Logarytmy to kluczowe zagadnienie na maturze z matematyki, które często... Pokaż więcej
Zarejestruj się, aby zobaczyć notatkęTo nic nie kosztuje!
Dostęp do wszystkich materiałów
Popraw swoje oceny
Dołącz do milionów studentów
Knowunity AI
Przedmioty
Triangle Congruence and Similarity Theorems
Triangle Properties and Classification
Linear Equations and Graphs
Geometric Angle Relationships
Trigonometric Functions and Identities
Equation Solving Techniques
Circle Geometry Fundamentals
Division Operations and Methods
Basic Differentiation Rules
Exponent and Logarithm Properties
Pokaż wszystkie tematy
Human Organ Systems
Reproductive Cell Cycles
Biological Sciences Subdisciplines
Cellular Energy Metabolism
Autotrophic Energy Processes
Inheritance Patterns and Principles
Biomolecular Structure and Organization
Cell Cycle and Division Mechanics
Cellular Organization and Development
Biological Structural Organization
Pokaż wszystkie tematy
Chemical Sciences and Applications
Atomic Structure and Composition
Molecular Electron Structure Representation
Atomic Electron Behavior
Matter Properties and Water
Mole Concept and Calculations
Gas Laws and Behavior
Periodic Table Organization
Chemical Thermodynamics Fundamentals
Chemical Bond Types and Properties
Pokaż wszystkie tematy
European Renaissance and Enlightenment
European Cultural Movements 800-1920
American Revolution Era 1763-1797
American Civil War 1861-1865
Global Imperial Systems
Mongol and Chinese Dynasties
U.S. Presidents and World Leaders
Historical Sources and Documentation
World Wars Era and Impact
World Religious Systems
Pokaż wszystkie tematy
Classic and Contemporary Novels
Literary Character Analysis
Rhetorical Theory and Practice
Classic Literary Narratives
Reading Analysis and Interpretation
Narrative Structure and Techniques
English Language Components
Influential English-Language Authors
Basic Sentence Structure
Narrative Voice and Perspective
Pokaż wszystkie tematy
1,373
•
Zaktualizowano May 8, 2026
•
Logarytmy to kluczowe zagadnienie na maturze z matematyki, które często... Pokaż więcej






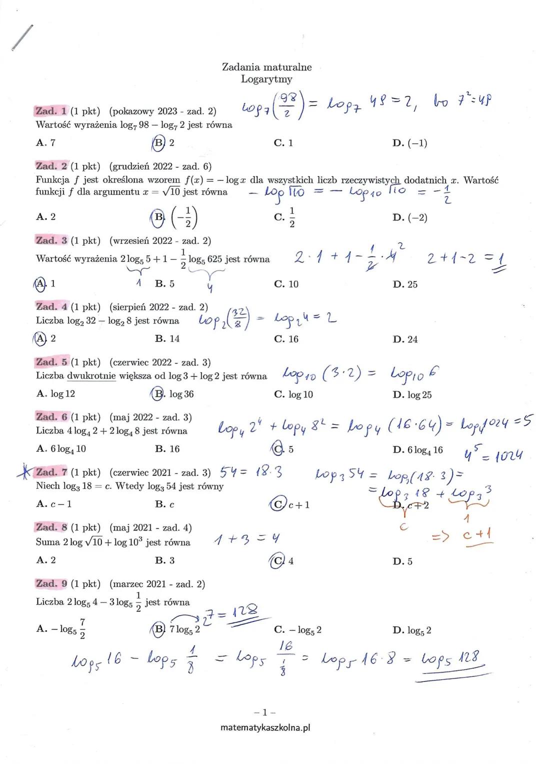
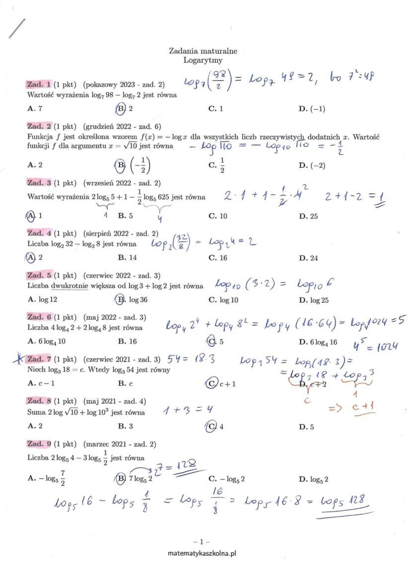
Logarytmy często pojawiają się na maturze w różnych konfiguracjach. Przy rozwiązywaniu zadań kluczowe jest pamiętanie o podstawowych właściwościach:
Na przykład w zadaniu, gdzie mamy obliczyć wartość wyrażenia log₇ 98 - log₇ 2, stosujemy właściwość logarytmu ilorazu: log₇(98/2) = log₇ 49 = 2.
⚠️ Uwaga! Pamiętaj, że logarytm liczby 1 zawsze wynosi 0, niezależnie od podstawy logarytmu: log₁₀ 1 = 0, log₂ 1 = 0, itd.
W zadaniach typu "log₃ 18 = c, ile wynosi log₃ 54?" wykorzystaj fakt, że 54 = 18·3, więc log₃ 54 = log₃(18·3) = log₃ 18 + log₃ 3 = c + 1. To pozwala szybko znaleźć odpowiedź bez wykonywania skomplikowanych obliczeń.

Przy pracy z wyrażeniami zawierającymi różne logarytmy, ważne jest umiejętne stosowanie ich właściwości. Spójrz na te przykłady:
Gdy mamy wyrażenie 2log_5 4 - log_5 4, możemy zapisać je jako log_5(4²) - log_5 4 = log_5(16) - log_5 4 = log_5(16/4) = log_5 4 = 2.
Podobnie w zadaniu z wyrażeniem log_4 96 - log_4 6, stosujemy właściwość logarytmu ilorazu: log_4(96/6) = log_4 16 = 2.
Przy porównywaniu wartości logarytmów, jak w zadaniu gdzie mamy a = log₂ 8, b = log₄ 8, c = log₄(1/2), obliczamy:
💡 Wskazówka: Aby szybko porównywać logarytmy, warto znać wzór na zmianę podstawy logarytmu: log_a(b) = log_c(b) / log_c(a).
Wyrażenia typu 2log₃ 6 - log₃ 4 możemy uprościć do log₃(6²/4) = log₃(36/4) = log₃ 9 = 2. Ta umiejętność pozwoli Ci zaoszczędzić dużo czasu podczas rozwiązywania zadań maturalnych.

Na maturze często spotkasz zadania z logarytmami o różnych podstawach. Kluczem do ich rozwiązania jest umiejętność przekształcania wzorów.
W zadaniu jak możemy wykorzystać właściwości logarytmów:
Przy wyrażeniach jak log₅ 0,04 - log₅ 5 + log₅ 1, pamiętaj że:
🔍 Zwróć uwagę! Logarytmy liczb mniejszych od 1 (jak 0,04) są ujemne. To częsty błąd wśród uczniów!
Przy równaniach wykładniczych typu 4ˣ = 9, przekształć je na postać logarytmiczną:

Na maturze często pojawią się zadania wymagające zastosowania kilku właściwości logarytmów naraz. Oto kilka typowych przykładów:
W zadaniu log₂ 100 - log₂ 50, stosujemy właściwość logarytmu ilorazu: log₂(100/50) = log₂ 2 = 1
Podobnie w zadaniu log 4 + log 5 - log 2: log(4 · 5 / 2) = log 10 = 1
Logarytmy z ułamkami mogą wydawać się trudne, ale spójrz na ten przykład: log₃(1/27) = log₃(3⁻³) = -3
🧠 Zapamiętaj: Logarytm z ułamka możesz zapisać jako logarytm z liczby podniesionej do potęgi ujemnej!
W zadaniach z warunkami istnienia logarytmów pamiętaj, że:
Na przykład w zadaniu z wyrażeniem log₄ musimy określić, kiedy 2x - 1 > 0, co daje x > 1/2.

Na maturze możesz spotkać zadania z logarytmami w nietypowych konfiguracjach. Oto kilka przykładów:
W zadaniu, gdzie log₃ x = 9, bezpośrednio stosujemy definicję logarytmu:
Zadania wymagające wyrażenia jednego logarytmu przez inne są częste:
💪 Możesz to! Logarytmy nie są tak straszne, jak się wydają. Wystarczy systematycznie stosować ich właściwości!
Przy zadaniach typu log 12, możemy zapisać:
Przy rozwiązywaniu zadań z logarytmami kluczem jest cierpliwość i metodyczne podejście. Najpierw zidentyfikuj, jakie właściwości logarytmów można zastosować, a następnie wykonuj przekształcenia krok po kroku.
Nasz asystent AI jest specjalnie dostosowany do potrzeb uczniów. W oparciu o miliony treści, które mamy na platformie, możemy udzielać uczniom naprawdę znaczących i trafnych odpowiedzi. Ale nie chodzi tylko o odpowiedzi, towarzysz prowadzi również uczniów przez codzienne wyzwania związane z nauką, ze spersonalizowanymi planami nauki, quizami lub treściami na czacie i 100% personalizacją opartą na umiejętnościach i rozwoju uczniów.
Aplikację możesz pobrać z Google Play i Apple Store.
Tak, masz całkowicie darmowy dostęp do wszystkich notatek w aplikacji, możesz w każdej chwili rozmawiać z Ekspertami lub ich obserwować. Możesz użyć punktów, aby odblokować pewne funkcje w aplikacji, które również możesz otrzymać za darmo. Dodatkowo oferujemy usługę Knowunity Premium, która pozwala na odblokowanie większej liczby funkcji.
App Store
Google Play
Aplikacja jest bardzo prosta i dobrze przemyślana. Do tej pory znalazłem wszystko, czego szukałem i mogłem się wiele nauczyć z innych notatek! Na pewno wykorzystam aplikację do pomocy przy robieniu prac domowych! No i oczywiście bardzo pomaga też jako inspiracja do robienia swoich notatek.
Stefan S
użytkownik iOS
Ta aplikacja jest naprawdę świetna. Jest tak wiele notatek i pomocnych informacji [...]. Moim problematycznym przedmiotem jest język niemiecki, a w aplikacji jest w czym wybierać. Dzięki tej aplikacji poprawiłam swój niemiecki. Polecam ją każdemu.
Samantha Klich
użytkownik Androida
Wow, jestem w szoku. Właśnie wypróbowałam aplikację, ponieważ widziałam ją kilka razy reklamowaną na TikToku jestem absolutnie w szoku. Ta aplikacja jest POMOCĄ, której potrzebujesz w szkole i przede wszystkim oferuje tak wiele rzeczy jak notatki czy streszczenia, które są BARDZO pomocne w moim przypadku.
Anna
użytkownik iOS
Kocham tę aplikację! Pomaga mi w zadaniach domowych, motywuje mnie i polepsza mi dzień. Dzięki tej aplikacji moje oceny się poprawiły. Lepszej aplikacji nie znajdę!🩷
Patrycja
użytkowniczka iOS
Super aplikacja! Ma odpowiedzi na wszystkie zadania. Testuję ją od paru miesięcy i jest po prostu perfekcyjna.
Szymon
użytkownik Android
Super aplikacja do nauki i sprawdzania wiedzy. Można znaleźć notatki z WSZYSTKICH przedmiotów. Polecam tym, którzy celują w oceny 5 i 6 😄
Szymon
użytkownik iOS
Aplikacja jest po prostu świetna! Wystarczy, że wpiszę w pasku wyszukiwania swój temat i od razu mam wyniki. Nie muszę oglądać 10 filmów na YouTube, żeby coś zrozumieć, więc oszczędzam swój czas. Po prostu polecam!
Kuba T
użytkownik Androida
W szkole byłem bardzo kiepski z matematyki, ale dzięki tej aplikacji radzę sobie teraz lepiej. Jestem bardzo wdzięczny, że ją stworzyliście.
Kriss
użytkownik Androida
Korzystam z Knowunity od ponad roku i jest mega! Najlepsze opcje z tej apki: ⭐️ Gotowe notatki ⭐️ Spersonalizowane treści ⭐️ Dostęp do chatu GPT W WERSJI SZKOLNEJ ⭐️ Konwersacje z innymi uczniami 🤍 NAUKA WRESZCIE NIE JEST NUDNA 🤍
Gosia
użytkowniczka Android
Bardzo lubię aplikację Knowunity, ponieważ pomaga mi w nauce. Odkąd ją mam moje oceny się poprawiają :)
Sara
użytkowniczka iOS
QUIZY I FISZKI SĄ SUPER PRZYDATNE I UWIELBIAM Knowunity AI. TO JEST DOSŁOWNIE JAK CHATGPT ALE MĄDRZEJSZY!! POMÓGŁ MI NAWET Z PROBLEMAMI Z TUSZEM DO RZĘS!! A TAKŻE Z PRAWDZIWYMI PRZEDMIOTAMI! OCZYWIŚCIE 😍😁😲🤑💗✨🎀😮
Krzysztof
użytkownik Android
Bardzo fajna aplikacja. Pomaga przygotować się do sprawdzianu, kartkówki lub odpowiedzi ustnej.
Oliwia
użytkowniczka iOS
Aplikacja jest bardzo prosta i dobrze przemyślana. Do tej pory znalazłem wszystko, czego szukałem i mogłem się wiele nauczyć z innych notatek! Na pewno wykorzystam aplikację do pomocy przy robieniu prac domowych! No i oczywiście bardzo pomaga też jako inspiracja do robienia swoich notatek.
Stefan S
użytkownik iOS
Ta aplikacja jest naprawdę świetna. Jest tak wiele notatek i pomocnych informacji [...]. Moim problematycznym przedmiotem jest język niemiecki, a w aplikacji jest w czym wybierać. Dzięki tej aplikacji poprawiłam swój niemiecki. Polecam ją każdemu.
Samantha Klich
użytkownik Androida
Wow, jestem w szoku. Właśnie wypróbowałam aplikację, ponieważ widziałam ją kilka razy reklamowaną na TikToku jestem absolutnie w szoku. Ta aplikacja jest POMOCĄ, której potrzebujesz w szkole i przede wszystkim oferuje tak wiele rzeczy jak notatki czy streszczenia, które są BARDZO pomocne w moim przypadku.
Anna
użytkownik iOS
Kocham tę aplikację! Pomaga mi w zadaniach domowych, motywuje mnie i polepsza mi dzień. Dzięki tej aplikacji moje oceny się poprawiły. Lepszej aplikacji nie znajdę!🩷
Patrycja
użytkowniczka iOS
Super aplikacja! Ma odpowiedzi na wszystkie zadania. Testuję ją od paru miesięcy i jest po prostu perfekcyjna.
Szymon
użytkownik Android
Super aplikacja do nauki i sprawdzania wiedzy. Można znaleźć notatki z WSZYSTKICH przedmiotów. Polecam tym, którzy celują w oceny 5 i 6 😄
Szymon
użytkownik iOS
Aplikacja jest po prostu świetna! Wystarczy, że wpiszę w pasku wyszukiwania swój temat i od razu mam wyniki. Nie muszę oglądać 10 filmów na YouTube, żeby coś zrozumieć, więc oszczędzam swój czas. Po prostu polecam!
Kuba T
użytkownik Androida
W szkole byłem bardzo kiepski z matematyki, ale dzięki tej aplikacji radzę sobie teraz lepiej. Jestem bardzo wdzięczny, że ją stworzyliście.
Kriss
użytkownik Androida
Korzystam z Knowunity od ponad roku i jest mega! Najlepsze opcje z tej apki: ⭐️ Gotowe notatki ⭐️ Spersonalizowane treści ⭐️ Dostęp do chatu GPT W WERSJI SZKOLNEJ ⭐️ Konwersacje z innymi uczniami 🤍 NAUKA WRESZCIE NIE JEST NUDNA 🤍
Gosia
użytkowniczka Android
Bardzo lubię aplikację Knowunity, ponieważ pomaga mi w nauce. Odkąd ją mam moje oceny się poprawiają :)
Sara
użytkowniczka iOS
QUIZY I FISZKI SĄ SUPER PRZYDATNE I UWIELBIAM Knowunity AI. TO JEST DOSŁOWNIE JAK CHATGPT ALE MĄDRZEJSZY!! POMÓGŁ MI NAWET Z PROBLEMAMI Z TUSZEM DO RZĘS!! A TAKŻE Z PRAWDZIWYMI PRZEDMIOTAMI! OCZYWIŚCIE 😍😁😲🤑💗✨🎀😮
Krzysztof
użytkownik Android
Bardzo fajna aplikacja. Pomaga przygotować się do sprawdzianu, kartkówki lub odpowiedzi ustnej.
Oliwia
użytkowniczka iOS
Logarytmy to kluczowe zagadnienie na maturze z matematyki, które często pojawia się w testach. Zrozumienie właściwości logarytmów i umiejętność rozwiązywania związanych z nimi zadań może znacząco podnieść Twój wynik na egzaminie. Poniżej znajdziesz skondensowany przegląd typowych zadań maturalnych z tego... Pokaż więcej

Dostęp do wszystkich materiałów
Popraw swoje oceny
Dołącz do milionów studentów
Logarytmy często pojawiają się na maturze w różnych konfiguracjach. Przy rozwiązywaniu zadań kluczowe jest pamiętanie o podstawowych właściwościach:
Na przykład w zadaniu, gdzie mamy obliczyć wartość wyrażenia log₇ 98 - log₇ 2, stosujemy właściwość logarytmu ilorazu: log₇(98/2) = log₇ 49 = 2.
⚠️ Uwaga! Pamiętaj, że logarytm liczby 1 zawsze wynosi 0, niezależnie od podstawy logarytmu: log₁₀ 1 = 0, log₂ 1 = 0, itd.
W zadaniach typu "log₃ 18 = c, ile wynosi log₃ 54?" wykorzystaj fakt, że 54 = 18·3, więc log₃ 54 = log₃(18·3) = log₃ 18 + log₃ 3 = c + 1. To pozwala szybko znaleźć odpowiedź bez wykonywania skomplikowanych obliczeń.

Dostęp do wszystkich materiałów
Popraw swoje oceny
Dołącz do milionów studentów
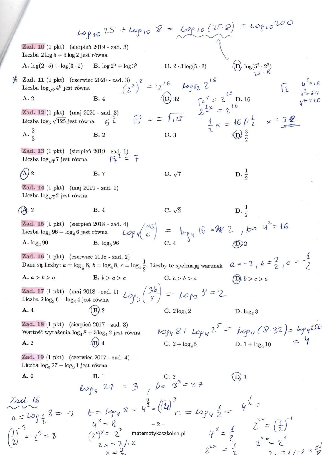
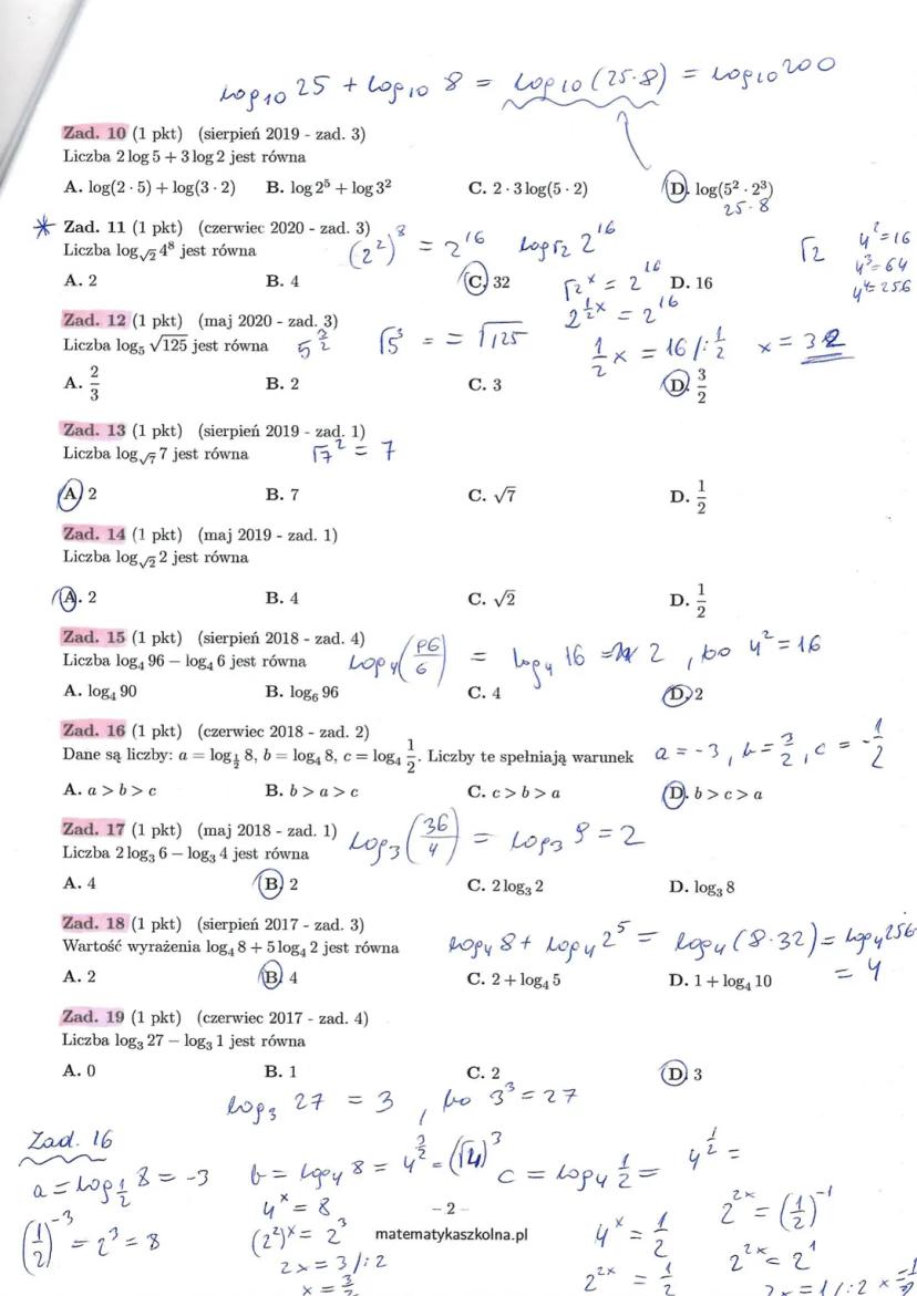
Przy pracy z wyrażeniami zawierającymi różne logarytmy, ważne jest umiejętne stosowanie ich właściwości. Spójrz na te przykłady:
Gdy mamy wyrażenie 2log_5 4 - log_5 4, możemy zapisać je jako log_5(4²) - log_5 4 = log_5(16) - log_5 4 = log_5(16/4) = log_5 4 = 2.
Podobnie w zadaniu z wyrażeniem log_4 96 - log_4 6, stosujemy właściwość logarytmu ilorazu: log_4(96/6) = log_4 16 = 2.
Przy porównywaniu wartości logarytmów, jak w zadaniu gdzie mamy a = log₂ 8, b = log₄ 8, c = log₄(1/2), obliczamy:
💡 Wskazówka: Aby szybko porównywać logarytmy, warto znać wzór na zmianę podstawy logarytmu: log_a(b) = log_c(b) / log_c(a).
Wyrażenia typu 2log₃ 6 - log₃ 4 możemy uprościć do log₃(6²/4) = log₃(36/4) = log₃ 9 = 2. Ta umiejętność pozwoli Ci zaoszczędzić dużo czasu podczas rozwiązywania zadań maturalnych.

Dostęp do wszystkich materiałów
Popraw swoje oceny
Dołącz do milionów studentów
Na maturze często spotkasz zadania z logarytmami o różnych podstawach. Kluczem do ich rozwiązania jest umiejętność przekształcania wzorów.
W zadaniu jak możemy wykorzystać właściwości logarytmów:
Przy wyrażeniach jak log₅ 0,04 - log₅ 5 + log₅ 1, pamiętaj że:
🔍 Zwróć uwagę! Logarytmy liczb mniejszych od 1 (jak 0,04) są ujemne. To częsty błąd wśród uczniów!
Przy równaniach wykładniczych typu 4ˣ = 9, przekształć je na postać logarytmiczną:

Dostęp do wszystkich materiałów
Popraw swoje oceny
Dołącz do milionów studentów
Na maturze często pojawią się zadania wymagające zastosowania kilku właściwości logarytmów naraz. Oto kilka typowych przykładów:
W zadaniu log₂ 100 - log₂ 50, stosujemy właściwość logarytmu ilorazu: log₂(100/50) = log₂ 2 = 1
Podobnie w zadaniu log 4 + log 5 - log 2: log(4 · 5 / 2) = log 10 = 1
Logarytmy z ułamkami mogą wydawać się trudne, ale spójrz na ten przykład: log₃(1/27) = log₃(3⁻³) = -3
🧠 Zapamiętaj: Logarytm z ułamka możesz zapisać jako logarytm z liczby podniesionej do potęgi ujemnej!
W zadaniach z warunkami istnienia logarytmów pamiętaj, że:
Na przykład w zadaniu z wyrażeniem log₄ musimy określić, kiedy 2x - 1 > 0, co daje x > 1/2.

Dostęp do wszystkich materiałów
Popraw swoje oceny
Dołącz do milionów studentów
Na maturze możesz spotkać zadania z logarytmami w nietypowych konfiguracjach. Oto kilka przykładów:
W zadaniu, gdzie log₃ x = 9, bezpośrednio stosujemy definicję logarytmu:
Zadania wymagające wyrażenia jednego logarytmu przez inne są częste:
💪 Możesz to! Logarytmy nie są tak straszne, jak się wydają. Wystarczy systematycznie stosować ich właściwości!
Przy zadaniach typu log 12, możemy zapisać:
Przy rozwiązywaniu zadań z logarytmami kluczem jest cierpliwość i metodyczne podejście. Najpierw zidentyfikuj, jakie właściwości logarytmów można zastosować, a następnie wykonuj przekształcenia krok po kroku.
Nasz asystent AI jest specjalnie dostosowany do potrzeb uczniów. W oparciu o miliony treści, które mamy na platformie, możemy udzielać uczniom naprawdę znaczących i trafnych odpowiedzi. Ale nie chodzi tylko o odpowiedzi, towarzysz prowadzi również uczniów przez codzienne wyzwania związane z nauką, ze spersonalizowanymi planami nauki, quizami lub treściami na czacie i 100% personalizacją opartą na umiejętnościach i rozwoju uczniów.
Aplikację możesz pobrać z Google Play i Apple Store.
Tak, masz całkowicie darmowy dostęp do wszystkich notatek w aplikacji, możesz w każdej chwili rozmawiać z Ekspertami lub ich obserwować. Możesz użyć punktów, aby odblokować pewne funkcje w aplikacji, które również możesz otrzymać za darmo. Dodatkowo oferujemy usługę Knowunity Premium, która pozwala na odblokowanie większej liczby funkcji.
33
Inteligentne Narzędzia NOWE
Przekształć te notatki w: ✓ 50+ Pytań Testowych ✓ Interaktywne Fiszki ✓ Pełny egzamin próbny ✓ Plany Eseju
Zrozumienie logarytmów: definicje, logarytm dziesiętny, zamiana podstaw oraz działania na logarytmach. Idealne dla uczniów przygotowujących się do egzaminów z matematyki.
Praktyczne zadania dotyczące logarytmów, obejmujące podstawowe wzory i operacje. Dowiedz się, jak rozwiązywać równania logarytmiczne, przekształcać wyrażenia oraz porównywać logarytmy. Idealne dla uczniów przygotowujących się do egzaminów z matematyki.
Odkryj kluczowe wzory i zasady dotyczące logarytmów, w tym zmiany podstawy oraz prawa logarytmiczne. Idealne dla uczniów przygotowujących się do egzaminów z matematyki. Zawiera przykłady i obliczenia, które pomogą w zrozumieniu funkcji logarytmicznych.
Zrozumienie logarytmów dziesiętnych, ich definicji oraz zastosowań w matematyce. Dowiedz się, jak obliczać logarytmy o podstawie 10, w tym przykłady i praktyczne zastosowania. Idealne dla uczniów przygotowujących się do egzaminów z matematyki.
Rozwiązywanie zadań maturalnych z logarytmów. Obejmuje różne typy zadań, w tym obliczenia logarytmów, właściwości logarytmów oraz zastosowanie w równaniach. Idealne dla uczniów przygotowujących się do matury. Typ: zestaw zadań.
Odkryj kluczowe wzory logarytmiczne z przykładami. Ta prezentacja zawiera najważniejsze zasady dotyczące logarytmów, w tym obliczenia logarytmów dla różnych podstaw oraz zastosowania w zadaniach. Idealne dla uczniów przygotowujących się do egzaminów z matematyki.
App Store
Google Play
Aplikacja jest bardzo prosta i dobrze przemyślana. Do tej pory znalazłem wszystko, czego szukałem i mogłem się wiele nauczyć z innych notatek! Na pewno wykorzystam aplikację do pomocy przy robieniu prac domowych! No i oczywiście bardzo pomaga też jako inspiracja do robienia swoich notatek.
Stefan S
użytkownik iOS
Ta aplikacja jest naprawdę świetna. Jest tak wiele notatek i pomocnych informacji [...]. Moim problematycznym przedmiotem jest język niemiecki, a w aplikacji jest w czym wybierać. Dzięki tej aplikacji poprawiłam swój niemiecki. Polecam ją każdemu.
Samantha Klich
użytkownik Androida
Wow, jestem w szoku. Właśnie wypróbowałam aplikację, ponieważ widziałam ją kilka razy reklamowaną na TikToku jestem absolutnie w szoku. Ta aplikacja jest POMOCĄ, której potrzebujesz w szkole i przede wszystkim oferuje tak wiele rzeczy jak notatki czy streszczenia, które są BARDZO pomocne w moim przypadku.
Anna
użytkownik iOS
Kocham tę aplikację! Pomaga mi w zadaniach domowych, motywuje mnie i polepsza mi dzień. Dzięki tej aplikacji moje oceny się poprawiły. Lepszej aplikacji nie znajdę!🩷
Patrycja
użytkowniczka iOS
Super aplikacja! Ma odpowiedzi na wszystkie zadania. Testuję ją od paru miesięcy i jest po prostu perfekcyjna.
Szymon
użytkownik Android
Super aplikacja do nauki i sprawdzania wiedzy. Można znaleźć notatki z WSZYSTKICH przedmiotów. Polecam tym, którzy celują w oceny 5 i 6 😄
Szymon
użytkownik iOS
Aplikacja jest po prostu świetna! Wystarczy, że wpiszę w pasku wyszukiwania swój temat i od razu mam wyniki. Nie muszę oglądać 10 filmów na YouTube, żeby coś zrozumieć, więc oszczędzam swój czas. Po prostu polecam!
Kuba T
użytkownik Androida
W szkole byłem bardzo kiepski z matematyki, ale dzięki tej aplikacji radzę sobie teraz lepiej. Jestem bardzo wdzięczny, że ją stworzyliście.
Kriss
użytkownik Androida
Korzystam z Knowunity od ponad roku i jest mega! Najlepsze opcje z tej apki: ⭐️ Gotowe notatki ⭐️ Spersonalizowane treści ⭐️ Dostęp do chatu GPT W WERSJI SZKOLNEJ ⭐️ Konwersacje z innymi uczniami 🤍 NAUKA WRESZCIE NIE JEST NUDNA 🤍
Gosia
użytkowniczka Android
Bardzo lubię aplikację Knowunity, ponieważ pomaga mi w nauce. Odkąd ją mam moje oceny się poprawiają :)
Sara
użytkowniczka iOS
QUIZY I FISZKI SĄ SUPER PRZYDATNE I UWIELBIAM Knowunity AI. TO JEST DOSŁOWNIE JAK CHATGPT ALE MĄDRZEJSZY!! POMÓGŁ MI NAWET Z PROBLEMAMI Z TUSZEM DO RZĘS!! A TAKŻE Z PRAWDZIWYMI PRZEDMIOTAMI! OCZYWIŚCIE 😍😁😲🤑💗✨🎀😮
Krzysztof
użytkownik Android
Bardzo fajna aplikacja. Pomaga przygotować się do sprawdzianu, kartkówki lub odpowiedzi ustnej.
Oliwia
użytkowniczka iOS
Aplikacja jest bardzo prosta i dobrze przemyślana. Do tej pory znalazłem wszystko, czego szukałem i mogłem się wiele nauczyć z innych notatek! Na pewno wykorzystam aplikację do pomocy przy robieniu prac domowych! No i oczywiście bardzo pomaga też jako inspiracja do robienia swoich notatek.
Stefan S
użytkownik iOS
Ta aplikacja jest naprawdę świetna. Jest tak wiele notatek i pomocnych informacji [...]. Moim problematycznym przedmiotem jest język niemiecki, a w aplikacji jest w czym wybierać. Dzięki tej aplikacji poprawiłam swój niemiecki. Polecam ją każdemu.
Samantha Klich
użytkownik Androida
Wow, jestem w szoku. Właśnie wypróbowałam aplikację, ponieważ widziałam ją kilka razy reklamowaną na TikToku jestem absolutnie w szoku. Ta aplikacja jest POMOCĄ, której potrzebujesz w szkole i przede wszystkim oferuje tak wiele rzeczy jak notatki czy streszczenia, które są BARDZO pomocne w moim przypadku.
Anna
użytkownik iOS
Kocham tę aplikację! Pomaga mi w zadaniach domowych, motywuje mnie i polepsza mi dzień. Dzięki tej aplikacji moje oceny się poprawiły. Lepszej aplikacji nie znajdę!🩷
Patrycja
użytkowniczka iOS
Super aplikacja! Ma odpowiedzi na wszystkie zadania. Testuję ją od paru miesięcy i jest po prostu perfekcyjna.
Szymon
użytkownik Android
Super aplikacja do nauki i sprawdzania wiedzy. Można znaleźć notatki z WSZYSTKICH przedmiotów. Polecam tym, którzy celują w oceny 5 i 6 😄
Szymon
użytkownik iOS
Aplikacja jest po prostu świetna! Wystarczy, że wpiszę w pasku wyszukiwania swój temat i od razu mam wyniki. Nie muszę oglądać 10 filmów na YouTube, żeby coś zrozumieć, więc oszczędzam swój czas. Po prostu polecam!
Kuba T
użytkownik Androida
W szkole byłem bardzo kiepski z matematyki, ale dzięki tej aplikacji radzę sobie teraz lepiej. Jestem bardzo wdzięczny, że ją stworzyliście.
Kriss
użytkownik Androida
Korzystam z Knowunity od ponad roku i jest mega! Najlepsze opcje z tej apki: ⭐️ Gotowe notatki ⭐️ Spersonalizowane treści ⭐️ Dostęp do chatu GPT W WERSJI SZKOLNEJ ⭐️ Konwersacje z innymi uczniami 🤍 NAUKA WRESZCIE NIE JEST NUDNA 🤍
Gosia
użytkowniczka Android
Bardzo lubię aplikację Knowunity, ponieważ pomaga mi w nauce. Odkąd ją mam moje oceny się poprawiają :)
Sara
użytkowniczka iOS
QUIZY I FISZKI SĄ SUPER PRZYDATNE I UWIELBIAM Knowunity AI. TO JEST DOSŁOWNIE JAK CHATGPT ALE MĄDRZEJSZY!! POMÓGŁ MI NAWET Z PROBLEMAMI Z TUSZEM DO RZĘS!! A TAKŻE Z PRAWDZIWYMI PRZEDMIOTAMI! OCZYWIŚCIE 😍😁😲🤑💗✨🎀😮
Krzysztof
użytkownik Android
Bardzo fajna aplikacja. Pomaga przygotować się do sprawdzianu, kartkówki lub odpowiedzi ustnej.
Oliwia
użytkowniczka iOS