek i pomocnych informacji [...]. Moim problematycznym przedmiotem jest język niemiecki, a w aplikacji jest w czym wybierać. Dzięki tej aplikacji poprawiłam swój niemiecki. Polecam ją każdemu.
Samantha Klich
użytkownik Androida
Wow, jestem w szoku. Właśnie wypróbowałam aplikację, ponieważ widziałam ją kilka razy reklamowaną na TikToku jestem absolutnie w szoku. Ta aplikacja jest POMOCĄ, której potrzebujesz w szkole i przede wszystkim oferuje tak wiele rzeczy jak notatki czy streszczenia, które są BARDZO pomocne w moim przypadku.
Anna
użytkownik iOS
Kocham tę aplikację! Pomaga mi w zadaniach domowych, motywuje mnie i polepsza mi dzień. Dzięki tej aplikacji moje oceny się poprawiły. Lepszej aplikacji nie znajdę!🩷
Patrycja
użytkowniczka iOS
Super aplikacja! Ma odpowiedzi na wszystkie zadania. Testuję ją od paru miesięcy i jest po prostu perfekcyjna.
Szymon
użytkownik Android
Super aplikacja do nauki i sprawdzania wiedzy. Można znaleźć notatki z WSZYSTKICH przedmiotów. Polecam tym, którzy celują w oceny 5 i 6 😄
Szymon
użytkownik iOS
Aplikacja jest po prostu świetna! Wystarczy, że wpiszę w pasku wyszukiwania swój temat i od razu mam wyniki. Nie muszę oglądać 10 filmów na YouTube, żeby coś zrozumieć, więc oszczędzam swój czas. Po prostu polecam!
Kuba T
użytkownik Androida
W szkole byłem bardzo kiepski z matematyki, ale dzięki tej aplikacji radzę sobie teraz lepiej. Jestem bardzo wdzięczny, że ją stworzyliście.
Kriss
użytkownik Androida
Korzystam z Knowunity od ponad roku i jest mega! Najlepsze opcje z tej apki: ⭐️ Gotowe notatki ⭐️ Spersonalizowane treści ⭐️ Dostęp do chatu GPT W WERSJI SZKOLNEJ ⭐️ Konwersacje z innymi uczniami 🤍 NAUKA WRESZCIE NIE JEST NUDNA 🤍
Gosia
użytkowniczka Android
Bardzo lubię aplikację Knowunity, ponieważ pomaga mi w nauce. Odkąd ją mam moje oceny się poprawiają :)
Sara
użytkowniczka iOS
QUIZY I FISZKI SĄ SUPER PRZYDATNE I UWIELBIAM Knowunity AI. TO JEST DOSŁOWNIE JAK CHATGPT ALE MĄDRZEJSZY!! POMÓGŁ MI NAWET Z PROBLEMAMI Z TUSZEM DO RZĘS!! A TAKŻE Z PRAWDZIWYMI PRZEDMIOTAMI! OCZYWIŚCIE 😍😁😲🤑💗✨🎀😮
Krzysztof
użytkownik Android
Bardzo fajna aplikacja. Pomaga przygotować się do sprawdzianu, kartkówki lub odpowiedzi ustnej.
Oliwia
użytkowniczka iOS
RiRi
@cumulonimbus_00
Aldehydy to ważne związki organiczne zawierające grupę karbonylową (C=O) na końcu łańcucha węglowego. Ich charakterystyczne właściwości i reaktywność mają zastosowanie w wielu dziedzinach chemii. Poznanie aldehydów jest niezbędne do zrozumienia wielu procesów chemicznych.

Dostęp do wszystkich materiałów
Popraw swoje oceny
Dołącz do milionów studentów
Aldehydy to związki o wzorze ogólnym R-CHO, gdzie grupa karbonylowa (inaczej karboaldehydowa) zawsze znajduje się na końcu łańcucha węglowego. W nazewnictwie aldehydów stosujemy końcówkę -al, a grupa karboaldehydowa zawsze ma lokant 1, którego nie zapisujemy w nazwie.
Tworząc nazwę aldehydu, pamiętaj, że jeden węgiel już wchodzi w skład grupy karboaldehydowej. Przykładowo dla butanalu $H_3C-CH_2-CH_2-CHO$ grupa CHO jest już pierwszym atomem węgla, a łańcuch butanalu liczy łącznie 4 atomy węgla.
Gdy grupa karboaldehydowa przyłączona jest do pierścienia, tworzymy nazwę z przyrostkiem karboaldehyd, np. benzenokarbaldehyd (znany też jako aldehyd benzoesowy).
Wskazówka! Zapamiętaj, że grupa CHO zawsze ma lokant 1, więc tworząc wzór aldehydu, liczysz węgle od tej grupy. To ułatwi ci rozpoznawanie aldehydów w zadaniach!

Dostęp do wszystkich materiałów
Popraw swoje oceny
Dołącz do milionów studentów
Warto znać kilka podstawowych przykładów aldehydów, które często pojawiają się na testach:
Ciekawym zjawiskiem jest izomeria konstytucyjna między aldehydami a ketonami. Związki te mają taki sam wzór sumaryczny, ale różnią się budową cząsteczek. Na przykład propanal $H_3C-CH_2-CHO$ i propanon $H_3C-C-CH_3$ są izomerami o wzorze .
Pamiętaj jednak, że metanal (HCHO) nie ma swojego izomeru ketonowego - to wyjątek!
Ciekawostka! Izomeria między aldehydami i ketonami oznacza, że związki te mają te same składniki, ale zupełnie inne właściwości. To jak zbudować dwa różne modele z tych samych klocków!

Dostęp do wszystkich materiałów
Popraw swoje oceny
Dołącz do milionów studentów
Aldehydy mają ciekawe właściwości fizyczne - im dłuższy łańcuch węglowy, tym niższa temperatura wrzenia i topnienia. Pod względem temperatury wrzenia aldehydy plasują się między alkanami a alkoholami, a zazwyczaj mają wyższą temperaturę wrzenia niż ketony.
Najważniejszą cechą aldehydów są ich właściwości redukujące. Możemy je utlenić do kwasów karboksylowych [O] lub zredukować do alkoholi [H]. Właściwości redukujące aldehydów możemy udowodnić za pomocą próby Tollensa lub próby Trommera.
Reakcja uwodornienia to ważny proces, w którym aldehyd przekształca się w alkohol:
Próba Tollensa to reakcja charakterystyczna, w której aldehydy redukują jony srebra do metalicznego srebra, tworząc efektowną srebrną warstwę ("lustro srebrowe") na ściankach probówki:
Zapamiętaj! Jeśli w probówce pojawia się srebrne lustro, oznacza to obecność aldehydu! Ta spektakularna reakcja to świetny sposób na rozpoznanie aldehydów i odróżnienie ich od ketonów.

Dostęp do wszystkich materiałów
Popraw swoje oceny
Dołącz do milionów studentów
Próba Trommera to kolejna reakcja charakterystyczna aldehydów. Po dodaniu roztworu siarczanu miedzi(II) i wodorotlenku sodu do aldehydu, najpierw powstaje niebieski, galaretowaty osad wodorotlenku miedzi(II), który następnie zmienia barwę na ceglasto-czerwoną (tlenek miedzi(I)):
(niebieski osad)
Ta reakcja również potwierdza właściwości redukujące aldehydów, gdzie aldehyd utlenia się do kwasu, a miedź(II) redukuje się do miedzi(I).
W próbie Trommera utlenianie aldehydu można zapisać równaniem:
Jednocześnie zachodzi redukcja miedzi: $2Cu(OH)_2 + 2e^- \rightarrow Cu_2O + 2OH^- + H_2O$
Wskazówka praktyczna! Zarówno próba Tollensa (srebrne lustro), jak i próba Trommera (czerwony osad) to skuteczne sposoby wykrywania aldehydów w laboratorium. Ketony nie dają pozytywnego wyniku w tych próbach!

Dostęp do wszystkich materiałów
Popraw swoje oceny
Dołącz do milionów studentów
Reakcja Cannizzaro to szczególny przypadek reakcji, której ulegają aldehydy nieposiadające atomów wodoru przy węglu α (pierwszy węgiel za grupą karboaldehydową). W środowisku zasadowym dochodzi do dysproporcjonowania - jedna cząsteczka aldehydu utlenia się do kwasu, a druga redukuje do alkoholu.
Przykładowo:
Kondensacja aldolowa to kolejna ważna reakcja aldehydów, które mają co najmniej jeden atom wodoru przy węglu α. Zachodzi w środowisku zasadowym i prowadzi do powstania aldolu (związku zawierającego grupy hydroksylową i aldehydową):
Aldehydy mogą również tworzyć hemiacetale i acetale w reakcji z alkoholami. Najpierw powstaje hemiacetal:
Uwaga! Reakcja Cannizzaro jest charakterystyczna tylko dla aldehydów bez wodoru przy węglu α, natomiast kondensacja aldolowa zachodzi tylko wtedy, gdy wodór przy węglu α jest obecny. To ważne rozróżnienie na egzaminach!

Dostęp do wszystkich materiałów
Popraw swoje oceny
Dołącz do milionów studentów
Aldehydy o małej masie molowej mogą ulegać polimeryzacji łańcuchowej, tworząc poliformaldehyd:
Możliwa jest również polimeryzacja cykliczna, w której trzy cząsteczki metanalu tworzą strukturę pierścieniową.
W reakcji hemiacetalu z kolejną cząsteczką alkoholu powstaje acetal:
Warto wiedzieć, że aldehydy mogą również ulegać polikondensacji. W jej wyniku ze związków o małej masie molowej powstają związki o większej masie z wydzieleniem produktu ubocznego (np. wody). Przykładem jest tworzenie żywic fenolowo-formaldehydowych.
Przydatna informacja! Polimeryzacja aldehydów znajduje zastosowanie w przemyśle do produkcji tworzyw sztucznych. Żywice fenolowo-formaldehydowe są używane do produkcji laminatów, klejów i materiałów izolacyjnych.

Dostęp do wszystkich materiałów
Popraw swoje oceny
Dołącz do milionów studentów
Aldehydy można otrzymać na kilka sposobów:
Utlenianie alkoholi - to jedna z najpopularniejszych metod. Alkohol pierwszorzędowy w obecności tlenku miedzi(II) utlenia się do aldehydu:
Możliwe jest również katalityczne utlenianie metanolu: $2CH_3OH + O_2 \xrightarrow{kat, T=600°C} 2HCHO + 2H_2O$
Reakcja Kuczerowa - hydratacja acetylenu w obecności kwasu siarkowego i siarczanu rtęci(II):
Dehydratacja glicerolu - prowadzi do powstania propenalu (akroleiny):
Zapamiętaj! Utlenianie alkoholi pierwszorzędowych daje aldehydy, ale trzeba uważać, by nie utlenić ich dalej do kwasów karboksylowych. Dlatego kontrola warunków reakcji jest kluczowa!

Dostęp do wszystkich materiałów
Popraw swoje oceny
Dołącz do milionów studentów
Aldehydy można otrzymać również poprzez:
Dehydrogenację alkoholu:
Uwodnienie etynu (acetylenu):
Utlenianie etenu (etylenu): $2CH_2=CH_2 + O_2 \xrightarrow{kat, pT} 2CH_3CHO$
Metanal (formaldehyd) ma szczególne właściwości:
Metanal można otrzymać poprzez:
Ciekawostka praktyczna! Formalina jest powszechnie stosowana w laboratoriach biologicznych do konserwacji tkanek, ale jej opary są szkodliwe dla zdrowia. Podczas pracy z formaliną zawsze należy zachować ostrożność i używać wyciągu!

Dostęp do wszystkich materiałów
Popraw swoje oceny
Dołącz do milionów studentów
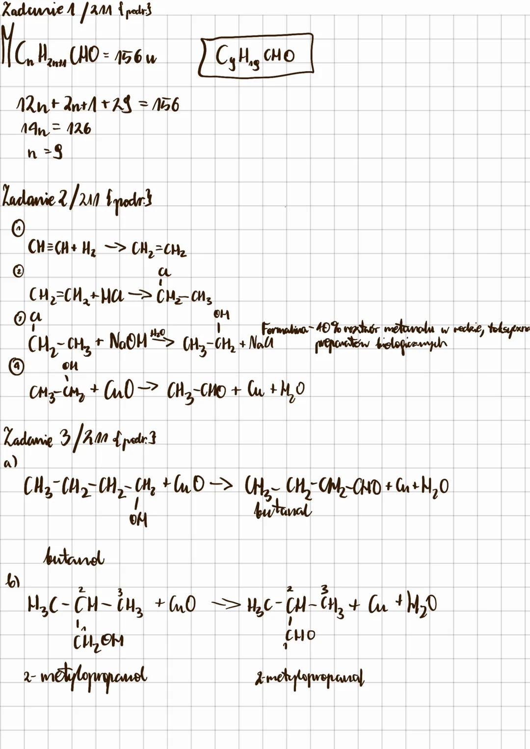
Zadanie 1: Dla aldehydu o masie molowej 156 u i wzorze , obliczamy wartość n: $12n + 2n + 1 + 28 = 15614n = 126n = 9C_9H_{18}CHO$
Zadanie 2: Ciąg reakcji prowadzących do otrzymania etanalu:
Zadanie 3: a) Utlenianie butanolu do butanalu:
b) Utlenianie 2-metylopropanolu do 2-metylopropanalu:
Wskazówka! W zadaniach z utlenianiem alkoholi pamiętaj, że alkohole pierwszorzędowe utleniają się do aldehydów, a drugorzędowe do ketonów. Alkohole trzeciorzędowe są odporne na utlenianie w łagodnych warunkach.

Dostęp do wszystkich materiałów
Popraw swoje oceny
Dołącz do milionów studentów
Zadanie 4 przedstawia syntezę benzaldehydu (benzenokarboaldehydu) w kilku etapach:
W efekcie otrzymujemy benzaldehyd (benzenokarbaldehyd).
Aldehydy mają szerokie zastosowanie w syntezie organicznej, przemyśle kosmetycznym, spożywczym i farmaceutycznym. Metanal służy do produkcji tworzyw sztucznych i żywic, a benzaldehyd jest używany jako aromat w przemyśle spożywczym.
Praktyczna uwaga! Wiedzę o aldehydach wykorzystasz nie tylko na chemii, ale i na biologii. Aldehydy uczestniczą w wielu procesach biochemicznych, a ich właściwości redukujące odgrywają ważną rolę w metabolizmie komórkowym.
Nasz asystent AI jest specjalnie dostosowany do potrzeb uczniów. W oparciu o miliony treści, które mamy na platformie, możemy udzielać uczniom naprawdę znaczących i trafnych odpowiedzi. Ale nie chodzi tylko o odpowiedzi, towarzysz prowadzi również uczniów przez codzienne wyzwania związane z nauką, ze spersonalizowanymi planami nauki, quizami lub treściami na czacie i 100% personalizacją opartą na umiejętnościach i rozwoju uczniów.
Aplikację możesz pobrać z Google Play i Apple Store.
Tak, masz całkowicie darmowy dostęp do wszystkich notatek w aplikacji, możesz w każdej chwili rozmawiać z Ekspertami lub ich obserwować. Możesz użyć punktów, aby odblokować pewne funkcje w aplikacji, które również możesz otrzymać za darmo. Dodatkowo oferujemy usługę Knowunity Premium, która pozwala na odblokowanie większej liczby funkcji.
31
Inteligentne Narzędzia NOWE
Przekształć te notatki w: ✓ 50+ Pytań Testowych ✓ Interaktywne Fiszki ✓ Pełny egzamin próbny ✓ Plany Eseju
Odkryj kluczowe informacje o aminach, w tym ich rzędy, nazewnictwo, metody otrzymywania oraz właściwości. Dowiedz się o zastosowaniach amin w przemyśle i medycynie, a także o ich reakcjach i roli w alkaloidach. Idealne dla studentów chemii.
Odkryj kluczowe informacje na temat tlenków, ich budowy, właściwości chemicznych i fizycznych oraz zastosowań w przemyśle i codziennym życiu. Zawiera szczegółowe omówienie tlenków amfoterycznych, takich jak tlenek glinu i tlenek krzemu (IV), a także metody ich otrzymywania. Idealne dla studentów chemii i osób przygotowujących się do egzaminów.
Zrozumienie reakcji utleniania-redukcji, półogniw oraz bilansowania równań chemicznych. Obejmuje kluczowe pojęcia, takie jak stopnie utlenienia, elektrody, oraz przykłady reakcji redoks. Idealne materiały do nauki przed sprawdzianem.
Zgłębiaj reakcje chemiczne ketonów i aldehydów, w tym metody syntezy, reakcje utleniania i redukcji oraz testy wykrywania. Dowiedz się o strukturach, nazwach i właściwościach tych związków organicznych. Idealne dla studentów chemii.
Zgłębiaj systematykę tlenków oraz związków organicznych. Dowiedz się o właściwościach chemicznych tlenków, ich reakcjach z kwasami i zasadami, a także o amfoterycznych tlenkach. Idealne dla studentów chemii, którzy chcą zrozumieć kluczowe koncepcje związane z tlenkami i ich zastosowaniami.
Zgłębiaj chemię tłuszczów, ich właściwości, reakcje nasyconych i nienasyconych kwasów tłuszczowych oraz procesy takie jak uwodornienie i mydlenie. Dowiedz się, jak tłuszcze wpływają na organizmy oraz ich zastosowanie w przemyśle. Materiał obejmuje kluczowe koncepcje dotyczące lipidów, kwasów tłuszczowych i mydeł.
App Store
Google Play
Aplikacja jest bardzo prosta i dobrze przemyślana. Do tej pory znalazłem wszystko, czego szukałem i mogłem się wiele nauczyć z innych notatek! Na pewno wykorzystam aplikację do pomocy przy robieniu prac domowych! No i oczywiście bardzo pomaga też jako inspiracja do robienia swoich notatek.
Stefan S
użytkownik iOS
Ta aplikacja jest naprawdę świetna. Jest tak wiele notatek i pomocnych informacji [...]. Moim problematycznym przedmiotem jest język niemiecki, a w aplikacji jest w czym wybierać. Dzięki tej aplikacji poprawiłam swój niemiecki. Polecam ją każdemu.
Samantha Klich
użytkownik Androida
Wow, jestem w szoku. Właśnie wypróbowałam aplikację, ponieważ widziałam ją kilka razy reklamowaną na TikToku jestem absolutnie w szoku. Ta aplikacja jest POMOCĄ, której potrzebujesz w szkole i przede wszystkim oferuje tak wiele rzeczy jak notatki czy streszczenia, które są BARDZO pomocne w moim przypadku.
Anna
użytkownik iOS
Kocham tę aplikację! Pomaga mi w zadaniach domowych, motywuje mnie i polepsza mi dzień. Dzięki tej aplikacji moje oceny się poprawiły. Lepszej aplikacji nie znajdę!🩷
Patrycja
użytkowniczka iOS
Super aplikacja! Ma odpowiedzi na wszystkie zadania. Testuję ją od paru miesięcy i jest po prostu perfekcyjna.
Szymon
użytkownik Android
Super aplikacja do nauki i sprawdzania wiedzy. Można znaleźć notatki z WSZYSTKICH przedmiotów. Polecam tym, którzy celują w oceny 5 i 6 😄
Szymon
użytkownik iOS
Aplikacja jest po prostu świetna! Wystarczy, że wpiszę w pasku wyszukiwania swój temat i od razu mam wyniki. Nie muszę oglądać 10 filmów na YouTube, żeby coś zrozumieć, więc oszczędzam swój czas. Po prostu polecam!
Kuba T
użytkownik Androida
W szkole byłem bardzo kiepski z matematyki, ale dzięki tej aplikacji radzę sobie teraz lepiej. Jestem bardzo wdzięczny, że ją stworzyliście.
Kriss
użytkownik Androida
Korzystam z Knowunity od ponad roku i jest mega! Najlepsze opcje z tej apki: ⭐️ Gotowe notatki ⭐️ Spersonalizowane treści ⭐️ Dostęp do chatu GPT W WERSJI SZKOLNEJ ⭐️ Konwersacje z innymi uczniami 🤍 NAUKA WRESZCIE NIE JEST NUDNA 🤍
Gosia
użytkowniczka Android
Bardzo lubię aplikację Knowunity, ponieważ pomaga mi w nauce. Odkąd ją mam moje oceny się poprawiają :)
Sara
użytkowniczka iOS
QUIZY I FISZKI SĄ SUPER PRZYDATNE I UWIELBIAM Knowunity AI. TO JEST DOSŁOWNIE JAK CHATGPT ALE MĄDRZEJSZY!! POMÓGŁ MI NAWET Z PROBLEMAMI Z TUSZEM DO RZĘS!! A TAKŻE Z PRAWDZIWYMI PRZEDMIOTAMI! OCZYWIŚCIE 😍😁😲🤑💗✨🎀😮
Krzysztof
użytkownik Android
Bardzo fajna aplikacja. Pomaga przygotować się do sprawdzianu, kartkówki lub odpowiedzi ustnej.
Oliwia
użytkowniczka iOS
Aplikacja jest bardzo prosta i dobrze przemyślana. Do tej pory znalazłem wszystko, czego szukałem i mogłem się wiele nauczyć z innych notatek! Na pewno wykorzystam aplikację do pomocy przy robieniu prac domowych! No i oczywiście bardzo pomaga też jako inspiracja do robienia swoich notatek.
Stefan S
użytkownik iOS
Ta aplikacja jest naprawdę świetna. Jest tak wiele notatek i pomocnych informacji [...]. Moim problematycznym przedmiotem jest język niemiecki, a w aplikacji jest w czym wybierać. Dzięki tej aplikacji poprawiłam swój niemiecki. Polecam ją każdemu.
Samantha Klich
użytkownik Androida
Wow, jestem w szoku. Właśnie wypróbowałam aplikację, ponieważ widziałam ją kilka razy reklamowaną na TikToku jestem absolutnie w szoku. Ta aplikacja jest POMOCĄ, której potrzebujesz w szkole i przede wszystkim oferuje tak wiele rzeczy jak notatki czy streszczenia, które są BARDZO pomocne w moim przypadku.
Anna
użytkownik iOS
Kocham tę aplikację! Pomaga mi w zadaniach domowych, motywuje mnie i polepsza mi dzień. Dzięki tej aplikacji moje oceny się poprawiły. Lepszej aplikacji nie znajdę!🩷
Patrycja
użytkowniczka iOS
Super aplikacja! Ma odpowiedzi na wszystkie zadania. Testuję ją od paru miesięcy i jest po prostu perfekcyjna.
Szymon
użytkownik Android
Super aplikacja do nauki i sprawdzania wiedzy. Można znaleźć notatki z WSZYSTKICH przedmiotów. Polecam tym, którzy celują w oceny 5 i 6 😄
Szymon
użytkownik iOS
Aplikacja jest po prostu świetna! Wystarczy, że wpiszę w pasku wyszukiwania swój temat i od razu mam wyniki. Nie muszę oglądać 10 filmów na YouTube, żeby coś zrozumieć, więc oszczędzam swój czas. Po prostu polecam!
Kuba T
użytkownik Androida
W szkole byłem bardzo kiepski z matematyki, ale dzięki tej aplikacji radzę sobie teraz lepiej. Jestem bardzo wdzięczny, że ją stworzyliście.
Kriss
użytkownik Androida
Korzystam z Knowunity od ponad roku i jest mega! Najlepsze opcje z tej apki: ⭐️ Gotowe notatki ⭐️ Spersonalizowane treści ⭐️ Dostęp do chatu GPT W WERSJI SZKOLNEJ ⭐️ Konwersacje z innymi uczniami 🤍 NAUKA WRESZCIE NIE JEST NUDNA 🤍
Gosia
użytkowniczka Android
Bardzo lubię aplikację Knowunity, ponieważ pomaga mi w nauce. Odkąd ją mam moje oceny się poprawiają :)
Sara
użytkowniczka iOS
QUIZY I FISZKI SĄ SUPER PRZYDATNE I UWIELBIAM Knowunity AI. TO JEST DOSŁOWNIE JAK CHATGPT ALE MĄDRZEJSZY!! POMÓGŁ MI NAWET Z PROBLEMAMI Z TUSZEM DO RZĘS!! A TAKŻE Z PRAWDZIWYMI PRZEDMIOTAMI! OCZYWIŚCIE 😍😁😲🤑💗✨🎀😮
Krzysztof
użytkownik Android
Bardzo fajna aplikacja. Pomaga przygotować się do sprawdzianu, kartkówki lub odpowiedzi ustnej.
Oliwia
użytkowniczka iOS