Zrozumienie budowy atomu i układu okresowego pierwiastków chemicznychjest fundamentalne... Pokaż więcej
Zarejestruj się, aby zobaczyć notatkęTo nic nie kosztuje!
Dostęp do wszystkich materiałów
Popraw swoje oceny
Dołącz do milionów studentów
Knowunity AI
Przedmioty
Triangle Congruence and Similarity Theorems
Triangle Properties and Classification
Linear Equations and Graphs
Geometric Angle Relationships
Trigonometric Functions and Identities
Equation Solving Techniques
Circle Geometry Fundamentals
Division Operations and Methods
Basic Differentiation Rules
Exponent and Logarithm Properties
Pokaż wszystkie tematy
Human Organ Systems
Reproductive Cell Cycles
Biological Sciences Subdisciplines
Cellular Energy Metabolism
Autotrophic Energy Processes
Inheritance Patterns and Principles
Biomolecular Structure and Organization
Cell Cycle and Division Mechanics
Cellular Organization and Development
Biological Structural Organization
Pokaż wszystkie tematy
Chemical Sciences and Applications
Atomic Structure and Composition
Molecular Electron Structure Representation
Atomic Electron Behavior
Matter Properties and Water
Mole Concept and Calculations
Gas Laws and Behavior
Periodic Table Organization
Chemical Thermodynamics Fundamentals
Chemical Bond Types and Properties
Pokaż wszystkie tematy
European Renaissance and Enlightenment
European Cultural Movements 800-1920
American Revolution Era 1763-1797
American Civil War 1861-1865
Global Imperial Systems
Mongol and Chinese Dynasties
U.S. Presidents and World Leaders
Historical Sources and Documentation
World Wars Era and Impact
World Religious Systems
Pokaż wszystkie tematy
Classic and Contemporary Novels
Literary Character Analysis
Rhetorical Theory and Practice
Classic Literary Narratives
Reading Analysis and Interpretation
Narrative Structure and Techniques
English Language Components
Influential English-Language Authors
Basic Sentence Structure
Narrative Voice and Perspective
Pokaż wszystkie tematy
17,497
•
Zaktualizowano Apr 18, 2026
•
Zrozumienie budowy atomu i układu okresowego pierwiastków chemicznychjest fundamentalne... Pokaż więcej











Budowa atomu stanowi fundament zrozumienia chemii. Atom składa się z jądra atomowego zawierającego protony i neutrony (wspólnie nazywane nukleonami) oraz otaczających je elektronów. Liczba masowa i atomowa determinuje właściwości pierwiastka - liczba masowa (A) to suma protonów i neutronów, podczas gdy liczba atomowa (Z) określa liczbę protonów.
Definicja: Nuklid to atom o określonej liczbie protonów i neutronów. Nuklidy tego samego pierwiastka różniące się liczbą neutronów nazywamy izotopami.
W kontekście układu okresowego grup i okresów, położenie pierwiastka ściśle wiąże się z jego budową elektronową. Liczba elektronów walencyjnych determinuje grupę, a liczba powłok elektronowych - okres. Ta zależność między budową atomu a położeniem pierwiastka chemicznego w układzie okresowym jest kluczowa dla zrozumienia właściwości chemicznych.
Przykład: Azot (N) ma liczbę masową A=14, liczbę atomową Z=7, 7 neutronów i 7 elektronów. Jego położenie w układzie okresowym (grupa 15, okres 2) wynika bezpośrednio z tej konfiguracji.

Rozpad alfa, beta, gamma to podstawowe rodzaje przemian jądrowych. Podczas rozpadu alfa jądro emituje cząstkę α (jądro helu), zmniejszając liczbę masową o 4 i liczbę atomową o 2. Rozpad beta wiąże się z emisją elektronu (β⁻) lub pozytonu (β⁺), zmieniając liczbę atomową o ±1.
Ważne: Prawo rozpadu promieniotwórczego określa, że szybkość rozpadu jest proporcjonalna do liczby jąder promieniotwórczych. Czas połowicznego rozpadu to okres, po którym rozpada się połowa początkowej ilości substancji.
Aktywność promieniotwórcza opisana jest wzorem A = λN, gdzie λ to stała rozpadu, a N to liczba jąder promieniotwórczych. W trakcie przemian alfa i beta zmienia się łączny ładunek cząstek, co ma fundamentalne znaczenie dla stabilności jąder atomowych.

Nuklidy a izotopy to pojęcia ściśle ze sobą powiązane. Czym jest nuklid? To atom o określonej liczbie protonów i neutronów. Nuklid a nukleon różnią się tym, że nukleon to składnik jądra (proton lub neutron), podczas gdy nuklid to kompletny atom.
Słownictwo: Nuklid przykłady obejmują ¹H (prot), ²H (deuter), ³H (tryt) - izotopy wodoru różniące się liczbą neutronów.
Izotopy, izobary, izotony to różne rodzaje nuklidów. Izotopy mają tę samą liczbę protonów, izobary tę samą liczbę masową, a izotony tę samą liczbę neutronów. Ta klasyfikacja jest kluczowa dla zrozumienia właściwości jądrowych pierwiastków.

Budowa atomu na poziomie elektronowym determinuje właściwości chemiczne pierwiastków. Elektrony walencyjne, znajdujące się na zewnętrznej powłoce, są odpowiedzialne za tworzenie wiązań chemicznych i reaktywność pierwiastka.
Definicja: Rdzeń atomowy składa się z jądra i elektronów niewalencyjnych, które nie uczestniczą w reakcjach chemicznych.
Rozmieszczenie elektronów na powłokach elektronowych podlega ścisłym regułom, które można przedstawić w formie budowy atomu tabelka. Ta systematyka jest podstawą zrozumienia periodyczności właściwości pierwiastków w układzie okresowym.

Mechanika kwantowa stanowi fundamentalną podstawę zrozumienia budowy atomu. Liczby kwantowe pozwalają precyzyjnie określić położenie elektronów w chmurze elektronowej oraz ich energię.
Definicja: Główna liczba kwantowa (n) określa powłokę elektronową i energię elektronu w atomie. Przyjmuje wartości całkowite: n=1,2,3,4... odpowiadające powłokom K,L,M,N...
Każda powłoka charakteryzuje się określoną pojemnością elektronową, którą można obliczyć ze wzoru 2n². Elektrony znajdujące się na ostatniej powłoce (walencyjne) posiadają najwyższą energię w atomie. Jest to kluczowe dla zrozumienia położenia pierwiastka chemicznego w układzie okresowym.
Poboczna liczba kwantowa (l) definiuje podpowłoki i ich kształt. Przyjmuje wartości od 0 do n-1, gdzie:
Przykład: Dla n=3 (powłoka M) możliwe są podpowłoki:

Magnetyczna liczba kwantowa (m) określa orbital w danej podpowłoce. Przyjmuje wartości całkowite od -l do +l. Liczba orbitali zależy od typu podpowłoki:
Ważne: Orbital to obszar największego prawdopodobieństwa znalezienia elektronu. Zgodnie z zakazem Pauliego, w jednym orbitalu mogą znajdować się maksymalnie 2 elektrony o przeciwnych spinach.
Magnetyczna spinowa liczba kwantowa (ms) określa spin elektronu i przyjmuje wartości +1/2 lub -1/2. Ma to kluczowe znaczenie dla budowy atomu i rozmieszczenia elektronów zgodnie z regułą Hunda - orbitale najpierw zapełniane są pojedynczymi elektronami, a dopiero później następuje ich parowanie.

Konfiguracja elektronowa opisuje rozmieszczenie elektronów na powłokach i podpowłokach atomu. Można ją zapisywać na różne sposoby:
Przykład: Dla sodu (Na):
W bloku d (pierwiastki przejściowe) występuje zjawisko inwersji (promocji) elektronowej - przeskok elektronu z podpowłoki s na podpowłokę d. Jest to istotne dla zrozumienia położenia pierwiastka chemicznego w układzie okresowym.

Układ okresowy pierwiastków chemicznych odzwierciedla strukturę elektronową atomów. Numer grupy związany jest z liczbą elektronów walencyjnych, a numer okresu z główną liczbą kwantową najwyższej obsadzonej powłoki.
Ważne: Rdzeń atomowy składa się z jądra i kompletnie zapełnionych powłok wewnętrznych. Elektrony walencyjne na powłoce zewnętrznej determinują właściwości chemiczne pierwiastka.
Pierwiastki tego samego bloku (s, p, d, f) mają podobną konfigurację elektronową zewnętrznych podpowłok:

Budowa atomu stanowi fundamentalną koncepcję w chemii, która wyjaśnia strukturę i właściwości pierwiastków chemicznych. W centrum atomu znajduje się jądro, wokół którego krążą elektrony rozmieszczone na powłokach elektronowych. Konfiguracja elektronowa determinuje właściwości chemiczne pierwiastka i jego położenie w układzie okresowym pierwiastków chemicznych.
Jony powstają, gdy atomy tracą lub zyskują elektrony. Kationy to jony dodatnie, powstające przez utratę elektronów, podczas gdy aniony to jony ujemne, powstające przez przyłączenie elektronów. Na przykładzie sodu (Na) możemy zaobserwować, jak atom o konfiguracji 1s² 2s² 2p⁶ 3s¹ traci jeden elektron, tworząc kation Na⁺ o konfiguracji 1s² 2s² 2p⁶.
Definicja: Konfiguracja elektronowa to sposób rozmieszczenia elektronów na powłokach i podpowłokach elektronowych atomu lub jonu.
Szczególnie interesującym przypadkiem są pierwiastki przejściowe, jak żelazo (Fe), które może tworzyć jony o różnych stopniach utlenienia. Fe²⁺ i Fe³⁺ mają różne konfiguracje elektronowe w podpowłoce 3d, co wpływa na ich właściwości chemiczne i magnetyczne.

Rozpad alfa, beta, gamma to podstawowe rodzaje przemian jądrowych. Podczas rozpadu alfa jądro atomowe emituje cząstkę α (jądro helu), zmniejszając swoją liczbę masową o 4 jednostki i liczbę atomową o 2. Rozpad beta wiąże się z emisją elektronu lub pozytonu, zmieniając liczbę atomową o ±1.
Prawo rozpadu promieniotwórczego opisuje szybkość rozpadu pierwiastków promieniotwórczych. Czas połowicznego rozpadu to okres, w którym połowa początkowej liczby jąder ulega rozpadowi. Aktywność promieniotwórcza jest miarą liczby rozpadów zachodzących w jednostce czasu.
Przykład: Podczas rozpadu uranu-238 następuje seria przemian alfa i beta, prowadząca do powstania stabilnego izotopu ołowiu-206.
Nuklidy to atomy charakteryzujące się określoną liczbą protonów i neutronów. Izotopy to nuklidy tego samego pierwiastka (ta sama liczba protonów, różna liczba neutronów), podczas gdy izobary mają tę samą liczbę masową, ale różną liczbę atomową. Zrozumienie tych pojęć jest kluczowe dla analizy przemian jądrowych i zastosowań w medycynie nuklearnej.
Nasz asystent AI jest specjalnie dostosowany do potrzeb uczniów. W oparciu o miliony treści, które mamy na platformie, możemy udzielać uczniom naprawdę znaczących i trafnych odpowiedzi. Ale nie chodzi tylko o odpowiedzi, towarzysz prowadzi również uczniów przez codzienne wyzwania związane z nauką, ze spersonalizowanymi planami nauki, quizami lub treściami na czacie i 100% personalizacją opartą na umiejętnościach i rozwoju uczniów.
Aplikację możesz pobrać z Google Play i Apple Store.
Tak, masz całkowicie darmowy dostęp do wszystkich notatek w aplikacji, możesz w każdej chwili rozmawiać z Ekspertami lub ich obserwować. Możesz użyć punktów, aby odblokować pewne funkcje w aplikacji, które również możesz otrzymać za darmo. Dodatkowo oferujemy usługę Knowunity Premium, która pozwala na odblokowanie większej liczby funkcji.
App Store
Google Play
Aplikacja jest bardzo prosta i dobrze przemyślana. Do tej pory znalazłem wszystko, czego szukałem i mogłem się wiele nauczyć z innych notatek! Na pewno wykorzystam aplikację do pomocy przy robieniu prac domowych! No i oczywiście bardzo pomaga też jako inspiracja do robienia swoich notatek.
Stefan S
użytkownik iOS
Ta aplikacja jest naprawdę świetna. Jest tak wiele notatek i pomocnych informacji [...]. Moim problematycznym przedmiotem jest język niemiecki, a w aplikacji jest w czym wybierać. Dzięki tej aplikacji poprawiłam swój niemiecki. Polecam ją każdemu.
Samantha Klich
użytkownik Androida
Wow, jestem w szoku. Właśnie wypróbowałam aplikację, ponieważ widziałam ją kilka razy reklamowaną na TikToku jestem absolutnie w szoku. Ta aplikacja jest POMOCĄ, której potrzebujesz w szkole i przede wszystkim oferuje tak wiele rzeczy jak notatki czy streszczenia, które są BARDZO pomocne w moim przypadku.
Anna
użytkownik iOS
Kocham tę aplikację! Pomaga mi w zadaniach domowych, motywuje mnie i polepsza mi dzień. Dzięki tej aplikacji moje oceny się poprawiły. Lepszej aplikacji nie znajdę!🩷
Patrycja
użytkowniczka iOS
Super aplikacja! Ma odpowiedzi na wszystkie zadania. Testuję ją od paru miesięcy i jest po prostu perfekcyjna.
Szymon
użytkownik Android
Super aplikacja do nauki i sprawdzania wiedzy. Można znaleźć notatki z WSZYSTKICH przedmiotów. Polecam tym, którzy celują w oceny 5 i 6 😄
Szymon
użytkownik iOS
Aplikacja jest po prostu świetna! Wystarczy, że wpiszę w pasku wyszukiwania swój temat i od razu mam wyniki. Nie muszę oglądać 10 filmów na YouTube, żeby coś zrozumieć, więc oszczędzam swój czas. Po prostu polecam!
Kuba T
użytkownik Androida
W szkole byłem bardzo kiepski z matematyki, ale dzięki tej aplikacji radzę sobie teraz lepiej. Jestem bardzo wdzięczny, że ją stworzyliście.
Kriss
użytkownik Androida
Korzystam z Knowunity od ponad roku i jest mega! Najlepsze opcje z tej apki: ⭐️ Gotowe notatki ⭐️ Spersonalizowane treści ⭐️ Dostęp do chatu GPT W WERSJI SZKOLNEJ ⭐️ Konwersacje z innymi uczniami 🤍 NAUKA WRESZCIE NIE JEST NUDNA 🤍
Gosia
użytkowniczka Android
Bardzo lubię aplikację Knowunity, ponieważ pomaga mi w nauce. Odkąd ją mam moje oceny się poprawiają :)
Sara
użytkowniczka iOS
QUIZY I FISZKI SĄ SUPER PRZYDATNE I UWIELBIAM Knowunity AI. TO JEST DOSŁOWNIE JAK CHATGPT ALE MĄDRZEJSZY!! POMÓGŁ MI NAWET Z PROBLEMAMI Z TUSZEM DO RZĘS!! A TAKŻE Z PRAWDZIWYMI PRZEDMIOTAMI! OCZYWIŚCIE 😍😁😲🤑💗✨🎀😮
Krzysztof
użytkownik Android
Bardzo fajna aplikacja. Pomaga przygotować się do sprawdzianu, kartkówki lub odpowiedzi ustnej.
Oliwia
użytkowniczka iOS
Aplikacja jest bardzo prosta i dobrze przemyślana. Do tej pory znalazłem wszystko, czego szukałem i mogłem się wiele nauczyć z innych notatek! Na pewno wykorzystam aplikację do pomocy przy robieniu prac domowych! No i oczywiście bardzo pomaga też jako inspiracja do robienia swoich notatek.
Stefan S
użytkownik iOS
Ta aplikacja jest naprawdę świetna. Jest tak wiele notatek i pomocnych informacji [...]. Moim problematycznym przedmiotem jest język niemiecki, a w aplikacji jest w czym wybierać. Dzięki tej aplikacji poprawiłam swój niemiecki. Polecam ją każdemu.
Samantha Klich
użytkownik Androida
Wow, jestem w szoku. Właśnie wypróbowałam aplikację, ponieważ widziałam ją kilka razy reklamowaną na TikToku jestem absolutnie w szoku. Ta aplikacja jest POMOCĄ, której potrzebujesz w szkole i przede wszystkim oferuje tak wiele rzeczy jak notatki czy streszczenia, które są BARDZO pomocne w moim przypadku.
Anna
użytkownik iOS
Kocham tę aplikację! Pomaga mi w zadaniach domowych, motywuje mnie i polepsza mi dzień. Dzięki tej aplikacji moje oceny się poprawiły. Lepszej aplikacji nie znajdę!🩷
Patrycja
użytkowniczka iOS
Super aplikacja! Ma odpowiedzi na wszystkie zadania. Testuję ją od paru miesięcy i jest po prostu perfekcyjna.
Szymon
użytkownik Android
Super aplikacja do nauki i sprawdzania wiedzy. Można znaleźć notatki z WSZYSTKICH przedmiotów. Polecam tym, którzy celują w oceny 5 i 6 😄
Szymon
użytkownik iOS
Aplikacja jest po prostu świetna! Wystarczy, że wpiszę w pasku wyszukiwania swój temat i od razu mam wyniki. Nie muszę oglądać 10 filmów na YouTube, żeby coś zrozumieć, więc oszczędzam swój czas. Po prostu polecam!
Kuba T
użytkownik Androida
W szkole byłem bardzo kiepski z matematyki, ale dzięki tej aplikacji radzę sobie teraz lepiej. Jestem bardzo wdzięczny, że ją stworzyliście.
Kriss
użytkownik Androida
Korzystam z Knowunity od ponad roku i jest mega! Najlepsze opcje z tej apki: ⭐️ Gotowe notatki ⭐️ Spersonalizowane treści ⭐️ Dostęp do chatu GPT W WERSJI SZKOLNEJ ⭐️ Konwersacje z innymi uczniami 🤍 NAUKA WRESZCIE NIE JEST NUDNA 🤍
Gosia
użytkowniczka Android
Bardzo lubię aplikację Knowunity, ponieważ pomaga mi w nauce. Odkąd ją mam moje oceny się poprawiają :)
Sara
użytkowniczka iOS
QUIZY I FISZKI SĄ SUPER PRZYDATNE I UWIELBIAM Knowunity AI. TO JEST DOSŁOWNIE JAK CHATGPT ALE MĄDRZEJSZY!! POMÓGŁ MI NAWET Z PROBLEMAMI Z TUSZEM DO RZĘS!! A TAKŻE Z PRAWDZIWYMI PRZEDMIOTAMI! OCZYWIŚCIE 😍😁😲🤑💗✨🎀😮
Krzysztof
użytkownik Android
Bardzo fajna aplikacja. Pomaga przygotować się do sprawdzianu, kartkówki lub odpowiedzi ustnej.
Oliwia
użytkowniczka iOS
Zrozumienie budowy atomu i układu okresowego pierwiastków chemicznych jest fundamentalne dla nauki chemii.
Budowa atomu składa się z jądra atomowego zawierającego protony i neutrony oraz elektronów krążących wokół jądra w powłokach elektronowych. Liczba protonów określa liczbę atomowąpierwiastka, podczas gdy... Pokaż więcej

Dostęp do wszystkich materiałów
Popraw swoje oceny
Dołącz do milionów studentów
Budowa atomu stanowi fundament zrozumienia chemii. Atom składa się z jądra atomowego zawierającego protony i neutrony (wspólnie nazywane nukleonami) oraz otaczających je elektronów. Liczba masowa i atomowa determinuje właściwości pierwiastka - liczba masowa (A) to suma protonów i neutronów, podczas gdy liczba atomowa (Z) określa liczbę protonów.
Definicja: Nuklid to atom o określonej liczbie protonów i neutronów. Nuklidy tego samego pierwiastka różniące się liczbą neutronów nazywamy izotopami.
W kontekście układu okresowego grup i okresów, położenie pierwiastka ściśle wiąże się z jego budową elektronową. Liczba elektronów walencyjnych determinuje grupę, a liczba powłok elektronowych - okres. Ta zależność między budową atomu a położeniem pierwiastka chemicznego w układzie okresowym jest kluczowa dla zrozumienia właściwości chemicznych.
Przykład: Azot (N) ma liczbę masową A=14, liczbę atomową Z=7, 7 neutronów i 7 elektronów. Jego położenie w układzie okresowym (grupa 15, okres 2) wynika bezpośrednio z tej konfiguracji.

Dostęp do wszystkich materiałów
Popraw swoje oceny
Dołącz do milionów studentów
Rozpad alfa, beta, gamma to podstawowe rodzaje przemian jądrowych. Podczas rozpadu alfa jądro emituje cząstkę α (jądro helu), zmniejszając liczbę masową o 4 i liczbę atomową o 2. Rozpad beta wiąże się z emisją elektronu (β⁻) lub pozytonu (β⁺), zmieniając liczbę atomową o ±1.
Ważne: Prawo rozpadu promieniotwórczego określa, że szybkość rozpadu jest proporcjonalna do liczby jąder promieniotwórczych. Czas połowicznego rozpadu to okres, po którym rozpada się połowa początkowej ilości substancji.
Aktywność promieniotwórcza opisana jest wzorem A = λN, gdzie λ to stała rozpadu, a N to liczba jąder promieniotwórczych. W trakcie przemian alfa i beta zmienia się łączny ładunek cząstek, co ma fundamentalne znaczenie dla stabilności jąder atomowych.

Dostęp do wszystkich materiałów
Popraw swoje oceny
Dołącz do milionów studentów
Nuklidy a izotopy to pojęcia ściśle ze sobą powiązane. Czym jest nuklid? To atom o określonej liczbie protonów i neutronów. Nuklid a nukleon różnią się tym, że nukleon to składnik jądra (proton lub neutron), podczas gdy nuklid to kompletny atom.
Słownictwo: Nuklid przykłady obejmują ¹H (prot), ²H (deuter), ³H (tryt) - izotopy wodoru różniące się liczbą neutronów.
Izotopy, izobary, izotony to różne rodzaje nuklidów. Izotopy mają tę samą liczbę protonów, izobary tę samą liczbę masową, a izotony tę samą liczbę neutronów. Ta klasyfikacja jest kluczowa dla zrozumienia właściwości jądrowych pierwiastków.

Dostęp do wszystkich materiałów
Popraw swoje oceny
Dołącz do milionów studentów
Budowa atomu na poziomie elektronowym determinuje właściwości chemiczne pierwiastków. Elektrony walencyjne, znajdujące się na zewnętrznej powłoce, są odpowiedzialne za tworzenie wiązań chemicznych i reaktywność pierwiastka.
Definicja: Rdzeń atomowy składa się z jądra i elektronów niewalencyjnych, które nie uczestniczą w reakcjach chemicznych.
Rozmieszczenie elektronów na powłokach elektronowych podlega ścisłym regułom, które można przedstawić w formie budowy atomu tabelka. Ta systematyka jest podstawą zrozumienia periodyczności właściwości pierwiastków w układzie okresowym.

Dostęp do wszystkich materiałów
Popraw swoje oceny
Dołącz do milionów studentów
Mechanika kwantowa stanowi fundamentalną podstawę zrozumienia budowy atomu. Liczby kwantowe pozwalają precyzyjnie określić położenie elektronów w chmurze elektronowej oraz ich energię.
Definicja: Główna liczba kwantowa (n) określa powłokę elektronową i energię elektronu w atomie. Przyjmuje wartości całkowite: n=1,2,3,4... odpowiadające powłokom K,L,M,N...
Każda powłoka charakteryzuje się określoną pojemnością elektronową, którą można obliczyć ze wzoru 2n². Elektrony znajdujące się na ostatniej powłoce (walencyjne) posiadają najwyższą energię w atomie. Jest to kluczowe dla zrozumienia położenia pierwiastka chemicznego w układzie okresowym.
Poboczna liczba kwantowa (l) definiuje podpowłoki i ich kształt. Przyjmuje wartości od 0 do n-1, gdzie:
Przykład: Dla n=3 (powłoka M) możliwe są podpowłoki:

Dostęp do wszystkich materiałów
Popraw swoje oceny
Dołącz do milionów studentów
Magnetyczna liczba kwantowa (m) określa orbital w danej podpowłoce. Przyjmuje wartości całkowite od -l do +l. Liczba orbitali zależy od typu podpowłoki:
Ważne: Orbital to obszar największego prawdopodobieństwa znalezienia elektronu. Zgodnie z zakazem Pauliego, w jednym orbitalu mogą znajdować się maksymalnie 2 elektrony o przeciwnych spinach.
Magnetyczna spinowa liczba kwantowa (ms) określa spin elektronu i przyjmuje wartości +1/2 lub -1/2. Ma to kluczowe znaczenie dla budowy atomu i rozmieszczenia elektronów zgodnie z regułą Hunda - orbitale najpierw zapełniane są pojedynczymi elektronami, a dopiero później następuje ich parowanie.

Dostęp do wszystkich materiałów
Popraw swoje oceny
Dołącz do milionów studentów
Konfiguracja elektronowa opisuje rozmieszczenie elektronów na powłokach i podpowłokach atomu. Można ją zapisywać na różne sposoby:
Przykład: Dla sodu (Na):
W bloku d (pierwiastki przejściowe) występuje zjawisko inwersji (promocji) elektronowej - przeskok elektronu z podpowłoki s na podpowłokę d. Jest to istotne dla zrozumienia położenia pierwiastka chemicznego w układzie okresowym.

Dostęp do wszystkich materiałów
Popraw swoje oceny
Dołącz do milionów studentów
Układ okresowy pierwiastków chemicznych odzwierciedla strukturę elektronową atomów. Numer grupy związany jest z liczbą elektronów walencyjnych, a numer okresu z główną liczbą kwantową najwyższej obsadzonej powłoki.
Ważne: Rdzeń atomowy składa się z jądra i kompletnie zapełnionych powłok wewnętrznych. Elektrony walencyjne na powłoce zewnętrznej determinują właściwości chemiczne pierwiastka.
Pierwiastki tego samego bloku (s, p, d, f) mają podobną konfigurację elektronową zewnętrznych podpowłok:

Dostęp do wszystkich materiałów
Popraw swoje oceny
Dołącz do milionów studentów
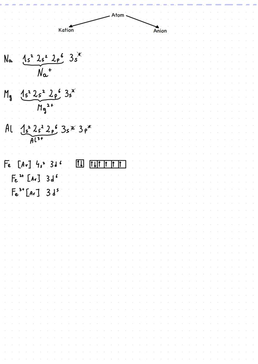
Budowa atomu stanowi fundamentalną koncepcję w chemii, która wyjaśnia strukturę i właściwości pierwiastków chemicznych. W centrum atomu znajduje się jądro, wokół którego krążą elektrony rozmieszczone na powłokach elektronowych. Konfiguracja elektronowa determinuje właściwości chemiczne pierwiastka i jego położenie w układzie okresowym pierwiastków chemicznych.
Jony powstają, gdy atomy tracą lub zyskują elektrony. Kationy to jony dodatnie, powstające przez utratę elektronów, podczas gdy aniony to jony ujemne, powstające przez przyłączenie elektronów. Na przykładzie sodu (Na) możemy zaobserwować, jak atom o konfiguracji 1s² 2s² 2p⁶ 3s¹ traci jeden elektron, tworząc kation Na⁺ o konfiguracji 1s² 2s² 2p⁶.
Definicja: Konfiguracja elektronowa to sposób rozmieszczenia elektronów na powłokach i podpowłokach elektronowych atomu lub jonu.
Szczególnie interesującym przypadkiem są pierwiastki przejściowe, jak żelazo (Fe), które może tworzyć jony o różnych stopniach utlenienia. Fe²⁺ i Fe³⁺ mają różne konfiguracje elektronowe w podpowłoce 3d, co wpływa na ich właściwości chemiczne i magnetyczne.

Dostęp do wszystkich materiałów
Popraw swoje oceny
Dołącz do milionów studentów
Rozpad alfa, beta, gamma to podstawowe rodzaje przemian jądrowych. Podczas rozpadu alfa jądro atomowe emituje cząstkę α (jądro helu), zmniejszając swoją liczbę masową o 4 jednostki i liczbę atomową o 2. Rozpad beta wiąże się z emisją elektronu lub pozytonu, zmieniając liczbę atomową o ±1.
Prawo rozpadu promieniotwórczego opisuje szybkość rozpadu pierwiastków promieniotwórczych. Czas połowicznego rozpadu to okres, w którym połowa początkowej liczby jąder ulega rozpadowi. Aktywność promieniotwórcza jest miarą liczby rozpadów zachodzących w jednostce czasu.
Przykład: Podczas rozpadu uranu-238 następuje seria przemian alfa i beta, prowadząca do powstania stabilnego izotopu ołowiu-206.
Nuklidy to atomy charakteryzujące się określoną liczbą protonów i neutronów. Izotopy to nuklidy tego samego pierwiastka (ta sama liczba protonów, różna liczba neutronów), podczas gdy izobary mają tę samą liczbę masową, ale różną liczbę atomową. Zrozumienie tych pojęć jest kluczowe dla analizy przemian jądrowych i zastosowań w medycynie nuklearnej.
Nasz asystent AI jest specjalnie dostosowany do potrzeb uczniów. W oparciu o miliony treści, które mamy na platformie, możemy udzielać uczniom naprawdę znaczących i trafnych odpowiedzi. Ale nie chodzi tylko o odpowiedzi, towarzysz prowadzi również uczniów przez codzienne wyzwania związane z nauką, ze spersonalizowanymi planami nauki, quizami lub treściami na czacie i 100% personalizacją opartą na umiejętnościach i rozwoju uczniów.
Aplikację możesz pobrać z Google Play i Apple Store.
Tak, masz całkowicie darmowy dostęp do wszystkich notatek w aplikacji, możesz w każdej chwili rozmawiać z Ekspertami lub ich obserwować. Możesz użyć punktów, aby odblokować pewne funkcje w aplikacji, które również możesz otrzymać za darmo. Dodatkowo oferujemy usługę Knowunity Premium, która pozwala na odblokowanie większej liczby funkcji.
347
Inteligentne Narzędzia NOWE
Przekształć te notatki w: ✓ 50+ Pytań Testowych ✓ Interaktywne Fiszki ✓ Pełny egzamin próbny ✓ Plany Eseju
Zgłębiaj model atomu, liczby kwantowe, konfiguracje elektronowe oraz zmiany wartościowości pierwiastków. Dowiedz się o stanach podstawowych i wzbudzonych atomów oraz roli elektronów walencyjnych w chemii. Idealne dla studentów chemii i fizyki.
Zgłębiaj podstawowe zasady mechaniki kwantowej, w tym zasadę nieoznaczoności Heisenberga, hipotezę de Broglie oraz charakterystykę stanów kwantowych i orbitali atomowych. Dowiedz się, jak liczby kwantowe wpływają na energię i kształt orbitalu, oraz poznaj zasady zakazu Pauliego. Idealne dla uczniów i studentów fizyki atomowej.
Zrozumienie orbitali atomowych i liczb kwantowych jest kluczowe w mechanice kwantowej. Ten materiał omawia różne typy orbitali (s, p, d, f), ich kształty oraz zasady dotyczące liczb kwantowych, w tym zasadę zakazu Pauliego i zasadę nieoznaczoności Heisenberga. Idealne dla studentów chemii i fizyki, którzy chcą zgłębić podstawy atomowej struktury i energii elektronów.
Zrozumienie podstawowych elementów mechaniki kwantowej, w tym orbitali atomowych, funkcji falowej oraz zasad nieoznaczoności Heisenberga. Materiał omawia kluczowe koncepcje, takie jak gęstość prawdopodobieństwa, liczby kwantowe oraz spin elektronów. Idealne dla studentów fizyki i chemii, którzy chcą zgłębić temat mechaniki kwantowej.
Zrozumienie budowy atomu: protony, neutrony, elektrony oraz ich rola w strukturze materii. Dowiedz się o liczbie atomowej, masie atomowej i elektronach walencyjnych. Idealne dla uczniów przygotowujących się do egzaminów z chemii. Typ: podsumowanie.
Zrozumienie liczb kwantowych jest kluczowe dla opisu stanu elektronu w atomie. Ta notatka omawia różne typy liczb kwantowych, w tym liczby główne, poboczne, magnetyczne oraz spinowe, a także ich znaczenie w określaniu energii i położenia orbitalu. Idealna dla studentów fizyki i chemii, którzy chcą zgłębić temat struktury atomowej.
App Store
Google Play
Aplikacja jest bardzo prosta i dobrze przemyślana. Do tej pory znalazłem wszystko, czego szukałem i mogłem się wiele nauczyć z innych notatek! Na pewno wykorzystam aplikację do pomocy przy robieniu prac domowych! No i oczywiście bardzo pomaga też jako inspiracja do robienia swoich notatek.
Stefan S
użytkownik iOS
Ta aplikacja jest naprawdę świetna. Jest tak wiele notatek i pomocnych informacji [...]. Moim problematycznym przedmiotem jest język niemiecki, a w aplikacji jest w czym wybierać. Dzięki tej aplikacji poprawiłam swój niemiecki. Polecam ją każdemu.
Samantha Klich
użytkownik Androida
Wow, jestem w szoku. Właśnie wypróbowałam aplikację, ponieważ widziałam ją kilka razy reklamowaną na TikToku jestem absolutnie w szoku. Ta aplikacja jest POMOCĄ, której potrzebujesz w szkole i przede wszystkim oferuje tak wiele rzeczy jak notatki czy streszczenia, które są BARDZO pomocne w moim przypadku.
Anna
użytkownik iOS
Kocham tę aplikację! Pomaga mi w zadaniach domowych, motywuje mnie i polepsza mi dzień. Dzięki tej aplikacji moje oceny się poprawiły. Lepszej aplikacji nie znajdę!🩷
Patrycja
użytkowniczka iOS
Super aplikacja! Ma odpowiedzi na wszystkie zadania. Testuję ją od paru miesięcy i jest po prostu perfekcyjna.
Szymon
użytkownik Android
Super aplikacja do nauki i sprawdzania wiedzy. Można znaleźć notatki z WSZYSTKICH przedmiotów. Polecam tym, którzy celują w oceny 5 i 6 😄
Szymon
użytkownik iOS
Aplikacja jest po prostu świetna! Wystarczy, że wpiszę w pasku wyszukiwania swój temat i od razu mam wyniki. Nie muszę oglądać 10 filmów na YouTube, żeby coś zrozumieć, więc oszczędzam swój czas. Po prostu polecam!
Kuba T
użytkownik Androida
W szkole byłem bardzo kiepski z matematyki, ale dzięki tej aplikacji radzę sobie teraz lepiej. Jestem bardzo wdzięczny, że ją stworzyliście.
Kriss
użytkownik Androida
Korzystam z Knowunity od ponad roku i jest mega! Najlepsze opcje z tej apki: ⭐️ Gotowe notatki ⭐️ Spersonalizowane treści ⭐️ Dostęp do chatu GPT W WERSJI SZKOLNEJ ⭐️ Konwersacje z innymi uczniami 🤍 NAUKA WRESZCIE NIE JEST NUDNA 🤍
Gosia
użytkowniczka Android
Bardzo lubię aplikację Knowunity, ponieważ pomaga mi w nauce. Odkąd ją mam moje oceny się poprawiają :)
Sara
użytkowniczka iOS
QUIZY I FISZKI SĄ SUPER PRZYDATNE I UWIELBIAM Knowunity AI. TO JEST DOSŁOWNIE JAK CHATGPT ALE MĄDRZEJSZY!! POMÓGŁ MI NAWET Z PROBLEMAMI Z TUSZEM DO RZĘS!! A TAKŻE Z PRAWDZIWYMI PRZEDMIOTAMI! OCZYWIŚCIE 😍😁😲🤑💗✨🎀😮
Krzysztof
użytkownik Android
Bardzo fajna aplikacja. Pomaga przygotować się do sprawdzianu, kartkówki lub odpowiedzi ustnej.
Oliwia
użytkowniczka iOS
Aplikacja jest bardzo prosta i dobrze przemyślana. Do tej pory znalazłem wszystko, czego szukałem i mogłem się wiele nauczyć z innych notatek! Na pewno wykorzystam aplikację do pomocy przy robieniu prac domowych! No i oczywiście bardzo pomaga też jako inspiracja do robienia swoich notatek.
Stefan S
użytkownik iOS
Ta aplikacja jest naprawdę świetna. Jest tak wiele notatek i pomocnych informacji [...]. Moim problematycznym przedmiotem jest język niemiecki, a w aplikacji jest w czym wybierać. Dzięki tej aplikacji poprawiłam swój niemiecki. Polecam ją każdemu.
Samantha Klich
użytkownik Androida
Wow, jestem w szoku. Właśnie wypróbowałam aplikację, ponieważ widziałam ją kilka razy reklamowaną na TikToku jestem absolutnie w szoku. Ta aplikacja jest POMOCĄ, której potrzebujesz w szkole i przede wszystkim oferuje tak wiele rzeczy jak notatki czy streszczenia, które są BARDZO pomocne w moim przypadku.
Anna
użytkownik iOS
Kocham tę aplikację! Pomaga mi w zadaniach domowych, motywuje mnie i polepsza mi dzień. Dzięki tej aplikacji moje oceny się poprawiły. Lepszej aplikacji nie znajdę!🩷
Patrycja
użytkowniczka iOS
Super aplikacja! Ma odpowiedzi na wszystkie zadania. Testuję ją od paru miesięcy i jest po prostu perfekcyjna.
Szymon
użytkownik Android
Super aplikacja do nauki i sprawdzania wiedzy. Można znaleźć notatki z WSZYSTKICH przedmiotów. Polecam tym, którzy celują w oceny 5 i 6 😄
Szymon
użytkownik iOS
Aplikacja jest po prostu świetna! Wystarczy, że wpiszę w pasku wyszukiwania swój temat i od razu mam wyniki. Nie muszę oglądać 10 filmów na YouTube, żeby coś zrozumieć, więc oszczędzam swój czas. Po prostu polecam!
Kuba T
użytkownik Androida
W szkole byłem bardzo kiepski z matematyki, ale dzięki tej aplikacji radzę sobie teraz lepiej. Jestem bardzo wdzięczny, że ją stworzyliście.
Kriss
użytkownik Androida
Korzystam z Knowunity od ponad roku i jest mega! Najlepsze opcje z tej apki: ⭐️ Gotowe notatki ⭐️ Spersonalizowane treści ⭐️ Dostęp do chatu GPT W WERSJI SZKOLNEJ ⭐️ Konwersacje z innymi uczniami 🤍 NAUKA WRESZCIE NIE JEST NUDNA 🤍
Gosia
użytkowniczka Android
Bardzo lubię aplikację Knowunity, ponieważ pomaga mi w nauce. Odkąd ją mam moje oceny się poprawiają :)
Sara
użytkowniczka iOS
QUIZY I FISZKI SĄ SUPER PRZYDATNE I UWIELBIAM Knowunity AI. TO JEST DOSŁOWNIE JAK CHATGPT ALE MĄDRZEJSZY!! POMÓGŁ MI NAWET Z PROBLEMAMI Z TUSZEM DO RZĘS!! A TAKŻE Z PRAWDZIWYMI PRZEDMIOTAMI! OCZYWIŚCIE 😍😁😲🤑💗✨🎀😮
Krzysztof
użytkownik Android
Bardzo fajna aplikacja. Pomaga przygotować się do sprawdzianu, kartkówki lub odpowiedzi ustnej.
Oliwia
użytkowniczka iOS