Stechiometria to dział chemii, który zajmuje się ilościowymi zależnościami między... Pokaż więcej
Zarejestruj się, aby zobaczyć notatkęTo nic nie kosztuje!
Dostęp do wszystkich materiałów
Popraw swoje oceny
Dołącz do milionów studentów
Knowunity AI
Przedmioty
Triangle Congruence and Similarity Theorems
Triangle Properties and Classification
Linear Equations and Graphs
Geometric Angle Relationships
Trigonometric Functions and Identities
Equation Solving Techniques
Circle Geometry Fundamentals
Division Operations and Methods
Basic Differentiation Rules
Exponent and Logarithm Properties
Pokaż wszystkie tematy
Human Organ Systems
Reproductive Cell Cycles
Biological Sciences Subdisciplines
Cellular Energy Metabolism
Autotrophic Energy Processes
Inheritance Patterns and Principles
Biomolecular Structure and Organization
Cell Cycle and Division Mechanics
Cellular Organization and Development
Biological Structural Organization
Pokaż wszystkie tematy
Chemical Sciences and Applications
Atomic Structure and Composition
Molecular Electron Structure Representation
Atomic Electron Behavior
Matter Properties and Water
Mole Concept and Calculations
Gas Laws and Behavior
Periodic Table Organization
Chemical Thermodynamics Fundamentals
Chemical Bond Types and Properties
Pokaż wszystkie tematy
European Renaissance and Enlightenment
European Cultural Movements 800-1920
American Revolution Era 1763-1797
American Civil War 1861-1865
Global Imperial Systems
Mongol and Chinese Dynasties
U.S. Presidents and World Leaders
Historical Sources and Documentation
World Wars Era and Impact
World Religious Systems
Pokaż wszystkie tematy
Classic and Contemporary Novels
Literary Character Analysis
Rhetorical Theory and Practice
Classic Literary Narratives
Reading Analysis and Interpretation
Narrative Structure and Techniques
English Language Components
Influential English-Language Authors
Basic Sentence Structure
Narrative Voice and Perspective
Pokaż wszystkie tematy
676
•
Zaktualizowano Mar 18, 2026
•
Hania
@haniagadomska
Stechiometria to dział chemii, który zajmuje się ilościowymi zależnościami między... Pokaż więcej
![Sta
mol- jednostka licznośu materic
Liczba Avagarda 6,02-1023
1 mol = 6,02.1023 atomów/cząsteczki / jonów
masa atomowa jednosta unit [u]](/_next/image?url=https%3A%2F%2Fcontent-eu-central-1.knowunity.com%2FCONTENT%2FneimcrkoQQpFNgzlWVFV_image_page_1.webp&w=2048&q=75)
Mol to podstawowa jednostka liczności materii. Jeden mol zawiera dokładnie liczbę Avogadra cząstek, czyli aż 6,02·10²³ atomów, cząsteczek lub jonów. Dzięki temu możemy przeliczać mikroskopowe ilości na makroskopowe.
Masa atomowa (mierzona w jednostkach u) określa masę pojedynczego atomu, np. wodór ma masę 1u. Z kolei masa cząsteczkowa to suma mas atomowych wszystkich atomów w cząsteczce. Przykładowo, masa cząsteczkowa wody (H₂O) to 18u .
Masa molowa (M) określa masę jednego mola substancji i wyrażana jest w g/mol. Dla wody masa molowa wynosi 18 g/mol. Gazy mają też swoją objętość molową - w warunkach normalnych (0°C, 1 atm) 1 mol gazu zajmuje 22,4 dm³, a w warunkach standardowych (25°C, 1 atm) - 24,4 dm³.
💡 Pamiętaj: Stosunki atomowe, masowe i procentowe są kluczowe przy rozwiązywaniu zadań stechiometrycznych. Dla przykładu, w Al₂O₃ stosunek atomowy Al:O wynosi 2:3, stosunek masowy to 54u:48u (czyli 9:8), a zawartość procentowa glinu to 53%.
![Sta
mol- jednostka licznośu materic
Liczba Avagarda 6,02-1023
1 mol = 6,02.1023 atomów/cząsteczki / jonów
masa atomowa jednosta unit [u]](/_next/image?url=https%3A%2F%2Fcontent-eu-central-1.knowunity.com%2FCONTENT%2FneimcrkoQQpFNgzlWVFV_image_page_2.webp&w=2048&q=75)
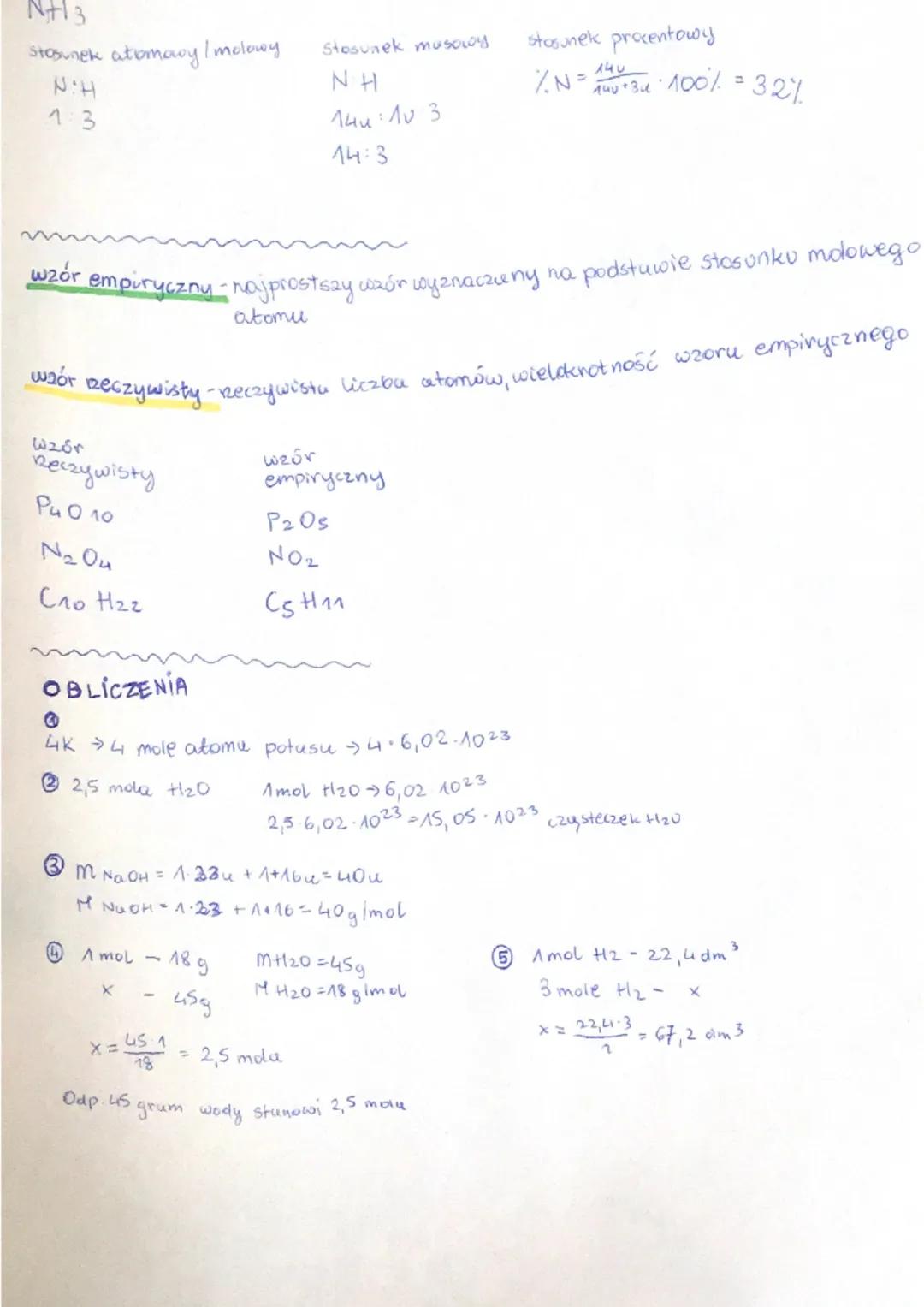
W stechiometrii często przeliczamy między wzorem empirycznym (najprostszym) a rzeczywistym. Wzór empiryczny pokazuje najprostszy stosunek atomów, podczas gdy wzór rzeczywisty pokazuje faktyczną liczbę atomów w cząsteczce. Na przykład P₄O₁₀ ma wzór empiryczny P₂O₅, a N₂O₄ ma wzór empiryczny NO₂.
Przykładowe obliczenia stechiometryczne są proste, gdy znasz podstawowe zależności. Jeśli mamy 4 atomy potasu, to mamy 4 mole tego pierwiastka, czyli 4·6,02·10²³ atomów. W przypadku 2,5 mola wody, liczbę cząsteczek obliczamy jako 2,5·6,02·10²³ = 15,05·10²³.
Obliczanie masy molowej to sumowanie mas atomowych pierwiastków według wzoru. Dla NaOH masa molowa wynosi 23 + 1 + 16 = 40 g/mol. Możemy też przeliczać między masą a liczbą moli. Na przykład, 45 g wody to 2,5 mola, bo 45 ÷ = 2,5 mola.
🔬 Przy obliczaniu objętości gazów pamiętaj o warunkach! W warunkach normalnych 3 mole wodoru zajmują objętość 3 · 22,4 dm³ = 67,2 dm³.
Nasz asystent AI jest specjalnie dostosowany do potrzeb uczniów. W oparciu o miliony treści, które mamy na platformie, możemy udzielać uczniom naprawdę znaczących i trafnych odpowiedzi. Ale nie chodzi tylko o odpowiedzi, towarzysz prowadzi również uczniów przez codzienne wyzwania związane z nauką, ze spersonalizowanymi planami nauki, quizami lub treściami na czacie i 100% personalizacją opartą na umiejętnościach i rozwoju uczniów.
Aplikację możesz pobrać z Google Play i Apple Store.
Tak, masz całkowicie darmowy dostęp do wszystkich notatek w aplikacji, możesz w każdej chwili rozmawiać z Ekspertami lub ich obserwować. Możesz użyć punktów, aby odblokować pewne funkcje w aplikacji, które również możesz otrzymać za darmo. Dodatkowo oferujemy usługę Knowunity Premium, która pozwala na odblokowanie większej liczby funkcji.
App Store
Google Play
Aplikacja jest bardzo prosta i dobrze przemyślana. Do tej pory znalazłem wszystko, czego szukałem i mogłem się wiele nauczyć z innych notatek! Na pewno wykorzystam aplikację do pomocy przy robieniu prac domowych! No i oczywiście bardzo pomaga też jako inspiracja do robienia swoich notatek.
Stefan S
użytkownik iOS
Ta aplikacja jest naprawdę świetna. Jest tak wiele notatek i pomocnych informacji [...]. Moim problematycznym przedmiotem jest język niemiecki, a w aplikacji jest w czym wybierać. Dzięki tej aplikacji poprawiłam swój niemiecki. Polecam ją każdemu.
Samantha Klich
użytkownik Androida
Wow, jestem w szoku. Właśnie wypróbowałam aplikację, ponieważ widziałam ją kilka razy reklamowaną na TikToku jestem absolutnie w szoku. Ta aplikacja jest POMOCĄ, której potrzebujesz w szkole i przede wszystkim oferuje tak wiele rzeczy jak notatki czy streszczenia, które są BARDZO pomocne w moim przypadku.
Anna
użytkownik iOS
Kocham tę aplikację! Pomaga mi w zadaniach domowych, motywuje mnie i polepsza mi dzień. Dzięki tej aplikacji moje oceny się poprawiły. Lepszej aplikacji nie znajdę!🩷
Patrycja
użytkowniczka iOS
Super aplikacja! Ma odpowiedzi na wszystkie zadania. Testuję ją od paru miesięcy i jest po prostu perfekcyjna.
Szymon
użytkownik Android
Super aplikacja do nauki i sprawdzania wiedzy. Można znaleźć notatki z WSZYSTKICH przedmiotów. Polecam tym, którzy celują w oceny 5 i 6 😄
Szymon
użytkownik iOS
Aplikacja jest po prostu świetna! Wystarczy, że wpiszę w pasku wyszukiwania swój temat i od razu mam wyniki. Nie muszę oglądać 10 filmów na YouTube, żeby coś zrozumieć, więc oszczędzam swój czas. Po prostu polecam!
Kuba T
użytkownik Androida
W szkole byłem bardzo kiepski z matematyki, ale dzięki tej aplikacji radzę sobie teraz lepiej. Jestem bardzo wdzięczny, że ją stworzyliście.
Kriss
użytkownik Androida
Korzystam z Knowunity od ponad roku i jest mega! Najlepsze opcje z tej apki: ⭐️ Gotowe notatki ⭐️ Spersonalizowane treści ⭐️ Dostęp do chatu GPT W WERSJI SZKOLNEJ ⭐️ Konwersacje z innymi uczniami 🤍 NAUKA WRESZCIE NIE JEST NUDNA 🤍
Gosia
użytkowniczka Android
Bardzo lubię aplikację Knowunity, ponieważ pomaga mi w nauce. Odkąd ją mam moje oceny się poprawiają :)
Sara
użytkowniczka iOS
QUIZY I FISZKI SĄ SUPER PRZYDATNE I UWIELBIAM Knowunity AI. TO JEST DOSŁOWNIE JAK CHATGPT ALE MĄDRZEJSZY!! POMÓGŁ MI NAWET Z PROBLEMAMI Z TUSZEM DO RZĘS!! A TAKŻE Z PRAWDZIWYMI PRZEDMIOTAMI! OCZYWIŚCIE 😍😁😲🤑💗✨🎀😮
Krzysztof
użytkownik Android
Bardzo fajna aplikacja. Pomaga przygotować się do sprawdzianu, kartkówki lub odpowiedzi ustnej.
Oliwia
użytkowniczka iOS
Aplikacja jest bardzo prosta i dobrze przemyślana. Do tej pory znalazłem wszystko, czego szukałem i mogłem się wiele nauczyć z innych notatek! Na pewno wykorzystam aplikację do pomocy przy robieniu prac domowych! No i oczywiście bardzo pomaga też jako inspiracja do robienia swoich notatek.
Stefan S
użytkownik iOS
Ta aplikacja jest naprawdę świetna. Jest tak wiele notatek i pomocnych informacji [...]. Moim problematycznym przedmiotem jest język niemiecki, a w aplikacji jest w czym wybierać. Dzięki tej aplikacji poprawiłam swój niemiecki. Polecam ją każdemu.
Samantha Klich
użytkownik Androida
Wow, jestem w szoku. Właśnie wypróbowałam aplikację, ponieważ widziałam ją kilka razy reklamowaną na TikToku jestem absolutnie w szoku. Ta aplikacja jest POMOCĄ, której potrzebujesz w szkole i przede wszystkim oferuje tak wiele rzeczy jak notatki czy streszczenia, które są BARDZO pomocne w moim przypadku.
Anna
użytkownik iOS
Kocham tę aplikację! Pomaga mi w zadaniach domowych, motywuje mnie i polepsza mi dzień. Dzięki tej aplikacji moje oceny się poprawiły. Lepszej aplikacji nie znajdę!🩷
Patrycja
użytkowniczka iOS
Super aplikacja! Ma odpowiedzi na wszystkie zadania. Testuję ją od paru miesięcy i jest po prostu perfekcyjna.
Szymon
użytkownik Android
Super aplikacja do nauki i sprawdzania wiedzy. Można znaleźć notatki z WSZYSTKICH przedmiotów. Polecam tym, którzy celują w oceny 5 i 6 😄
Szymon
użytkownik iOS
Aplikacja jest po prostu świetna! Wystarczy, że wpiszę w pasku wyszukiwania swój temat i od razu mam wyniki. Nie muszę oglądać 10 filmów na YouTube, żeby coś zrozumieć, więc oszczędzam swój czas. Po prostu polecam!
Kuba T
użytkownik Androida
W szkole byłem bardzo kiepski z matematyki, ale dzięki tej aplikacji radzę sobie teraz lepiej. Jestem bardzo wdzięczny, że ją stworzyliście.
Kriss
użytkownik Androida
Korzystam z Knowunity od ponad roku i jest mega! Najlepsze opcje z tej apki: ⭐️ Gotowe notatki ⭐️ Spersonalizowane treści ⭐️ Dostęp do chatu GPT W WERSJI SZKOLNEJ ⭐️ Konwersacje z innymi uczniami 🤍 NAUKA WRESZCIE NIE JEST NUDNA 🤍
Gosia
użytkowniczka Android
Bardzo lubię aplikację Knowunity, ponieważ pomaga mi w nauce. Odkąd ją mam moje oceny się poprawiają :)
Sara
użytkowniczka iOS
QUIZY I FISZKI SĄ SUPER PRZYDATNE I UWIELBIAM Knowunity AI. TO JEST DOSŁOWNIE JAK CHATGPT ALE MĄDRZEJSZY!! POMÓGŁ MI NAWET Z PROBLEMAMI Z TUSZEM DO RZĘS!! A TAKŻE Z PRAWDZIWYMI PRZEDMIOTAMI! OCZYWIŚCIE 😍😁😲🤑💗✨🎀😮
Krzysztof
użytkownik Android
Bardzo fajna aplikacja. Pomaga przygotować się do sprawdzianu, kartkówki lub odpowiedzi ustnej.
Oliwia
użytkowniczka iOS
Hania
@haniagadomska
Stechiometria to dział chemii, który zajmuje się ilościowymi zależnościami między substancjami w reakcjach chemicznych. Pomaga nam zrozumieć, jak obliczać masy, objętości i ilości substancji biorących udział w przemianach chemicznych.
![Sta
mol- jednostka licznośu materic
Liczba Avagarda 6,02-1023
1 mol = 6,02.1023 atomów/cząsteczki / jonów
masa atomowa jednosta unit [u]](/_next/image?url=https%3A%2F%2Fcontent-eu-central-1.knowunity.com%2FCONTENT%2FneimcrkoQQpFNgzlWVFV_image_page_1.webp&w=2048&q=75)
Dostęp do wszystkich materiałów
Popraw swoje oceny
Dołącz do milionów studentów
Mol to podstawowa jednostka liczności materii. Jeden mol zawiera dokładnie liczbę Avogadra cząstek, czyli aż 6,02·10²³ atomów, cząsteczek lub jonów. Dzięki temu możemy przeliczać mikroskopowe ilości na makroskopowe.
Masa atomowa (mierzona w jednostkach u) określa masę pojedynczego atomu, np. wodór ma masę 1u. Z kolei masa cząsteczkowa to suma mas atomowych wszystkich atomów w cząsteczce. Przykładowo, masa cząsteczkowa wody (H₂O) to 18u .
Masa molowa (M) określa masę jednego mola substancji i wyrażana jest w g/mol. Dla wody masa molowa wynosi 18 g/mol. Gazy mają też swoją objętość molową - w warunkach normalnych (0°C, 1 atm) 1 mol gazu zajmuje 22,4 dm³, a w warunkach standardowych (25°C, 1 atm) - 24,4 dm³.
💡 Pamiętaj: Stosunki atomowe, masowe i procentowe są kluczowe przy rozwiązywaniu zadań stechiometrycznych. Dla przykładu, w Al₂O₃ stosunek atomowy Al:O wynosi 2:3, stosunek masowy to 54u:48u (czyli 9:8), a zawartość procentowa glinu to 53%.
![Sta
mol- jednostka licznośu materic
Liczba Avagarda 6,02-1023
1 mol = 6,02.1023 atomów/cząsteczki / jonów
masa atomowa jednosta unit [u]](/_next/image?url=https%3A%2F%2Fcontent-eu-central-1.knowunity.com%2FCONTENT%2FneimcrkoQQpFNgzlWVFV_image_page_2.webp&w=2048&q=75)
Dostęp do wszystkich materiałów
Popraw swoje oceny
Dołącz do milionów studentów
W stechiometrii często przeliczamy między wzorem empirycznym (najprostszym) a rzeczywistym. Wzór empiryczny pokazuje najprostszy stosunek atomów, podczas gdy wzór rzeczywisty pokazuje faktyczną liczbę atomów w cząsteczce. Na przykład P₄O₁₀ ma wzór empiryczny P₂O₅, a N₂O₄ ma wzór empiryczny NO₂.
Przykładowe obliczenia stechiometryczne są proste, gdy znasz podstawowe zależności. Jeśli mamy 4 atomy potasu, to mamy 4 mole tego pierwiastka, czyli 4·6,02·10²³ atomów. W przypadku 2,5 mola wody, liczbę cząsteczek obliczamy jako 2,5·6,02·10²³ = 15,05·10²³.
Obliczanie masy molowej to sumowanie mas atomowych pierwiastków według wzoru. Dla NaOH masa molowa wynosi 23 + 1 + 16 = 40 g/mol. Możemy też przeliczać między masą a liczbą moli. Na przykład, 45 g wody to 2,5 mola, bo 45 ÷ = 2,5 mola.
🔬 Przy obliczaniu objętości gazów pamiętaj o warunkach! W warunkach normalnych 3 mole wodoru zajmują objętość 3 · 22,4 dm³ = 67,2 dm³.
Nasz asystent AI jest specjalnie dostosowany do potrzeb uczniów. W oparciu o miliony treści, które mamy na platformie, możemy udzielać uczniom naprawdę znaczących i trafnych odpowiedzi. Ale nie chodzi tylko o odpowiedzi, towarzysz prowadzi również uczniów przez codzienne wyzwania związane z nauką, ze spersonalizowanymi planami nauki, quizami lub treściami na czacie i 100% personalizacją opartą na umiejętnościach i rozwoju uczniów.
Aplikację możesz pobrać z Google Play i Apple Store.
Tak, masz całkowicie darmowy dostęp do wszystkich notatek w aplikacji, możesz w każdej chwili rozmawiać z Ekspertami lub ich obserwować. Możesz użyć punktów, aby odblokować pewne funkcje w aplikacji, które również możesz otrzymać za darmo. Dodatkowo oferujemy usługę Knowunity Premium, która pozwala na odblokowanie większej liczby funkcji.
13
Inteligentne Narzędzia NOWE
Przekształć te notatki w: ✓ 50+ Pytań Testowych ✓ Interaktywne Fiszki ✓ Pełny egzamin próbny ✓ Plany Eseju
Zrozumienie budowy atomu poprzez analizę nukleonów, liczby masowej (A) oraz liczby atomowej (Z). Dowiedz się, jak obliczać liczbę protonów i neutronów w atomach oraz ich znaczenie w strukturze materii. Typ: podsumowanie.
Zbiór kluczowych wzorów i równań dotyczących stechiometrii w chemii, obejmujący liczby moli, masy molowe, objętości gazów oraz zastosowanie stałej Avogadra. Idealne dla uczniów liceum przygotowujących się do egzaminów z chemii rozszerzonej.
Zrozumienie pojęcia mola i masy molowej jest kluczowe w chemii. Ten materiał edukacyjny zawiera szczegółowe przykłady obliczeń związanych z molami, masą molową oraz zastosowaniem stałej Avogadra. Idealny dla studentów chemii, którzy chcą poprawić swoje umiejętności w obliczeniach chemicznych.
Zrozumienie obliczeń stechiometrycznych w chemii: od liczby Avogadra po masy molowe i objętości gazów. Dowiedz się, jak stosować prawo zachowania masy oraz obliczać stosunki masowe i procentowe. Idealne dla uczniów przygotowujących się do sprawdzianów z chemii.
Zrozumienie obliczeń związanych z molami i liczbą Avogadra. Dowiedz się, jak obliczać masy atomowe, liczbę cząsteczek oraz przeliczenia między molami a gramami. Idealne dla uczniów chemii. Zawiera przykłady z obliczeniami masy magnezu, wodoru oraz cząsteczek helu.
Zrozumienie pojęcia mola i masy molowej. Dowiedz się, jak obliczać masę molową substancji chemicznych oraz zastosowanie liczby Avogadro. Materiał zawiera kluczowe informacje o jednostkach ilości, takich jak tuzin, mendel i kopa, oraz przykłady obliczeń. Typ: podsumowanie.
App Store
Google Play
Aplikacja jest bardzo prosta i dobrze przemyślana. Do tej pory znalazłem wszystko, czego szukałem i mogłem się wiele nauczyć z innych notatek! Na pewno wykorzystam aplikację do pomocy przy robieniu prac domowych! No i oczywiście bardzo pomaga też jako inspiracja do robienia swoich notatek.
Stefan S
użytkownik iOS
Ta aplikacja jest naprawdę świetna. Jest tak wiele notatek i pomocnych informacji [...]. Moim problematycznym przedmiotem jest język niemiecki, a w aplikacji jest w czym wybierać. Dzięki tej aplikacji poprawiłam swój niemiecki. Polecam ją każdemu.
Samantha Klich
użytkownik Androida
Wow, jestem w szoku. Właśnie wypróbowałam aplikację, ponieważ widziałam ją kilka razy reklamowaną na TikToku jestem absolutnie w szoku. Ta aplikacja jest POMOCĄ, której potrzebujesz w szkole i przede wszystkim oferuje tak wiele rzeczy jak notatki czy streszczenia, które są BARDZO pomocne w moim przypadku.
Anna
użytkownik iOS
Kocham tę aplikację! Pomaga mi w zadaniach domowych, motywuje mnie i polepsza mi dzień. Dzięki tej aplikacji moje oceny się poprawiły. Lepszej aplikacji nie znajdę!🩷
Patrycja
użytkowniczka iOS
Super aplikacja! Ma odpowiedzi na wszystkie zadania. Testuję ją od paru miesięcy i jest po prostu perfekcyjna.
Szymon
użytkownik Android
Super aplikacja do nauki i sprawdzania wiedzy. Można znaleźć notatki z WSZYSTKICH przedmiotów. Polecam tym, którzy celują w oceny 5 i 6 😄
Szymon
użytkownik iOS
Aplikacja jest po prostu świetna! Wystarczy, że wpiszę w pasku wyszukiwania swój temat i od razu mam wyniki. Nie muszę oglądać 10 filmów na YouTube, żeby coś zrozumieć, więc oszczędzam swój czas. Po prostu polecam!
Kuba T
użytkownik Androida
W szkole byłem bardzo kiepski z matematyki, ale dzięki tej aplikacji radzę sobie teraz lepiej. Jestem bardzo wdzięczny, że ją stworzyliście.
Kriss
użytkownik Androida
Korzystam z Knowunity od ponad roku i jest mega! Najlepsze opcje z tej apki: ⭐️ Gotowe notatki ⭐️ Spersonalizowane treści ⭐️ Dostęp do chatu GPT W WERSJI SZKOLNEJ ⭐️ Konwersacje z innymi uczniami 🤍 NAUKA WRESZCIE NIE JEST NUDNA 🤍
Gosia
użytkowniczka Android
Bardzo lubię aplikację Knowunity, ponieważ pomaga mi w nauce. Odkąd ją mam moje oceny się poprawiają :)
Sara
użytkowniczka iOS
QUIZY I FISZKI SĄ SUPER PRZYDATNE I UWIELBIAM Knowunity AI. TO JEST DOSŁOWNIE JAK CHATGPT ALE MĄDRZEJSZY!! POMÓGŁ MI NAWET Z PROBLEMAMI Z TUSZEM DO RZĘS!! A TAKŻE Z PRAWDZIWYMI PRZEDMIOTAMI! OCZYWIŚCIE 😍😁😲🤑💗✨🎀😮
Krzysztof
użytkownik Android
Bardzo fajna aplikacja. Pomaga przygotować się do sprawdzianu, kartkówki lub odpowiedzi ustnej.
Oliwia
użytkowniczka iOS
Aplikacja jest bardzo prosta i dobrze przemyślana. Do tej pory znalazłem wszystko, czego szukałem i mogłem się wiele nauczyć z innych notatek! Na pewno wykorzystam aplikację do pomocy przy robieniu prac domowych! No i oczywiście bardzo pomaga też jako inspiracja do robienia swoich notatek.
Stefan S
użytkownik iOS
Ta aplikacja jest naprawdę świetna. Jest tak wiele notatek i pomocnych informacji [...]. Moim problematycznym przedmiotem jest język niemiecki, a w aplikacji jest w czym wybierać. Dzięki tej aplikacji poprawiłam swój niemiecki. Polecam ją każdemu.
Samantha Klich
użytkownik Androida
Wow, jestem w szoku. Właśnie wypróbowałam aplikację, ponieważ widziałam ją kilka razy reklamowaną na TikToku jestem absolutnie w szoku. Ta aplikacja jest POMOCĄ, której potrzebujesz w szkole i przede wszystkim oferuje tak wiele rzeczy jak notatki czy streszczenia, które są BARDZO pomocne w moim przypadku.
Anna
użytkownik iOS
Kocham tę aplikację! Pomaga mi w zadaniach domowych, motywuje mnie i polepsza mi dzień. Dzięki tej aplikacji moje oceny się poprawiły. Lepszej aplikacji nie znajdę!🩷
Patrycja
użytkowniczka iOS
Super aplikacja! Ma odpowiedzi na wszystkie zadania. Testuję ją od paru miesięcy i jest po prostu perfekcyjna.
Szymon
użytkownik Android
Super aplikacja do nauki i sprawdzania wiedzy. Można znaleźć notatki z WSZYSTKICH przedmiotów. Polecam tym, którzy celują w oceny 5 i 6 😄
Szymon
użytkownik iOS
Aplikacja jest po prostu świetna! Wystarczy, że wpiszę w pasku wyszukiwania swój temat i od razu mam wyniki. Nie muszę oglądać 10 filmów na YouTube, żeby coś zrozumieć, więc oszczędzam swój czas. Po prostu polecam!
Kuba T
użytkownik Androida
W szkole byłem bardzo kiepski z matematyki, ale dzięki tej aplikacji radzę sobie teraz lepiej. Jestem bardzo wdzięczny, że ją stworzyliście.
Kriss
użytkownik Androida
Korzystam z Knowunity od ponad roku i jest mega! Najlepsze opcje z tej apki: ⭐️ Gotowe notatki ⭐️ Spersonalizowane treści ⭐️ Dostęp do chatu GPT W WERSJI SZKOLNEJ ⭐️ Konwersacje z innymi uczniami 🤍 NAUKA WRESZCIE NIE JEST NUDNA 🤍
Gosia
użytkowniczka Android
Bardzo lubię aplikację Knowunity, ponieważ pomaga mi w nauce. Odkąd ją mam moje oceny się poprawiają :)
Sara
użytkowniczka iOS
QUIZY I FISZKI SĄ SUPER PRZYDATNE I UWIELBIAM Knowunity AI. TO JEST DOSŁOWNIE JAK CHATGPT ALE MĄDRZEJSZY!! POMÓGŁ MI NAWET Z PROBLEMAMI Z TUSZEM DO RZĘS!! A TAKŻE Z PRAWDZIWYMI PRZEDMIOTAMI! OCZYWIŚCIE 😍😁😲🤑💗✨🎀😮
Krzysztof
użytkownik Android
Bardzo fajna aplikacja. Pomaga przygotować się do sprawdzianu, kartkówki lub odpowiedzi ustnej.
Oliwia
użytkowniczka iOS