The oxidation-reduction (redox) reactions and oxidation states guide provides comprehensive... Pokaż więcej
Zarejestruj się, aby zobaczyć notatkęTo nic nie kosztuje!
Dostęp do wszystkich materiałów
Popraw swoje oceny
Dołącz do milionów studentów
Knowunity AI
Przedmioty
Triangle Congruence and Similarity Theorems
Triangle Properties and Classification
Linear Equations and Graphs
Geometric Angle Relationships
Trigonometric Functions and Identities
Equation Solving Techniques
Circle Geometry Fundamentals
Division Operations and Methods
Basic Differentiation Rules
Exponent and Logarithm Properties
Pokaż wszystkie tematy
Human Organ Systems
Reproductive Cell Cycles
Biological Sciences Subdisciplines
Cellular Energy Metabolism
Autotrophic Energy Processes
Inheritance Patterns and Principles
Biomolecular Structure and Organization
Cell Cycle and Division Mechanics
Cellular Organization and Development
Biological Structural Organization
Pokaż wszystkie tematy
Chemical Sciences and Applications
Atomic Structure and Composition
Molecular Electron Structure Representation
Atomic Electron Behavior
Matter Properties and Water
Mole Concept and Calculations
Gas Laws and Behavior
Periodic Table Organization
Chemical Thermodynamics Fundamentals
Chemical Bond Types and Properties
Pokaż wszystkie tematy
European Renaissance and Enlightenment
European Cultural Movements 800-1920
American Revolution Era 1763-1797
American Civil War 1861-1865
Global Imperial Systems
Mongol and Chinese Dynasties
U.S. Presidents and World Leaders
Historical Sources and Documentation
World Wars Era and Impact
World Religious Systems
Pokaż wszystkie tematy
Classic and Contemporary Novels
Literary Character Analysis
Rhetorical Theory and Practice
Classic Literary Narratives
Reading Analysis and Interpretation
Narrative Structure and Techniques
English Language Components
Influential English-Language Authors
Basic Sentence Structure
Narrative Voice and Perspective
Pokaż wszystkie tematy
13,653
•
Zaktualizowano Mar 23, 2026
•
The oxidation-reduction (redox) reactions and oxidation states guide provides comprehensive... Pokaż więcej









Ta sekcja skupia się na praktycznych przykładach obliczania stopni utlenienia pierwiastków w różnych związkach chemicznych.
Example: W Cr₂O₇²⁻ obliczamy stopień utlenienia chromu: 2x + 7(-2) = -2 2x - 14 = -2 2x = 12 x = 6
Przedstawiono kilka innych przykładów, w tym:
Highlight: Przy obliczaniu stopni utlenienia kluczowe jest uwzględnienie ładunku całej cząsteczki lub jonu oraz znanych stopni utlenienia innych pierwiastków w związku.

Ta część dokumentu koncentruje się na reakcjach utleniania i redukcji, wyjaśniając kluczowe pojęcia związane z procesami redoks.
Definition: Reakcja redoks to reakcja, w której przynajmniej jeden pierwiastek zmienia swój stopień utlenienia.
Wyjaśniono pojęcia:
Example: Reakcja Mg + Cl₂ → MgCl₂ Równania połówkowe: Mg → Mg²⁺ + 2e⁻ (utlenienie) Cl₂ + 2e⁻ → 2Cl⁻ (redukcja)
Vocabulary: Równanie połówkowe - schemat przedstawiający przyjmowanie lub oddawanie elektronów przez pierwiastki w reakcji redoks.

W tej sekcji omówiono dwa szczególne rodzaje reakcji redoks: dysproporcjonowanie i synproporcjonowanie.
Definition: Reakcja dysproporcjonowania to szczególny przypadek reakcji redoks, w której ta sama substancja pełni rolę utleniacza i reduktora - ten sam pierwiastek obniża i podwyższa swój stopień utlenienia.
Example: 2H₂SO₃ → S + H₂SO₄ + H₂O
Definition: Reakcja synproporcjonowania to reakcja, w której ten sam pierwiastek powstaje z dwóch różnych stopni utlenienia, przechodząc w substancję o tym samym stopniu utlenienia.
Dokument wymienia również przykłady silnych reduktorów (np. metale, wodór) i silnych utleniaczy (np. fluor, KMnO₄, K₂Cr₂O₇, HNO₃).
Highlight: Silne reduktory to pierwiastki łatwo oddające elektrony, natomiast silne utleniacze to pierwiastki łatwo przyjmujące elektrony.

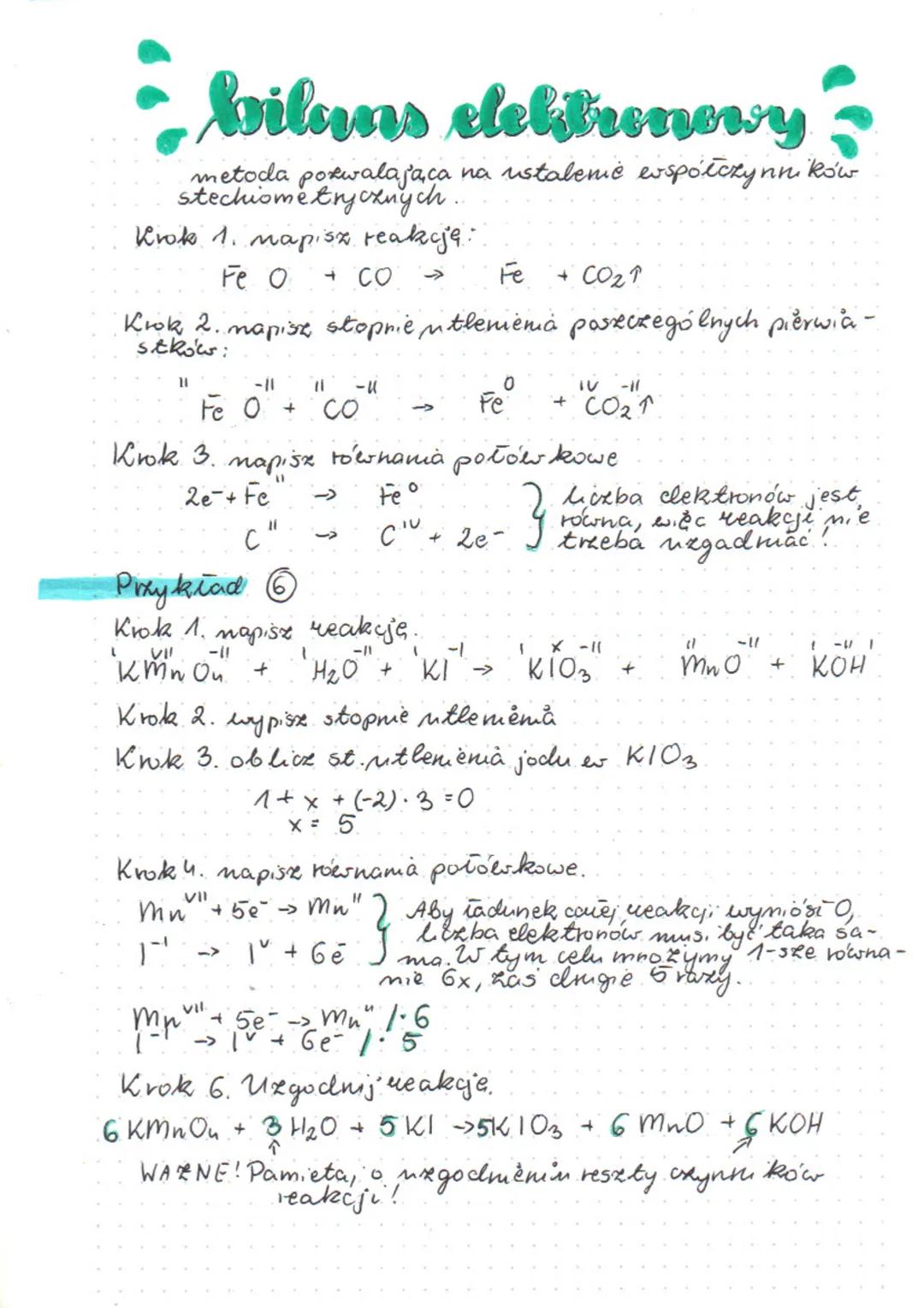
Ta część dokumentu skupia się na metodzie bilansu elektronowego, która pozwala na ustalenie współczynników stechiometrycznych w reakcjach redoks.
Przedstawiono krok po kroku proces bilansowania:
Example: Bilansowanie reakcji KMnO₄ + H₂O + KI → KIO₃ + MnO₂ + KOH
Równania połówkowe: Mn⁷⁺ + 5e⁻ → Mn⁴⁺ I⁻ → I⁵⁺ + 6e⁻
Uzgodnione równanie: 6KMnO₄ + 3H₂O + 5KI → 5KIO₃ + 6MnO₂ + 6KOH
Highlight: Pamiętaj o uzgodnieniu reszty czynników reakcji po zbilansowaniu części redoksowej!

Ta sekcja zawiera szereg przykładów bilansowania różnych reakcji redoks, demonstrując praktyczne zastosowanie metody bilansu elektronowego.
Przykłady obejmują reakcje takie jak:
Example: Bilansowanie reakcji 3P + 5HNO₃ + 2H₂O → 3H₃PO₄ + 5NO
Równania połówkowe: P⁰ + 5e⁻ → P⁵⁺ | ×3 N⁵⁺ + 3e⁻ → N²⁺ | ×5
Highlight: W reakcjach redoks kluczowe jest zidentyfikowanie pierwiastków zmieniających stopień utlenienia i prawidłowe zapisanie równań połówkowych.

Ostatnia część dokumentu koncentruje się na bilansowaniu reakcji redoks z udziałem jonów, co jest bardziej zaawansowanym zastosowaniem metody bilansu elektronowego.
Przedstawiono przykłady takich reakcji:
Example: Bilansowanie reakcji Cr₂O₇²⁻ + SO₃²⁻ + H⁺ → Cr³⁺ + SO₄²⁻ + H₂O
Równania połówkowe: Cr⁶⁺ + 3e⁻ → Cr³⁺ | ×2 S⁴⁺ + 2e⁻ → S⁶⁺ | ×3
Highlight: W reakcjach jonowych ważne jest uwzględnienie nie tylko zmiany stopni utlenienia, ale także zachowanie bilansu ładunków po obu stronach równania.
Dokument kończy się przykładem bardziej złożonej reakcji redoks z udziałem jonów, demonstrując pełne zastosowanie omówionych technik bilansowania.

This page focuses on bilansowanie reakcji redoks przykłady (balancing redox reaction examples) involving ions.
Example: Detailed examples include:

Dokument rozpoczyna się od wyjaśnienia koncepcji stopni utlenienia pierwiastków i przedstawia podstawowe reguły ich określania.
Definicja: Stopień utlenienia to liczba dodatnich lub ujemnych ładunków elementarnych, które miałby atom pierwiastka w związku chemicznym, gdyby wszystkie wiązania były jonowe.
Przedstawiono kluczowe zasady określania stopni utlenienia:
Highlight: Suma ładunków w związku chemicznym musi wynosić zero!
Vocabulary: Reakcje redoks - reakcje, w których zachodzi zmiana stopni utlenienia pierwiastków.
Nasz asystent AI jest specjalnie dostosowany do potrzeb uczniów. W oparciu o miliony treści, które mamy na platformie, możemy udzielać uczniom naprawdę znaczących i trafnych odpowiedzi. Ale nie chodzi tylko o odpowiedzi, towarzysz prowadzi również uczniów przez codzienne wyzwania związane z nauką, ze spersonalizowanymi planami nauki, quizami lub treściami na czacie i 100% personalizacją opartą na umiejętnościach i rozwoju uczniów.
Aplikację możesz pobrać z Google Play i Apple Store.
Tak, masz całkowicie darmowy dostęp do wszystkich notatek w aplikacji, możesz w każdej chwili rozmawiać z Ekspertami lub ich obserwować. Możesz użyć punktów, aby odblokować pewne funkcje w aplikacji, które również możesz otrzymać za darmo. Dodatkowo oferujemy usługę Knowunity Premium, która pozwala na odblokowanie większej liczby funkcji.
Zgłębiaj temat reakcji utleniania i redukcji (redoks) oraz stopni utlenienia. Ta notatka zawiera szczegółowe reakcje chemiczne, przykłady utleniaczy i reduktorów, a także omówienie kolorów związków manganu. Idealna dla studentów chemii, którzy chcą zrozumieć mechanizmy reakcji chemicznych i ich zastosowania.
App Store
Google Play
Aplikacja jest bardzo prosta i dobrze przemyślana. Do tej pory znalazłem wszystko, czego szukałem i mogłem się wiele nauczyć z innych notatek! Na pewno wykorzystam aplikację do pomocy przy robieniu prac domowych! No i oczywiście bardzo pomaga też jako inspiracja do robienia swoich notatek.
Stefan S
użytkownik iOS
Ta aplikacja jest naprawdę świetna. Jest tak wiele notatek i pomocnych informacji [...]. Moim problematycznym przedmiotem jest język niemiecki, a w aplikacji jest w czym wybierać. Dzięki tej aplikacji poprawiłam swój niemiecki. Polecam ją każdemu.
Samantha Klich
użytkownik Androida
Wow, jestem w szoku. Właśnie wypróbowałam aplikację, ponieważ widziałam ją kilka razy reklamowaną na TikToku jestem absolutnie w szoku. Ta aplikacja jest POMOCĄ, której potrzebujesz w szkole i przede wszystkim oferuje tak wiele rzeczy jak notatki czy streszczenia, które są BARDZO pomocne w moim przypadku.
Anna
użytkownik iOS
Kocham tę aplikację! Pomaga mi w zadaniach domowych, motywuje mnie i polepsza mi dzień. Dzięki tej aplikacji moje oceny się poprawiły. Lepszej aplikacji nie znajdę!🩷
Patrycja
użytkowniczka iOS
Super aplikacja! Ma odpowiedzi na wszystkie zadania. Testuję ją od paru miesięcy i jest po prostu perfekcyjna.
Szymon
użytkownik Android
Super aplikacja do nauki i sprawdzania wiedzy. Można znaleźć notatki z WSZYSTKICH przedmiotów. Polecam tym, którzy celują w oceny 5 i 6 😄
Szymon
użytkownik iOS
Aplikacja jest po prostu świetna! Wystarczy, że wpiszę w pasku wyszukiwania swój temat i od razu mam wyniki. Nie muszę oglądać 10 filmów na YouTube, żeby coś zrozumieć, więc oszczędzam swój czas. Po prostu polecam!
Kuba T
użytkownik Androida
W szkole byłem bardzo kiepski z matematyki, ale dzięki tej aplikacji radzę sobie teraz lepiej. Jestem bardzo wdzięczny, że ją stworzyliście.
Kriss
użytkownik Androida
Korzystam z Knowunity od ponad roku i jest mega! Najlepsze opcje z tej apki: ⭐️ Gotowe notatki ⭐️ Spersonalizowane treści ⭐️ Dostęp do chatu GPT W WERSJI SZKOLNEJ ⭐️ Konwersacje z innymi uczniami 🤍 NAUKA WRESZCIE NIE JEST NUDNA 🤍
Gosia
użytkowniczka Android
Bardzo lubię aplikację Knowunity, ponieważ pomaga mi w nauce. Odkąd ją mam moje oceny się poprawiają :)
Sara
użytkowniczka iOS
QUIZY I FISZKI SĄ SUPER PRZYDATNE I UWIELBIAM Knowunity AI. TO JEST DOSŁOWNIE JAK CHATGPT ALE MĄDRZEJSZY!! POMÓGŁ MI NAWET Z PROBLEMAMI Z TUSZEM DO RZĘS!! A TAKŻE Z PRAWDZIWYMI PRZEDMIOTAMI! OCZYWIŚCIE 😍😁😲🤑💗✨🎀😮
Krzysztof
użytkownik Android
Bardzo fajna aplikacja. Pomaga przygotować się do sprawdzianu, kartkówki lub odpowiedzi ustnej.
Oliwia
użytkowniczka iOS
Aplikacja jest bardzo prosta i dobrze przemyślana. Do tej pory znalazłem wszystko, czego szukałem i mogłem się wiele nauczyć z innych notatek! Na pewno wykorzystam aplikację do pomocy przy robieniu prac domowych! No i oczywiście bardzo pomaga też jako inspiracja do robienia swoich notatek.
Stefan S
użytkownik iOS
Ta aplikacja jest naprawdę świetna. Jest tak wiele notatek i pomocnych informacji [...]. Moim problematycznym przedmiotem jest język niemiecki, a w aplikacji jest w czym wybierać. Dzięki tej aplikacji poprawiłam swój niemiecki. Polecam ją każdemu.
Samantha Klich
użytkownik Androida
Wow, jestem w szoku. Właśnie wypróbowałam aplikację, ponieważ widziałam ją kilka razy reklamowaną na TikToku jestem absolutnie w szoku. Ta aplikacja jest POMOCĄ, której potrzebujesz w szkole i przede wszystkim oferuje tak wiele rzeczy jak notatki czy streszczenia, które są BARDZO pomocne w moim przypadku.
Anna
użytkownik iOS
Kocham tę aplikację! Pomaga mi w zadaniach domowych, motywuje mnie i polepsza mi dzień. Dzięki tej aplikacji moje oceny się poprawiły. Lepszej aplikacji nie znajdę!🩷
Patrycja
użytkowniczka iOS
Super aplikacja! Ma odpowiedzi na wszystkie zadania. Testuję ją od paru miesięcy i jest po prostu perfekcyjna.
Szymon
użytkownik Android
Super aplikacja do nauki i sprawdzania wiedzy. Można znaleźć notatki z WSZYSTKICH przedmiotów. Polecam tym, którzy celują w oceny 5 i 6 😄
Szymon
użytkownik iOS
Aplikacja jest po prostu świetna! Wystarczy, że wpiszę w pasku wyszukiwania swój temat i od razu mam wyniki. Nie muszę oglądać 10 filmów na YouTube, żeby coś zrozumieć, więc oszczędzam swój czas. Po prostu polecam!
Kuba T
użytkownik Androida
W szkole byłem bardzo kiepski z matematyki, ale dzięki tej aplikacji radzę sobie teraz lepiej. Jestem bardzo wdzięczny, że ją stworzyliście.
Kriss
użytkownik Androida
Korzystam z Knowunity od ponad roku i jest mega! Najlepsze opcje z tej apki: ⭐️ Gotowe notatki ⭐️ Spersonalizowane treści ⭐️ Dostęp do chatu GPT W WERSJI SZKOLNEJ ⭐️ Konwersacje z innymi uczniami 🤍 NAUKA WRESZCIE NIE JEST NUDNA 🤍
Gosia
użytkowniczka Android
Bardzo lubię aplikację Knowunity, ponieważ pomaga mi w nauce. Odkąd ją mam moje oceny się poprawiają :)
Sara
użytkowniczka iOS
QUIZY I FISZKI SĄ SUPER PRZYDATNE I UWIELBIAM Knowunity AI. TO JEST DOSŁOWNIE JAK CHATGPT ALE MĄDRZEJSZY!! POMÓGŁ MI NAWET Z PROBLEMAMI Z TUSZEM DO RZĘS!! A TAKŻE Z PRAWDZIWYMI PRZEDMIOTAMI! OCZYWIŚCIE 😍😁😲🤑💗✨🎀😮
Krzysztof
użytkownik Android
Bardzo fajna aplikacja. Pomaga przygotować się do sprawdzianu, kartkówki lub odpowiedzi ustnej.
Oliwia
użytkowniczka iOS
The oxidation-reduction (redox) reactions and oxidation states guide provides comprehensive information about electron transfer processes in chemical reactions. The document covers fundamental concepts, calculation methods, and practical examples.
Key points:

Dostęp do wszystkich materiałów
Popraw swoje oceny
Dołącz do milionów studentów
Ta sekcja skupia się na praktycznych przykładach obliczania stopni utlenienia pierwiastków w różnych związkach chemicznych.
Example: W Cr₂O₇²⁻ obliczamy stopień utlenienia chromu: 2x + 7(-2) = -2 2x - 14 = -2 2x = 12 x = 6
Przedstawiono kilka innych przykładów, w tym:
Highlight: Przy obliczaniu stopni utlenienia kluczowe jest uwzględnienie ładunku całej cząsteczki lub jonu oraz znanych stopni utlenienia innych pierwiastków w związku.

Dostęp do wszystkich materiałów
Popraw swoje oceny
Dołącz do milionów studentów
Ta część dokumentu koncentruje się na reakcjach utleniania i redukcji, wyjaśniając kluczowe pojęcia związane z procesami redoks.
Definition: Reakcja redoks to reakcja, w której przynajmniej jeden pierwiastek zmienia swój stopień utlenienia.
Wyjaśniono pojęcia:
Example: Reakcja Mg + Cl₂ → MgCl₂ Równania połówkowe: Mg → Mg²⁺ + 2e⁻ (utlenienie) Cl₂ + 2e⁻ → 2Cl⁻ (redukcja)
Vocabulary: Równanie połówkowe - schemat przedstawiający przyjmowanie lub oddawanie elektronów przez pierwiastki w reakcji redoks.

Dostęp do wszystkich materiałów
Popraw swoje oceny
Dołącz do milionów studentów
W tej sekcji omówiono dwa szczególne rodzaje reakcji redoks: dysproporcjonowanie i synproporcjonowanie.
Definition: Reakcja dysproporcjonowania to szczególny przypadek reakcji redoks, w której ta sama substancja pełni rolę utleniacza i reduktora - ten sam pierwiastek obniża i podwyższa swój stopień utlenienia.
Example: 2H₂SO₃ → S + H₂SO₄ + H₂O
Definition: Reakcja synproporcjonowania to reakcja, w której ten sam pierwiastek powstaje z dwóch różnych stopni utlenienia, przechodząc w substancję o tym samym stopniu utlenienia.
Dokument wymienia również przykłady silnych reduktorów (np. metale, wodór) i silnych utleniaczy (np. fluor, KMnO₄, K₂Cr₂O₇, HNO₃).
Highlight: Silne reduktory to pierwiastki łatwo oddające elektrony, natomiast silne utleniacze to pierwiastki łatwo przyjmujące elektrony.

Dostęp do wszystkich materiałów
Popraw swoje oceny
Dołącz do milionów studentów
Ta część dokumentu skupia się na metodzie bilansu elektronowego, która pozwala na ustalenie współczynników stechiometrycznych w reakcjach redoks.
Przedstawiono krok po kroku proces bilansowania:
Example: Bilansowanie reakcji KMnO₄ + H₂O + KI → KIO₃ + MnO₂ + KOH
Równania połówkowe: Mn⁷⁺ + 5e⁻ → Mn⁴⁺ I⁻ → I⁵⁺ + 6e⁻
Uzgodnione równanie: 6KMnO₄ + 3H₂O + 5KI → 5KIO₃ + 6MnO₂ + 6KOH
Highlight: Pamiętaj o uzgodnieniu reszty czynników reakcji po zbilansowaniu części redoksowej!

Dostęp do wszystkich materiałów
Popraw swoje oceny
Dołącz do milionów studentów
Ta sekcja zawiera szereg przykładów bilansowania różnych reakcji redoks, demonstrując praktyczne zastosowanie metody bilansu elektronowego.
Przykłady obejmują reakcje takie jak:
Example: Bilansowanie reakcji 3P + 5HNO₃ + 2H₂O → 3H₃PO₄ + 5NO
Równania połówkowe: P⁰ + 5e⁻ → P⁵⁺ | ×3 N⁵⁺ + 3e⁻ → N²⁺ | ×5
Highlight: W reakcjach redoks kluczowe jest zidentyfikowanie pierwiastków zmieniających stopień utlenienia i prawidłowe zapisanie równań połówkowych.

Dostęp do wszystkich materiałów
Popraw swoje oceny
Dołącz do milionów studentów
Ostatnia część dokumentu koncentruje się na bilansowaniu reakcji redoks z udziałem jonów, co jest bardziej zaawansowanym zastosowaniem metody bilansu elektronowego.
Przedstawiono przykłady takich reakcji:
Example: Bilansowanie reakcji Cr₂O₇²⁻ + SO₃²⁻ + H⁺ → Cr³⁺ + SO₄²⁻ + H₂O
Równania połówkowe: Cr⁶⁺ + 3e⁻ → Cr³⁺ | ×2 S⁴⁺ + 2e⁻ → S⁶⁺ | ×3
Highlight: W reakcjach jonowych ważne jest uwzględnienie nie tylko zmiany stopni utlenienia, ale także zachowanie bilansu ładunków po obu stronach równania.
Dokument kończy się przykładem bardziej złożonej reakcji redoks z udziałem jonów, demonstrując pełne zastosowanie omówionych technik bilansowania.

Dostęp do wszystkich materiałów
Popraw swoje oceny
Dołącz do milionów studentów
This page focuses on bilansowanie reakcji redoks przykłady (balancing redox reaction examples) involving ions.
Example: Detailed examples include:

Dostęp do wszystkich materiałów
Popraw swoje oceny
Dołącz do milionów studentów
Dokument rozpoczyna się od wyjaśnienia koncepcji stopni utlenienia pierwiastków i przedstawia podstawowe reguły ich określania.
Definicja: Stopień utlenienia to liczba dodatnich lub ujemnych ładunków elementarnych, które miałby atom pierwiastka w związku chemicznym, gdyby wszystkie wiązania były jonowe.
Przedstawiono kluczowe zasady określania stopni utlenienia:
Highlight: Suma ładunków w związku chemicznym musi wynosić zero!
Vocabulary: Reakcje redoks - reakcje, w których zachodzi zmiana stopni utlenienia pierwiastków.
Nasz asystent AI jest specjalnie dostosowany do potrzeb uczniów. W oparciu o miliony treści, które mamy na platformie, możemy udzielać uczniom naprawdę znaczących i trafnych odpowiedzi. Ale nie chodzi tylko o odpowiedzi, towarzysz prowadzi również uczniów przez codzienne wyzwania związane z nauką, ze spersonalizowanymi planami nauki, quizami lub treściami na czacie i 100% personalizacją opartą na umiejętnościach i rozwoju uczniów.
Aplikację możesz pobrać z Google Play i Apple Store.
Tak, masz całkowicie darmowy dostęp do wszystkich notatek w aplikacji, możesz w każdej chwili rozmawiać z Ekspertami lub ich obserwować. Możesz użyć punktów, aby odblokować pewne funkcje w aplikacji, które również możesz otrzymać za darmo. Dodatkowo oferujemy usługę Knowunity Premium, która pozwala na odblokowanie większej liczby funkcji.
507
Inteligentne Narzędzia NOWE
Przekształć te notatki w: ✓ 50+ Pytań Testowych ✓ Interaktywne Fiszki ✓ Pełny egzamin próbny ✓ Plany Eseju
Zgłębiaj stopień i stałą dysocjacji elektrolitów oraz ich wpływ na stężenie roztworów. Obejmuje szczegółowe obliczenia dla kwasów wieloprotonowych i zastosowanie prawa Ostwalda. Idealne dla studentów chemii, którzy chcą zrozumieć mechanizmy dysocjacji i praktyczne zastosowania w zadaniach obliczeniowych.
Zgłębiaj temat chemii atomowej, w tym strukturę atomów, izotopy, zasady kwantowe oraz zjawiska radioaktywności. Dowiedz się o promieniowaniu, liczbach kwantowych, oraz konfiguracji elektronowej. Idealne dla studentów chemii i nauk przyrodniczych.
Zrozumienie reakcji redoks, w tym ustalanie stopni utlenienia, tworzenie równań połówkowych oraz zasady dotyczące utleniania i redukcji. Przykłady i ćwiczenia do samodzielnego rozwiązania. Idealne dla uczniów chemii na poziomie średnim.
Zgłębiaj mechanizmy reakcji benzenowych, toluenowych i naftalenowych, w tym substytucję elektrofilową oraz polimeryzację. Dowiedz się o właściwościach węglowodorów pierścieniowych i ich zastosowaniach w chemii organicznej. Idealne dla studentów chemii poszukujących zrozumienia złożonych reakcji organicznych.
Zgłębiaj kluczowe reakcje chemiczne żelaza, w tym powstawanie różnych osadów, takich jak Fe(OH)3 i FeO3. Dowiedz się o ich właściwościach amfoterycznych oraz kolorach, które wskazują na różne stany utlenienia. Idealne dla studentów chemii szukających zrozumienia procesów związanych z żelazem.
Zrozumienie bilansowania reakcji redoks, w tym utleniania i redukcji, oraz roli utleniaczy i reduktorów. Przewodnik po równaniach półreakcji, stanach utlenienia i czynnikach wpływających na przebieg reakcji chemicznych. Idealne dla studentów chemii.
Zgłębiaj temat reakcji utleniania i redukcji (redoks) oraz stopni utlenienia. Ta notatka zawiera szczegółowe reakcje chemiczne, przykłady utleniaczy i reduktorów, a także omówienie kolorów związków manganu. Idealna dla studentów chemii, którzy chcą zrozumieć mechanizmy reakcji chemicznych i ich zastosowania.
App Store
Google Play
Aplikacja jest bardzo prosta i dobrze przemyślana. Do tej pory znalazłem wszystko, czego szukałem i mogłem się wiele nauczyć z innych notatek! Na pewno wykorzystam aplikację do pomocy przy robieniu prac domowych! No i oczywiście bardzo pomaga też jako inspiracja do robienia swoich notatek.
Stefan S
użytkownik iOS
Ta aplikacja jest naprawdę świetna. Jest tak wiele notatek i pomocnych informacji [...]. Moim problematycznym przedmiotem jest język niemiecki, a w aplikacji jest w czym wybierać. Dzięki tej aplikacji poprawiłam swój niemiecki. Polecam ją każdemu.
Samantha Klich
użytkownik Androida
Wow, jestem w szoku. Właśnie wypróbowałam aplikację, ponieważ widziałam ją kilka razy reklamowaną na TikToku jestem absolutnie w szoku. Ta aplikacja jest POMOCĄ, której potrzebujesz w szkole i przede wszystkim oferuje tak wiele rzeczy jak notatki czy streszczenia, które są BARDZO pomocne w moim przypadku.
Anna
użytkownik iOS
Kocham tę aplikację! Pomaga mi w zadaniach domowych, motywuje mnie i polepsza mi dzień. Dzięki tej aplikacji moje oceny się poprawiły. Lepszej aplikacji nie znajdę!🩷
Patrycja
użytkowniczka iOS
Super aplikacja! Ma odpowiedzi na wszystkie zadania. Testuję ją od paru miesięcy i jest po prostu perfekcyjna.
Szymon
użytkownik Android
Super aplikacja do nauki i sprawdzania wiedzy. Można znaleźć notatki z WSZYSTKICH przedmiotów. Polecam tym, którzy celują w oceny 5 i 6 😄
Szymon
użytkownik iOS
Aplikacja jest po prostu świetna! Wystarczy, że wpiszę w pasku wyszukiwania swój temat i od razu mam wyniki. Nie muszę oglądać 10 filmów na YouTube, żeby coś zrozumieć, więc oszczędzam swój czas. Po prostu polecam!
Kuba T
użytkownik Androida
W szkole byłem bardzo kiepski z matematyki, ale dzięki tej aplikacji radzę sobie teraz lepiej. Jestem bardzo wdzięczny, że ją stworzyliście.
Kriss
użytkownik Androida
Korzystam z Knowunity od ponad roku i jest mega! Najlepsze opcje z tej apki: ⭐️ Gotowe notatki ⭐️ Spersonalizowane treści ⭐️ Dostęp do chatu GPT W WERSJI SZKOLNEJ ⭐️ Konwersacje z innymi uczniami 🤍 NAUKA WRESZCIE NIE JEST NUDNA 🤍
Gosia
użytkowniczka Android
Bardzo lubię aplikację Knowunity, ponieważ pomaga mi w nauce. Odkąd ją mam moje oceny się poprawiają :)
Sara
użytkowniczka iOS
QUIZY I FISZKI SĄ SUPER PRZYDATNE I UWIELBIAM Knowunity AI. TO JEST DOSŁOWNIE JAK CHATGPT ALE MĄDRZEJSZY!! POMÓGŁ MI NAWET Z PROBLEMAMI Z TUSZEM DO RZĘS!! A TAKŻE Z PRAWDZIWYMI PRZEDMIOTAMI! OCZYWIŚCIE 😍😁😲🤑💗✨🎀😮
Krzysztof
użytkownik Android
Bardzo fajna aplikacja. Pomaga przygotować się do sprawdzianu, kartkówki lub odpowiedzi ustnej.
Oliwia
użytkowniczka iOS
Aplikacja jest bardzo prosta i dobrze przemyślana. Do tej pory znalazłem wszystko, czego szukałem i mogłem się wiele nauczyć z innych notatek! Na pewno wykorzystam aplikację do pomocy przy robieniu prac domowych! No i oczywiście bardzo pomaga też jako inspiracja do robienia swoich notatek.
Stefan S
użytkownik iOS
Ta aplikacja jest naprawdę świetna. Jest tak wiele notatek i pomocnych informacji [...]. Moim problematycznym przedmiotem jest język niemiecki, a w aplikacji jest w czym wybierać. Dzięki tej aplikacji poprawiłam swój niemiecki. Polecam ją każdemu.
Samantha Klich
użytkownik Androida
Wow, jestem w szoku. Właśnie wypróbowałam aplikację, ponieważ widziałam ją kilka razy reklamowaną na TikToku jestem absolutnie w szoku. Ta aplikacja jest POMOCĄ, której potrzebujesz w szkole i przede wszystkim oferuje tak wiele rzeczy jak notatki czy streszczenia, które są BARDZO pomocne w moim przypadku.
Anna
użytkownik iOS
Kocham tę aplikację! Pomaga mi w zadaniach domowych, motywuje mnie i polepsza mi dzień. Dzięki tej aplikacji moje oceny się poprawiły. Lepszej aplikacji nie znajdę!🩷
Patrycja
użytkowniczka iOS
Super aplikacja! Ma odpowiedzi na wszystkie zadania. Testuję ją od paru miesięcy i jest po prostu perfekcyjna.
Szymon
użytkownik Android
Super aplikacja do nauki i sprawdzania wiedzy. Można znaleźć notatki z WSZYSTKICH przedmiotów. Polecam tym, którzy celują w oceny 5 i 6 😄
Szymon
użytkownik iOS
Aplikacja jest po prostu świetna! Wystarczy, że wpiszę w pasku wyszukiwania swój temat i od razu mam wyniki. Nie muszę oglądać 10 filmów na YouTube, żeby coś zrozumieć, więc oszczędzam swój czas. Po prostu polecam!
Kuba T
użytkownik Androida
W szkole byłem bardzo kiepski z matematyki, ale dzięki tej aplikacji radzę sobie teraz lepiej. Jestem bardzo wdzięczny, że ją stworzyliście.
Kriss
użytkownik Androida
Korzystam z Knowunity od ponad roku i jest mega! Najlepsze opcje z tej apki: ⭐️ Gotowe notatki ⭐️ Spersonalizowane treści ⭐️ Dostęp do chatu GPT W WERSJI SZKOLNEJ ⭐️ Konwersacje z innymi uczniami 🤍 NAUKA WRESZCIE NIE JEST NUDNA 🤍
Gosia
użytkowniczka Android
Bardzo lubię aplikację Knowunity, ponieważ pomaga mi w nauce. Odkąd ją mam moje oceny się poprawiają :)
Sara
użytkowniczka iOS
QUIZY I FISZKI SĄ SUPER PRZYDATNE I UWIELBIAM Knowunity AI. TO JEST DOSŁOWNIE JAK CHATGPT ALE MĄDRZEJSZY!! POMÓGŁ MI NAWET Z PROBLEMAMI Z TUSZEM DO RZĘS!! A TAKŻE Z PRAWDZIWYMI PRZEDMIOTAMI! OCZYWIŚCIE 😍😁😲🤑💗✨🎀😮
Krzysztof
użytkownik Android
Bardzo fajna aplikacja. Pomaga przygotować się do sprawdzianu, kartkówki lub odpowiedzi ustnej.
Oliwia
użytkowniczka iOS