Jak powstaje i z czego składa się atom? Odkryjemy tajemnice... Pokaż więcej
Zarejestruj się, aby zobaczyć notatkęTo nic nie kosztuje!
Dostęp do wszystkich materiałów
Popraw swoje oceny
Dołącz do milionów studentów
Knowunity AI
Przedmioty
Triangle Congruence and Similarity Theorems
Triangle Properties and Classification
Linear Equations and Graphs
Geometric Angle Relationships
Trigonometric Functions and Identities
Equation Solving Techniques
Circle Geometry Fundamentals
Division Operations and Methods
Basic Differentiation Rules
Exponent and Logarithm Properties
Pokaż wszystkie tematy
Human Organ Systems
Reproductive Cell Cycles
Biological Sciences Subdisciplines
Cellular Energy Metabolism
Autotrophic Energy Processes
Inheritance Patterns and Principles
Biomolecular Structure and Organization
Cell Cycle and Division Mechanics
Cellular Organization and Development
Biological Structural Organization
Pokaż wszystkie tematy
Chemical Sciences and Applications
Atomic Structure and Composition
Molecular Electron Structure Representation
Atomic Electron Behavior
Matter Properties and Water
Mole Concept and Calculations
Gas Laws and Behavior
Periodic Table Organization
Chemical Thermodynamics Fundamentals
Chemical Bond Types and Properties
Pokaż wszystkie tematy
European Renaissance and Enlightenment
European Cultural Movements 800-1920
American Revolution Era 1763-1797
American Civil War 1861-1865
Global Imperial Systems
Mongol and Chinese Dynasties
U.S. Presidents and World Leaders
Historical Sources and Documentation
World Wars Era and Impact
World Religious Systems
Pokaż wszystkie tematy
Classic and Contemporary Novels
Literary Character Analysis
Rhetorical Theory and Practice
Classic Literary Narratives
Reading Analysis and Interpretation
Narrative Structure and Techniques
English Language Components
Influential English-Language Authors
Basic Sentence Structure
Narrative Voice and Perspective
Pokaż wszystkie tematy
1,191
•
Zaktualizowano Apr 26, 2026
•
Julia
@julkqe
Jak powstaje i z czego składa się atom? Odkryjemy tajemnice... Pokaż więcej









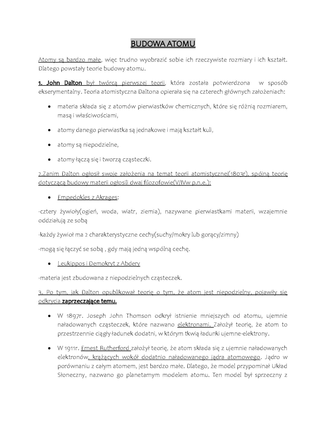
Atomy są niesamowicie małe, dlatego trudno wyobrazić sobie ich rzeczywiste rozmiary. Z tego powodu naukowcy tworzyli teorie opisujące ich budowę.
John Dalton w 1803 roku opublikował pierwszą eksperymentalnie potwierdzoną teorię, według której materia składa się z niepodzielnych atomów o kształcie kuli, które mogą łączyć się w cząsteczki. Każdy pierwiastek miał charakterystyczne atomy różniące się od innych.
Ciekawostka: Już w V/IV wieku p.n.e. starożytni filozofowie - Empedokles, Leukippos i Demokryt - snuli teorie o budowie materii, twierdząc, że składa się ona z niepodzielnych cząsteczek!
Przełom nastąpił w 1897 roku, gdy Joseph Thomson odkrył elektron - cząstkę mniejszą od atomu o ładunku ujemnym. Zaproponował model, w którym elektrony tkwiły w dodatnio naładowanej "galaretce". W 1911 roku Ernest Rutherford przedstawił model planetarny atomu, gdzie elektrony krążą wokół dodatnio naładowanego jądra. Model ten miał jednak problem - według fizyki klasycznej elektrony powinny tracić energię i wpaść do jądra.

Niels Bohr w 1913 roku rozwiązał problem modelu planetarnego, tworząc nową koncepcję. Według niego elektrony krążą wokół jądra na określonych orbitach, a ich energia przyjmuje tylko ściśle określone wartości.
Gdy atom pochłania energię z zewnątrz (absorpcja), elektron przeskakuje na orbitę bardziej oddaloną od jądra. Gdy oddaje energię (emisja), przeskakuje na orbitę bliższą jądru. Energia może być absorbowana lub emitowana tylko w określonych porcjach zwanych kwantami.
Model Bohra sprawdził się tylko dla wodoru, ale stanowił ważny etap w zrozumieniu atomu. Dzisiaj wiemy, że atom składa się z jądra atomowego o ładunku dodatnim i sfery elektronowej o ładunku ujemnym.
Pamiętaj: Jądro atomowe tworzą protony (cząstki o ładunku dodatnim) i neutrony (cząstki obojętne elektrycznie).
Mechanika kwantowa pozwoliła poprawnie opisać budowę atomów i cząsteczek. Według niej cząstki takie jak elektrony mają podwójną naturę - zachowują się jednocześnie jak materialne obiekty i jak fale elektromagnetyczne. To zjawisko nazwano dualizmem korpuskularno-falowym.

W 1964 roku odkryto, że protony i neutrony nie są niepodzielne - zbudowane są z kwarków, najprostszych składników materii o ułamkowym ładunku elektrycznym. Protony zawierają dwa kwarki górne (u) o ładunku +2/3 i jeden kwark dolny (d) o ładunku -1/3, dając łącznie ładunek +1. Neutrony składają się z jednego kwarku górnego i dwóch dolnych, dając ładunek 0.
Atom w stanie neutralnym zawiera tyle elektronów, ile protonów. Kiedy liczba elektronów i protonów nie jest równa, powstają jony:
W atomie występują dwie ważne liczby:
Ważne: Atomy tego samego pierwiastka zawsze mają taką samą liczbę protonów (Z), ale mogą mieć różną liczbę neutronów, a więc różną liczbę masową (A).

Symbole pierwiastków zapisujemy w formie: , gdzie:
Masę atomową wyraża się w jednostkach masy atomowej - unitach (u). Jeden unit odpowiada 1/12 masy izotopu węgla i zastępuje gramy i kilogramy przy opisywaniu tak małych cząstek. Masę cząsteczki oblicza się sumując masy atomowe pierwiastków wchodzących w jej skład.
Charakterystyka podstawowych cząstek atomowych:
Ciekawostka: 1 unit (u) to zaledwie 1,66×10^-24 grama! Mimo to prawie cała masa atomu skupiona jest w jego jądrze.
Ładunek elementarny (protonu lub elektronu) wynosi 1,602×10^-19 kulombów (C). Jest to najmniejsza porcja ładunku elektrycznego, jaka może występować samodzielnie w przyrodzie.

Izotopy to atomy tego samego pierwiastka, które mają taką samą liczbę protonów, ale różną liczbę neutronów. Dlatego mają różne liczby masowe, choć są tym samym pierwiastkiem. Niektóre pierwiastki mają wiele izotopów - rekordowa cyna ma aż 38 różnych izotopów!
Nazwy izotopów tworzymy dodając do nazwy pierwiastka liczbę masową, np. azot-14 $^{14}N$ i azot-15 $^{15}N$. Tylko izotopy wodoru mają specjalne nazwy ze względu na różne właściwości:
Atomy izotopów nazywamy nuklidami i zapisujemy je z liczbą atomową i masową.
Wskazówka: Masa atomowa pierwiastka podawana w układzie okresowym to średnia ważona mas jego izotopów, uwzględniająca ich naturalne występowanie.
Średnią masę atomową obliczamy ze wzoru: gdzie A to masy poszczególnych izotopów, a %m to ich zawartość procentowa.

Promieniotwórczość to zjawisko samorzutnego rozpadu nietrwałych jąder atomowych, któremu towarzyszy emisja promieniowania. Izotopy, których jądra ulegają takiemu rozpadowi, nazywamy izotopami promieniotwórczymi.
Termin "promieniotwórczość" wprowadziła Maria Skłodowska-Curie dwa lata po tym, jak Antoine Henri Becquerel odkrył tajemnicze promieniowanie emitowane przez związki uranu. Maria i Pierre Curie wykazali, że to atomy uranu są źródłem promieniowania, niezależnie od tego, czy występują w stanie wolnym czy w związkach chemicznych.
Czy wiesz że: Maria Skłodowska-Curie wyodrębniła z minerałów uranowych dwa nowe pierwiastki - rad i polon (nazwany na cześć Polski). Za te odkrycia została uhonorowana Nagrodą Nobla!
Jednostką radioaktywności jest bekerel (Bq), który odpowiada jednemu rozpadowi na sekundę. Rozróżniamy:
Szczególnie nietrwałe są pierwiastki o liczbie protonów większej niż 82. Rozpad jąder pierwiastków promieniotwórczych zależy od rodzaju emitowanego promieniowania i podlega regule przesunięć Soddy'ego-Fajansa.

Istnieją różne rodzaje przemian promieniotwórczych, które zmieniają jądro atomowe w charakterystyczny sposób:
Przemiana alfa (α) - jądro emituje cząstkę alfa (jądro helu). Liczba masowa (A) zmniejsza się o 4, a liczba atomowa (Z) o 2. Zapisujemy: . Tej przemianie ulegają głównie ciężkie pierwiastki (rad, uran, polon).
Przemiana beta minus (β-) - neutron zamienia się w proton i emitowany jest elektron. Liczba atomowa (Z) zwiększa się o 1, liczba masowa (A) nie zmienia się. Zapisujemy: , gdzie v̄ₑ to antyneutrino elektronowe.
Przemiana beta plus (β+) - proton zamienia się w neutron i emitowany jest pozyton. Liczba atomowa (Z) zmniejsza się o 1, liczba masowa (A) nie zmienia się. Zapisujemy: , gdzie v to neutrino elektronowe.
Ważne: Podczas przemiany β emisji elektronu lub pozytonu towarzyszy również emisja neutrino lub antyneutrino, cząstek niemal niewykrywalnych, które pomijamy w uproszczonych zapisach.

Szeregi promieniotwórcze to łańcuchy przemian jąder atomów, które zachodzą w określonej kolejności, aż do powstania stabilnego izotopu. W przyrodzie występują trzy naturalne szeregi:
Ważnym parametrem opisującym izotopy promieniotwórcze jest okres półtrwania . Jest to czas, po którym połowa początkowej liczby jąder izotopu promieniotwórczego ulegnie rozpadowi. Po upływie tego czasu aktywność izotopu zmniejsza się o połowę.
Wskazówka: Okresy półtrwania różnych izotopów mogą być bardzo różne - od ułamków sekund do miliardów lat!
Masę pozostałego izotopu po pewnym czasie możemy obliczyć ze wzoru: , gdzie:
Im krótszy okres półtrwania, tym izotop jest bardziej radioaktywny, ale też szybciej zanika. Izotopy o długim okresie półtrwania są mniej aktywne, ale utrzymują radioaktywność przez dłuższy czas.
Nasz asystent AI jest specjalnie dostosowany do potrzeb uczniów. W oparciu o miliony treści, które mamy na platformie, możemy udzielać uczniom naprawdę znaczących i trafnych odpowiedzi. Ale nie chodzi tylko o odpowiedzi, towarzysz prowadzi również uczniów przez codzienne wyzwania związane z nauką, ze spersonalizowanymi planami nauki, quizami lub treściami na czacie i 100% personalizacją opartą na umiejętnościach i rozwoju uczniów.
Aplikację możesz pobrać z Google Play i Apple Store.
Tak, masz całkowicie darmowy dostęp do wszystkich notatek w aplikacji, możesz w każdej chwili rozmawiać z Ekspertami lub ich obserwować. Możesz użyć punktów, aby odblokować pewne funkcje w aplikacji, które również możesz otrzymać za darmo. Dodatkowo oferujemy usługę Knowunity Premium, która pozwala na odblokowanie większej liczby funkcji.
App Store
Google Play
Aplikacja jest bardzo prosta i dobrze przemyślana. Do tej pory znalazłem wszystko, czego szukałem i mogłem się wiele nauczyć z innych notatek! Na pewno wykorzystam aplikację do pomocy przy robieniu prac domowych! No i oczywiście bardzo pomaga też jako inspiracja do robienia swoich notatek.
Stefan S
użytkownik iOS
Ta aplikacja jest naprawdę świetna. Jest tak wiele notatek i pomocnych informacji [...]. Moim problematycznym przedmiotem jest język niemiecki, a w aplikacji jest w czym wybierać. Dzięki tej aplikacji poprawiłam swój niemiecki. Polecam ją każdemu.
Samantha Klich
użytkownik Androida
Wow, jestem w szoku. Właśnie wypróbowałam aplikację, ponieważ widziałam ją kilka razy reklamowaną na TikToku jestem absolutnie w szoku. Ta aplikacja jest POMOCĄ, której potrzebujesz w szkole i przede wszystkim oferuje tak wiele rzeczy jak notatki czy streszczenia, które są BARDZO pomocne w moim przypadku.
Anna
użytkownik iOS
Kocham tę aplikację! Pomaga mi w zadaniach domowych, motywuje mnie i polepsza mi dzień. Dzięki tej aplikacji moje oceny się poprawiły. Lepszej aplikacji nie znajdę!🩷
Patrycja
użytkowniczka iOS
Super aplikacja! Ma odpowiedzi na wszystkie zadania. Testuję ją od paru miesięcy i jest po prostu perfekcyjna.
Szymon
użytkownik Android
Super aplikacja do nauki i sprawdzania wiedzy. Można znaleźć notatki z WSZYSTKICH przedmiotów. Polecam tym, którzy celują w oceny 5 i 6 😄
Szymon
użytkownik iOS
Aplikacja jest po prostu świetna! Wystarczy, że wpiszę w pasku wyszukiwania swój temat i od razu mam wyniki. Nie muszę oglądać 10 filmów na YouTube, żeby coś zrozumieć, więc oszczędzam swój czas. Po prostu polecam!
Kuba T
użytkownik Androida
W szkole byłem bardzo kiepski z matematyki, ale dzięki tej aplikacji radzę sobie teraz lepiej. Jestem bardzo wdzięczny, że ją stworzyliście.
Kriss
użytkownik Androida
Korzystam z Knowunity od ponad roku i jest mega! Najlepsze opcje z tej apki: ⭐️ Gotowe notatki ⭐️ Spersonalizowane treści ⭐️ Dostęp do chatu GPT W WERSJI SZKOLNEJ ⭐️ Konwersacje z innymi uczniami 🤍 NAUKA WRESZCIE NIE JEST NUDNA 🤍
Gosia
użytkowniczka Android
Bardzo lubię aplikację Knowunity, ponieważ pomaga mi w nauce. Odkąd ją mam moje oceny się poprawiają :)
Sara
użytkowniczka iOS
QUIZY I FISZKI SĄ SUPER PRZYDATNE I UWIELBIAM Knowunity AI. TO JEST DOSŁOWNIE JAK CHATGPT ALE MĄDRZEJSZY!! POMÓGŁ MI NAWET Z PROBLEMAMI Z TUSZEM DO RZĘS!! A TAKŻE Z PRAWDZIWYMI PRZEDMIOTAMI! OCZYWIŚCIE 😍😁😲🤑💗✨🎀😮
Krzysztof
użytkownik Android
Bardzo fajna aplikacja. Pomaga przygotować się do sprawdzianu, kartkówki lub odpowiedzi ustnej.
Oliwia
użytkowniczka iOS
Aplikacja jest bardzo prosta i dobrze przemyślana. Do tej pory znalazłem wszystko, czego szukałem i mogłem się wiele nauczyć z innych notatek! Na pewno wykorzystam aplikację do pomocy przy robieniu prac domowych! No i oczywiście bardzo pomaga też jako inspiracja do robienia swoich notatek.
Stefan S
użytkownik iOS
Ta aplikacja jest naprawdę świetna. Jest tak wiele notatek i pomocnych informacji [...]. Moim problematycznym przedmiotem jest język niemiecki, a w aplikacji jest w czym wybierać. Dzięki tej aplikacji poprawiłam swój niemiecki. Polecam ją każdemu.
Samantha Klich
użytkownik Androida
Wow, jestem w szoku. Właśnie wypróbowałam aplikację, ponieważ widziałam ją kilka razy reklamowaną na TikToku jestem absolutnie w szoku. Ta aplikacja jest POMOCĄ, której potrzebujesz w szkole i przede wszystkim oferuje tak wiele rzeczy jak notatki czy streszczenia, które są BARDZO pomocne w moim przypadku.
Anna
użytkownik iOS
Kocham tę aplikację! Pomaga mi w zadaniach domowych, motywuje mnie i polepsza mi dzień. Dzięki tej aplikacji moje oceny się poprawiły. Lepszej aplikacji nie znajdę!🩷
Patrycja
użytkowniczka iOS
Super aplikacja! Ma odpowiedzi na wszystkie zadania. Testuję ją od paru miesięcy i jest po prostu perfekcyjna.
Szymon
użytkownik Android
Super aplikacja do nauki i sprawdzania wiedzy. Można znaleźć notatki z WSZYSTKICH przedmiotów. Polecam tym, którzy celują w oceny 5 i 6 😄
Szymon
użytkownik iOS
Aplikacja jest po prostu świetna! Wystarczy, że wpiszę w pasku wyszukiwania swój temat i od razu mam wyniki. Nie muszę oglądać 10 filmów na YouTube, żeby coś zrozumieć, więc oszczędzam swój czas. Po prostu polecam!
Kuba T
użytkownik Androida
W szkole byłem bardzo kiepski z matematyki, ale dzięki tej aplikacji radzę sobie teraz lepiej. Jestem bardzo wdzięczny, że ją stworzyliście.
Kriss
użytkownik Androida
Korzystam z Knowunity od ponad roku i jest mega! Najlepsze opcje z tej apki: ⭐️ Gotowe notatki ⭐️ Spersonalizowane treści ⭐️ Dostęp do chatu GPT W WERSJI SZKOLNEJ ⭐️ Konwersacje z innymi uczniami 🤍 NAUKA WRESZCIE NIE JEST NUDNA 🤍
Gosia
użytkowniczka Android
Bardzo lubię aplikację Knowunity, ponieważ pomaga mi w nauce. Odkąd ją mam moje oceny się poprawiają :)
Sara
użytkowniczka iOS
QUIZY I FISZKI SĄ SUPER PRZYDATNE I UWIELBIAM Knowunity AI. TO JEST DOSŁOWNIE JAK CHATGPT ALE MĄDRZEJSZY!! POMÓGŁ MI NAWET Z PROBLEMAMI Z TUSZEM DO RZĘS!! A TAKŻE Z PRAWDZIWYMI PRZEDMIOTAMI! OCZYWIŚCIE 😍😁😲🤑💗✨🎀😮
Krzysztof
użytkownik Android
Bardzo fajna aplikacja. Pomaga przygotować się do sprawdzianu, kartkówki lub odpowiedzi ustnej.
Oliwia
użytkowniczka iOS
Julia
@julkqe
Jak powstaje i z czego składa się atom? Odkryjemy tajemnice budowy materii, poznamy różne modele atomu zaproponowane przez naukowców oraz zrozumiemy, czym są izotopy i zjawisko promieniotwórczości. Te fascynujące zagadnienia to podstawa chemii, która wyjaśnia, jak działa świat wokół nas.

Dostęp do wszystkich materiałów
Popraw swoje oceny
Dołącz do milionów studentów
Atomy są niesamowicie małe, dlatego trudno wyobrazić sobie ich rzeczywiste rozmiary. Z tego powodu naukowcy tworzyli teorie opisujące ich budowę.
John Dalton w 1803 roku opublikował pierwszą eksperymentalnie potwierdzoną teorię, według której materia składa się z niepodzielnych atomów o kształcie kuli, które mogą łączyć się w cząsteczki. Każdy pierwiastek miał charakterystyczne atomy różniące się od innych.
Ciekawostka: Już w V/IV wieku p.n.e. starożytni filozofowie - Empedokles, Leukippos i Demokryt - snuli teorie o budowie materii, twierdząc, że składa się ona z niepodzielnych cząsteczek!
Przełom nastąpił w 1897 roku, gdy Joseph Thomson odkrył elektron - cząstkę mniejszą od atomu o ładunku ujemnym. Zaproponował model, w którym elektrony tkwiły w dodatnio naładowanej "galaretce". W 1911 roku Ernest Rutherford przedstawił model planetarny atomu, gdzie elektrony krążą wokół dodatnio naładowanego jądra. Model ten miał jednak problem - według fizyki klasycznej elektrony powinny tracić energię i wpaść do jądra.

Dostęp do wszystkich materiałów
Popraw swoje oceny
Dołącz do milionów studentów
Niels Bohr w 1913 roku rozwiązał problem modelu planetarnego, tworząc nową koncepcję. Według niego elektrony krążą wokół jądra na określonych orbitach, a ich energia przyjmuje tylko ściśle określone wartości.
Gdy atom pochłania energię z zewnątrz (absorpcja), elektron przeskakuje na orbitę bardziej oddaloną od jądra. Gdy oddaje energię (emisja), przeskakuje na orbitę bliższą jądru. Energia może być absorbowana lub emitowana tylko w określonych porcjach zwanych kwantami.
Model Bohra sprawdził się tylko dla wodoru, ale stanowił ważny etap w zrozumieniu atomu. Dzisiaj wiemy, że atom składa się z jądra atomowego o ładunku dodatnim i sfery elektronowej o ładunku ujemnym.
Pamiętaj: Jądro atomowe tworzą protony (cząstki o ładunku dodatnim) i neutrony (cząstki obojętne elektrycznie).
Mechanika kwantowa pozwoliła poprawnie opisać budowę atomów i cząsteczek. Według niej cząstki takie jak elektrony mają podwójną naturę - zachowują się jednocześnie jak materialne obiekty i jak fale elektromagnetyczne. To zjawisko nazwano dualizmem korpuskularno-falowym.

Dostęp do wszystkich materiałów
Popraw swoje oceny
Dołącz do milionów studentów
W 1964 roku odkryto, że protony i neutrony nie są niepodzielne - zbudowane są z kwarków, najprostszych składników materii o ułamkowym ładunku elektrycznym. Protony zawierają dwa kwarki górne (u) o ładunku +2/3 i jeden kwark dolny (d) o ładunku -1/3, dając łącznie ładunek +1. Neutrony składają się z jednego kwarku górnego i dwóch dolnych, dając ładunek 0.
Atom w stanie neutralnym zawiera tyle elektronów, ile protonów. Kiedy liczba elektronów i protonów nie jest równa, powstają jony:
W atomie występują dwie ważne liczby:
Ważne: Atomy tego samego pierwiastka zawsze mają taką samą liczbę protonów (Z), ale mogą mieć różną liczbę neutronów, a więc różną liczbę masową (A).

Dostęp do wszystkich materiałów
Popraw swoje oceny
Dołącz do milionów studentów
Symbole pierwiastków zapisujemy w formie: , gdzie:
Masę atomową wyraża się w jednostkach masy atomowej - unitach (u). Jeden unit odpowiada 1/12 masy izotopu węgla i zastępuje gramy i kilogramy przy opisywaniu tak małych cząstek. Masę cząsteczki oblicza się sumując masy atomowe pierwiastków wchodzących w jej skład.
Charakterystyka podstawowych cząstek atomowych:
Ciekawostka: 1 unit (u) to zaledwie 1,66×10^-24 grama! Mimo to prawie cała masa atomu skupiona jest w jego jądrze.
Ładunek elementarny (protonu lub elektronu) wynosi 1,602×10^-19 kulombów (C). Jest to najmniejsza porcja ładunku elektrycznego, jaka może występować samodzielnie w przyrodzie.

Dostęp do wszystkich materiałów
Popraw swoje oceny
Dołącz do milionów studentów
Izotopy to atomy tego samego pierwiastka, które mają taką samą liczbę protonów, ale różną liczbę neutronów. Dlatego mają różne liczby masowe, choć są tym samym pierwiastkiem. Niektóre pierwiastki mają wiele izotopów - rekordowa cyna ma aż 38 różnych izotopów!
Nazwy izotopów tworzymy dodając do nazwy pierwiastka liczbę masową, np. azot-14 $^{14}N$ i azot-15 $^{15}N$. Tylko izotopy wodoru mają specjalne nazwy ze względu na różne właściwości:
Atomy izotopów nazywamy nuklidami i zapisujemy je z liczbą atomową i masową.
Wskazówka: Masa atomowa pierwiastka podawana w układzie okresowym to średnia ważona mas jego izotopów, uwzględniająca ich naturalne występowanie.
Średnią masę atomową obliczamy ze wzoru: gdzie A to masy poszczególnych izotopów, a %m to ich zawartość procentowa.

Dostęp do wszystkich materiałów
Popraw swoje oceny
Dołącz do milionów studentów
Promieniotwórczość to zjawisko samorzutnego rozpadu nietrwałych jąder atomowych, któremu towarzyszy emisja promieniowania. Izotopy, których jądra ulegają takiemu rozpadowi, nazywamy izotopami promieniotwórczymi.
Termin "promieniotwórczość" wprowadziła Maria Skłodowska-Curie dwa lata po tym, jak Antoine Henri Becquerel odkrył tajemnicze promieniowanie emitowane przez związki uranu. Maria i Pierre Curie wykazali, że to atomy uranu są źródłem promieniowania, niezależnie od tego, czy występują w stanie wolnym czy w związkach chemicznych.
Czy wiesz że: Maria Skłodowska-Curie wyodrębniła z minerałów uranowych dwa nowe pierwiastki - rad i polon (nazwany na cześć Polski). Za te odkrycia została uhonorowana Nagrodą Nobla!
Jednostką radioaktywności jest bekerel (Bq), który odpowiada jednemu rozpadowi na sekundę. Rozróżniamy:
Szczególnie nietrwałe są pierwiastki o liczbie protonów większej niż 82. Rozpad jąder pierwiastków promieniotwórczych zależy od rodzaju emitowanego promieniowania i podlega regule przesunięć Soddy'ego-Fajansa.

Dostęp do wszystkich materiałów
Popraw swoje oceny
Dołącz do milionów studentów
Istnieją różne rodzaje przemian promieniotwórczych, które zmieniają jądro atomowe w charakterystyczny sposób:
Przemiana alfa (α) - jądro emituje cząstkę alfa (jądro helu). Liczba masowa (A) zmniejsza się o 4, a liczba atomowa (Z) o 2. Zapisujemy: . Tej przemianie ulegają głównie ciężkie pierwiastki (rad, uran, polon).
Przemiana beta minus (β-) - neutron zamienia się w proton i emitowany jest elektron. Liczba atomowa (Z) zwiększa się o 1, liczba masowa (A) nie zmienia się. Zapisujemy: , gdzie v̄ₑ to antyneutrino elektronowe.
Przemiana beta plus (β+) - proton zamienia się w neutron i emitowany jest pozyton. Liczba atomowa (Z) zmniejsza się o 1, liczba masowa (A) nie zmienia się. Zapisujemy: , gdzie v to neutrino elektronowe.
Ważne: Podczas przemiany β emisji elektronu lub pozytonu towarzyszy również emisja neutrino lub antyneutrino, cząstek niemal niewykrywalnych, które pomijamy w uproszczonych zapisach.

Dostęp do wszystkich materiałów
Popraw swoje oceny
Dołącz do milionów studentów
Szeregi promieniotwórcze to łańcuchy przemian jąder atomów, które zachodzą w określonej kolejności, aż do powstania stabilnego izotopu. W przyrodzie występują trzy naturalne szeregi:
Ważnym parametrem opisującym izotopy promieniotwórcze jest okres półtrwania . Jest to czas, po którym połowa początkowej liczby jąder izotopu promieniotwórczego ulegnie rozpadowi. Po upływie tego czasu aktywność izotopu zmniejsza się o połowę.
Wskazówka: Okresy półtrwania różnych izotopów mogą być bardzo różne - od ułamków sekund do miliardów lat!
Masę pozostałego izotopu po pewnym czasie możemy obliczyć ze wzoru: , gdzie:
Im krótszy okres półtrwania, tym izotop jest bardziej radioaktywny, ale też szybciej zanika. Izotopy o długim okresie półtrwania są mniej aktywne, ale utrzymują radioaktywność przez dłuższy czas.
Nasz asystent AI jest specjalnie dostosowany do potrzeb uczniów. W oparciu o miliony treści, które mamy na platformie, możemy udzielać uczniom naprawdę znaczących i trafnych odpowiedzi. Ale nie chodzi tylko o odpowiedzi, towarzysz prowadzi również uczniów przez codzienne wyzwania związane z nauką, ze spersonalizowanymi planami nauki, quizami lub treściami na czacie i 100% personalizacją opartą na umiejętnościach i rozwoju uczniów.
Aplikację możesz pobrać z Google Play i Apple Store.
Tak, masz całkowicie darmowy dostęp do wszystkich notatek w aplikacji, możesz w każdej chwili rozmawiać z Ekspertami lub ich obserwować. Możesz użyć punktów, aby odblokować pewne funkcje w aplikacji, które również możesz otrzymać za darmo. Dodatkowo oferujemy usługę Knowunity Premium, która pozwala na odblokowanie większej liczby funkcji.
14
Inteligentne Narzędzia NOWE
Przekształć te notatki w: ✓ 50+ Pytań Testowych ✓ Interaktywne Fiszki ✓ Pełny egzamin próbny ✓ Plany Eseju
Zrozumienie kationów i anionów oraz obliczanie cząstek elementarnych. Dowiedz się, jak określić liczby protonów, neutronów i elektronów w atomach. Idealne dla uczniów klasy 1 LO/technikum. Kluczowe definicje i przykłady obliczeń.
Zrozumienie struktury atomu, izotopów i promieniotwórczości. Dowiedz się o nukleonach, masie atomowej, rodzajach promieniowania (alfa, beta, gamma) oraz czasie połowicznego rozpadu. Idealne dla studentów chemii i fizyki. Typ: podsumowanie.
Zrozumienie budowy atomu, liczby powłok elektronowych oraz elektronów walencyjnych. Przykłady ilustrujące, jak liczba okresu i grupy wpływa na właściwości chemiczne pierwiastków. Idealne dla uczniów chemii na poziomie podstawowym.
Budowa atomu, schemat zapisywania pierwiastków, konfiguracja powłokowo, klasa 1 liceum zakres rozszerzony
Chemia klasa 1 LO. Dział pierwszy. Poziom podstawowy
Odkryj właściwości głównych składników powietrza, takich jak azot, tlen, wodór, dwutlenek węgla oraz gazy szlachetne. Ta notatka zawiera szczegółowe informacje na temat ich fizycznych i chemicznych właściwości, reakcji z metalami i niemetalami oraz ich roli w atmosferze. Idealna do nauki i przygotowań do egzaminów.
App Store
Google Play
Aplikacja jest bardzo prosta i dobrze przemyślana. Do tej pory znalazłem wszystko, czego szukałem i mogłem się wiele nauczyć z innych notatek! Na pewno wykorzystam aplikację do pomocy przy robieniu prac domowych! No i oczywiście bardzo pomaga też jako inspiracja do robienia swoich notatek.
Stefan S
użytkownik iOS
Ta aplikacja jest naprawdę świetna. Jest tak wiele notatek i pomocnych informacji [...]. Moim problematycznym przedmiotem jest język niemiecki, a w aplikacji jest w czym wybierać. Dzięki tej aplikacji poprawiłam swój niemiecki. Polecam ją każdemu.
Samantha Klich
użytkownik Androida
Wow, jestem w szoku. Właśnie wypróbowałam aplikację, ponieważ widziałam ją kilka razy reklamowaną na TikToku jestem absolutnie w szoku. Ta aplikacja jest POMOCĄ, której potrzebujesz w szkole i przede wszystkim oferuje tak wiele rzeczy jak notatki czy streszczenia, które są BARDZO pomocne w moim przypadku.
Anna
użytkownik iOS
Kocham tę aplikację! Pomaga mi w zadaniach domowych, motywuje mnie i polepsza mi dzień. Dzięki tej aplikacji moje oceny się poprawiły. Lepszej aplikacji nie znajdę!🩷
Patrycja
użytkowniczka iOS
Super aplikacja! Ma odpowiedzi na wszystkie zadania. Testuję ją od paru miesięcy i jest po prostu perfekcyjna.
Szymon
użytkownik Android
Super aplikacja do nauki i sprawdzania wiedzy. Można znaleźć notatki z WSZYSTKICH przedmiotów. Polecam tym, którzy celują w oceny 5 i 6 😄
Szymon
użytkownik iOS
Aplikacja jest po prostu świetna! Wystarczy, że wpiszę w pasku wyszukiwania swój temat i od razu mam wyniki. Nie muszę oglądać 10 filmów na YouTube, żeby coś zrozumieć, więc oszczędzam swój czas. Po prostu polecam!
Kuba T
użytkownik Androida
W szkole byłem bardzo kiepski z matematyki, ale dzięki tej aplikacji radzę sobie teraz lepiej. Jestem bardzo wdzięczny, że ją stworzyliście.
Kriss
użytkownik Androida
Korzystam z Knowunity od ponad roku i jest mega! Najlepsze opcje z tej apki: ⭐️ Gotowe notatki ⭐️ Spersonalizowane treści ⭐️ Dostęp do chatu GPT W WERSJI SZKOLNEJ ⭐️ Konwersacje z innymi uczniami 🤍 NAUKA WRESZCIE NIE JEST NUDNA 🤍
Gosia
użytkowniczka Android
Bardzo lubię aplikację Knowunity, ponieważ pomaga mi w nauce. Odkąd ją mam moje oceny się poprawiają :)
Sara
użytkowniczka iOS
QUIZY I FISZKI SĄ SUPER PRZYDATNE I UWIELBIAM Knowunity AI. TO JEST DOSŁOWNIE JAK CHATGPT ALE MĄDRZEJSZY!! POMÓGŁ MI NAWET Z PROBLEMAMI Z TUSZEM DO RZĘS!! A TAKŻE Z PRAWDZIWYMI PRZEDMIOTAMI! OCZYWIŚCIE 😍😁😲🤑💗✨🎀😮
Krzysztof
użytkownik Android
Bardzo fajna aplikacja. Pomaga przygotować się do sprawdzianu, kartkówki lub odpowiedzi ustnej.
Oliwia
użytkowniczka iOS
Aplikacja jest bardzo prosta i dobrze przemyślana. Do tej pory znalazłem wszystko, czego szukałem i mogłem się wiele nauczyć z innych notatek! Na pewno wykorzystam aplikację do pomocy przy robieniu prac domowych! No i oczywiście bardzo pomaga też jako inspiracja do robienia swoich notatek.
Stefan S
użytkownik iOS
Ta aplikacja jest naprawdę świetna. Jest tak wiele notatek i pomocnych informacji [...]. Moim problematycznym przedmiotem jest język niemiecki, a w aplikacji jest w czym wybierać. Dzięki tej aplikacji poprawiłam swój niemiecki. Polecam ją każdemu.
Samantha Klich
użytkownik Androida
Wow, jestem w szoku. Właśnie wypróbowałam aplikację, ponieważ widziałam ją kilka razy reklamowaną na TikToku jestem absolutnie w szoku. Ta aplikacja jest POMOCĄ, której potrzebujesz w szkole i przede wszystkim oferuje tak wiele rzeczy jak notatki czy streszczenia, które są BARDZO pomocne w moim przypadku.
Anna
użytkownik iOS
Kocham tę aplikację! Pomaga mi w zadaniach domowych, motywuje mnie i polepsza mi dzień. Dzięki tej aplikacji moje oceny się poprawiły. Lepszej aplikacji nie znajdę!🩷
Patrycja
użytkowniczka iOS
Super aplikacja! Ma odpowiedzi na wszystkie zadania. Testuję ją od paru miesięcy i jest po prostu perfekcyjna.
Szymon
użytkownik Android
Super aplikacja do nauki i sprawdzania wiedzy. Można znaleźć notatki z WSZYSTKICH przedmiotów. Polecam tym, którzy celują w oceny 5 i 6 😄
Szymon
użytkownik iOS
Aplikacja jest po prostu świetna! Wystarczy, że wpiszę w pasku wyszukiwania swój temat i od razu mam wyniki. Nie muszę oglądać 10 filmów na YouTube, żeby coś zrozumieć, więc oszczędzam swój czas. Po prostu polecam!
Kuba T
użytkownik Androida
W szkole byłem bardzo kiepski z matematyki, ale dzięki tej aplikacji radzę sobie teraz lepiej. Jestem bardzo wdzięczny, że ją stworzyliście.
Kriss
użytkownik Androida
Korzystam z Knowunity od ponad roku i jest mega! Najlepsze opcje z tej apki: ⭐️ Gotowe notatki ⭐️ Spersonalizowane treści ⭐️ Dostęp do chatu GPT W WERSJI SZKOLNEJ ⭐️ Konwersacje z innymi uczniami 🤍 NAUKA WRESZCIE NIE JEST NUDNA 🤍
Gosia
użytkowniczka Android
Bardzo lubię aplikację Knowunity, ponieważ pomaga mi w nauce. Odkąd ją mam moje oceny się poprawiają :)
Sara
użytkowniczka iOS
QUIZY I FISZKI SĄ SUPER PRZYDATNE I UWIELBIAM Knowunity AI. TO JEST DOSŁOWNIE JAK CHATGPT ALE MĄDRZEJSZY!! POMÓGŁ MI NAWET Z PROBLEMAMI Z TUSZEM DO RZĘS!! A TAKŻE Z PRAWDZIWYMI PRZEDMIOTAMI! OCZYWIŚCIE 😍😁😲🤑💗✨🎀😮
Krzysztof
użytkownik Android
Bardzo fajna aplikacja. Pomaga przygotować się do sprawdzianu, kartkówki lub odpowiedzi ustnej.
Oliwia
użytkowniczka iOS