Ciągi arytmetyczne to kluczowy temat w matematyce, obejmujący wzory, właściwości... Pokaż więcej
Zarejestruj się, aby zobaczyć notatkęTo nic nie kosztuje!
Dostęp do wszystkich materiałów
Popraw swoje oceny
Dołącz do milionów studentów
Knowunity AI
Przedmioty
Triangle Congruence and Similarity Theorems
Triangle Properties and Classification
Linear Equations and Graphs
Geometric Angle Relationships
Trigonometric Functions and Identities
Equation Solving Techniques
Circle Geometry Fundamentals
Division Operations and Methods
Basic Differentiation Rules
Exponent and Logarithm Properties
Pokaż wszystkie tematy
Human Organ Systems
Reproductive Cell Cycles
Biological Sciences Subdisciplines
Cellular Energy Metabolism
Autotrophic Energy Processes
Inheritance Patterns and Principles
Biomolecular Structure and Organization
Cell Cycle and Division Mechanics
Cellular Organization and Development
Biological Structural Organization
Pokaż wszystkie tematy
Chemical Sciences and Applications
Atomic Structure and Composition
Molecular Electron Structure Representation
Atomic Electron Behavior
Matter Properties and Water
Mole Concept and Calculations
Gas Laws and Behavior
Periodic Table Organization
Chemical Thermodynamics Fundamentals
Chemical Bond Types and Properties
Pokaż wszystkie tematy
European Renaissance and Enlightenment
European Cultural Movements 800-1920
American Revolution Era 1763-1797
American Civil War 1861-1865
Global Imperial Systems
Mongol and Chinese Dynasties
U.S. Presidents and World Leaders
Historical Sources and Documentation
World Wars Era and Impact
World Religious Systems
Pokaż wszystkie tematy
Classic and Contemporary Novels
Literary Character Analysis
Rhetorical Theory and Practice
Classic Literary Narratives
Reading Analysis and Interpretation
Narrative Structure and Techniques
English Language Components
Influential English-Language Authors
Basic Sentence Structure
Narrative Voice and Perspective
Pokaż wszystkie tematy
14,177
•
Zaktualizowano May 1, 2026
•
Laura Dziuba
@lauradziuba_elet
Ciągi arytmetyczne to kluczowy temat w matematyce, obejmujący wzory, właściwości... Pokaż więcej






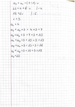
Ta strona skupia się na praktycznym zastosowaniu wzorów ciągu arytmetycznego do rozwiązywania konkretnych zadań.
Example: Kontynuacja przykładu z poprzedniej strony - wstawianie 5 liczb między 4 i 22.
Krok po kroku przedstawiono rozwiązanie:
Highlight: Umiejętność krok po kroku rozwiązywania takich zadań jest kluczowa dla zrozumienia ciągów arytmetycznych.

Ta strona koncentruje się na analizie monotoniczności ciągów, co jest istotnym aspektem ich badania.
Definition: Monotoniczność ciągu określa, czy ciąg jest rosnący, malejący, czy stały.
Przedstawiono dwa przykłady:
Badanie monotoniczności ciągu rosnącego:
Badanie monotoniczności ciągu malejącego:
Highlight: Kluczowym krokiem w badaniu monotoniczności jest porównanie kolejnych wyrazów ciągu.
Vocabulary: Monotoniczność ciągu - właściwość ciągu określająca, czy jego kolejne wyrazy rosną, maleją lub pozostają stałe.

Ta strona kontynuuje temat badania monotoniczności ciągów, skupiając się na ciągach malejących oraz wprowadza koncepcję wykresów ciągów.
Example: Badanie monotoniczności ciągu bn = 2n/
Wprowadzono również temat wykresów ciągów arytmetycznych:
Highlight: Wykres ciągu arytmetycznego tworzy linię prostą, co wynika z stałej różnicy między kolejnymi wyrazami.
Przedstawiono przykładowy wykres ciągu arytmetycznego, ilustrując jak kolejne wyrazy układają się na płaszczyźnie.
Vocabulary: Wykres ciągu - graficzna reprezentacja ciągu, gdzie na osi poziomej zaznacza się numery wyrazów, a na osi pionowej ich wartości.

Ta strona skupia się na praktycznych obliczeniach związanych z ciągami arytmetycznymi.
Example: Obliczanie konkretnego wyrazu ciągu (14, 15, 13, 11, ..., a7)
Highlight: Umiejętność obliczania dowolnego wyrazu ciągu jest kluczowa w pracy z ciągami arytmetycznymi.
Strona zawiera również przypomnienie kluczowych wzorów:
Vocabulary: Różnica ciągu arytmetycznego - stała wartość, o którą każdy kolejny wyraz ciągu jest większy (lub mniejszy) od poprzedniego.

Strona ta przedstawia podstawowe pojęcia i wzory związane z ciągami arytmetycznymi.
Definition: Ciąg arytmetyczny to ciąg liczbowy, w którym różnica między każdymi dwoma kolejnymi wyrazami jest stała.
Kluczowe elementy omówione na tej stronie:
Highlight: Znajomość tych wzorów jest kluczowa dla rozwiązywania zadań związanych z ciągami arytmetycznymi.
Strona zawiera również informacje o wstawianiu określonej liczby wyrazów między dwa dane wyrazy, aby utworzyć ciąg arytmetyczny.
Example: Zadanie polegające na wstawieniu 5 liczb między 4 i 22, aby utworzyć rosnący ciąg arytmetyczny.
Nasz asystent AI jest specjalnie dostosowany do potrzeb uczniów. W oparciu o miliony treści, które mamy na platformie, możemy udzielać uczniom naprawdę znaczących i trafnych odpowiedzi. Ale nie chodzi tylko o odpowiedzi, towarzysz prowadzi również uczniów przez codzienne wyzwania związane z nauką, ze spersonalizowanymi planami nauki, quizami lub treściami na czacie i 100% personalizacją opartą na umiejętnościach i rozwoju uczniów.
Aplikację możesz pobrać z Google Play i Apple Store.
Tak, masz całkowicie darmowy dostęp do wszystkich notatek w aplikacji, możesz w każdej chwili rozmawiać z Ekspertami lub ich obserwować. Możesz użyć punktów, aby odblokować pewne funkcje w aplikacji, które również możesz otrzymać za darmo. Dodatkowo oferujemy usługę Knowunity Premium, która pozwala na odblokowanie większej liczby funkcji.
App Store
Google Play
Aplikacja jest bardzo prosta i dobrze przemyślana. Do tej pory znalazłem wszystko, czego szukałem i mogłem się wiele nauczyć z innych notatek! Na pewno wykorzystam aplikację do pomocy przy robieniu prac domowych! No i oczywiście bardzo pomaga też jako inspiracja do robienia swoich notatek.
Stefan S
użytkownik iOS
Ta aplikacja jest naprawdę świetna. Jest tak wiele notatek i pomocnych informacji [...]. Moim problematycznym przedmiotem jest język niemiecki, a w aplikacji jest w czym wybierać. Dzięki tej aplikacji poprawiłam swój niemiecki. Polecam ją każdemu.
Samantha Klich
użytkownik Androida
Wow, jestem w szoku. Właśnie wypróbowałam aplikację, ponieważ widziałam ją kilka razy reklamowaną na TikToku jestem absolutnie w szoku. Ta aplikacja jest POMOCĄ, której potrzebujesz w szkole i przede wszystkim oferuje tak wiele rzeczy jak notatki czy streszczenia, które są BARDZO pomocne w moim przypadku.
Anna
użytkownik iOS
Kocham tę aplikację! Pomaga mi w zadaniach domowych, motywuje mnie i polepsza mi dzień. Dzięki tej aplikacji moje oceny się poprawiły. Lepszej aplikacji nie znajdę!🩷
Patrycja
użytkowniczka iOS
Super aplikacja! Ma odpowiedzi na wszystkie zadania. Testuję ją od paru miesięcy i jest po prostu perfekcyjna.
Szymon
użytkownik Android
Super aplikacja do nauki i sprawdzania wiedzy. Można znaleźć notatki z WSZYSTKICH przedmiotów. Polecam tym, którzy celują w oceny 5 i 6 😄
Szymon
użytkownik iOS
Aplikacja jest po prostu świetna! Wystarczy, że wpiszę w pasku wyszukiwania swój temat i od razu mam wyniki. Nie muszę oglądać 10 filmów na YouTube, żeby coś zrozumieć, więc oszczędzam swój czas. Po prostu polecam!
Kuba T
użytkownik Androida
W szkole byłem bardzo kiepski z matematyki, ale dzięki tej aplikacji radzę sobie teraz lepiej. Jestem bardzo wdzięczny, że ją stworzyliście.
Kriss
użytkownik Androida
Korzystam z Knowunity od ponad roku i jest mega! Najlepsze opcje z tej apki: ⭐️ Gotowe notatki ⭐️ Spersonalizowane treści ⭐️ Dostęp do chatu GPT W WERSJI SZKOLNEJ ⭐️ Konwersacje z innymi uczniami 🤍 NAUKA WRESZCIE NIE JEST NUDNA 🤍
Gosia
użytkowniczka Android
Bardzo lubię aplikację Knowunity, ponieważ pomaga mi w nauce. Odkąd ją mam moje oceny się poprawiają :)
Sara
użytkowniczka iOS
QUIZY I FISZKI SĄ SUPER PRZYDATNE I UWIELBIAM Knowunity AI. TO JEST DOSŁOWNIE JAK CHATGPT ALE MĄDRZEJSZY!! POMÓGŁ MI NAWET Z PROBLEMAMI Z TUSZEM DO RZĘS!! A TAKŻE Z PRAWDZIWYMI PRZEDMIOTAMI! OCZYWIŚCIE 😍😁😲🤑💗✨🎀😮
Krzysztof
użytkownik Android
Bardzo fajna aplikacja. Pomaga przygotować się do sprawdzianu, kartkówki lub odpowiedzi ustnej.
Oliwia
użytkowniczka iOS
Aplikacja jest bardzo prosta i dobrze przemyślana. Do tej pory znalazłem wszystko, czego szukałem i mogłem się wiele nauczyć z innych notatek! Na pewno wykorzystam aplikację do pomocy przy robieniu prac domowych! No i oczywiście bardzo pomaga też jako inspiracja do robienia swoich notatek.
Stefan S
użytkownik iOS
Ta aplikacja jest naprawdę świetna. Jest tak wiele notatek i pomocnych informacji [...]. Moim problematycznym przedmiotem jest język niemiecki, a w aplikacji jest w czym wybierać. Dzięki tej aplikacji poprawiłam swój niemiecki. Polecam ją każdemu.
Samantha Klich
użytkownik Androida
Wow, jestem w szoku. Właśnie wypróbowałam aplikację, ponieważ widziałam ją kilka razy reklamowaną na TikToku jestem absolutnie w szoku. Ta aplikacja jest POMOCĄ, której potrzebujesz w szkole i przede wszystkim oferuje tak wiele rzeczy jak notatki czy streszczenia, które są BARDZO pomocne w moim przypadku.
Anna
użytkownik iOS
Kocham tę aplikację! Pomaga mi w zadaniach domowych, motywuje mnie i polepsza mi dzień. Dzięki tej aplikacji moje oceny się poprawiły. Lepszej aplikacji nie znajdę!🩷
Patrycja
użytkowniczka iOS
Super aplikacja! Ma odpowiedzi na wszystkie zadania. Testuję ją od paru miesięcy i jest po prostu perfekcyjna.
Szymon
użytkownik Android
Super aplikacja do nauki i sprawdzania wiedzy. Można znaleźć notatki z WSZYSTKICH przedmiotów. Polecam tym, którzy celują w oceny 5 i 6 😄
Szymon
użytkownik iOS
Aplikacja jest po prostu świetna! Wystarczy, że wpiszę w pasku wyszukiwania swój temat i od razu mam wyniki. Nie muszę oglądać 10 filmów na YouTube, żeby coś zrozumieć, więc oszczędzam swój czas. Po prostu polecam!
Kuba T
użytkownik Androida
W szkole byłem bardzo kiepski z matematyki, ale dzięki tej aplikacji radzę sobie teraz lepiej. Jestem bardzo wdzięczny, że ją stworzyliście.
Kriss
użytkownik Androida
Korzystam z Knowunity od ponad roku i jest mega! Najlepsze opcje z tej apki: ⭐️ Gotowe notatki ⭐️ Spersonalizowane treści ⭐️ Dostęp do chatu GPT W WERSJI SZKOLNEJ ⭐️ Konwersacje z innymi uczniami 🤍 NAUKA WRESZCIE NIE JEST NUDNA 🤍
Gosia
użytkowniczka Android
Bardzo lubię aplikację Knowunity, ponieważ pomaga mi w nauce. Odkąd ją mam moje oceny się poprawiają :)
Sara
użytkowniczka iOS
QUIZY I FISZKI SĄ SUPER PRZYDATNE I UWIELBIAM Knowunity AI. TO JEST DOSŁOWNIE JAK CHATGPT ALE MĄDRZEJSZY!! POMÓGŁ MI NAWET Z PROBLEMAMI Z TUSZEM DO RZĘS!! A TAKŻE Z PRAWDZIWYMI PRZEDMIOTAMI! OCZYWIŚCIE 😍😁😲🤑💗✨🎀😮
Krzysztof
użytkownik Android
Bardzo fajna aplikacja. Pomaga przygotować się do sprawdzianu, kartkówki lub odpowiedzi ustnej.
Oliwia
użytkowniczka iOS
Laura Dziuba
@lauradziuba_elet
Ciągi arytmetyczne to kluczowy temat w matematyce, obejmujący wzory, właściwości i zastosowania.

Dostęp do wszystkich materiałów
Popraw swoje oceny
Dołącz do milionów studentów
Ta strona skupia się na praktycznym zastosowaniu wzorów ciągu arytmetycznego do rozwiązywania konkretnych zadań.
Example: Kontynuacja przykładu z poprzedniej strony - wstawianie 5 liczb między 4 i 22.
Krok po kroku przedstawiono rozwiązanie:
Highlight: Umiejętność krok po kroku rozwiązywania takich zadań jest kluczowa dla zrozumienia ciągów arytmetycznych.

Dostęp do wszystkich materiałów
Popraw swoje oceny
Dołącz do milionów studentów
Ta strona koncentruje się na analizie monotoniczności ciągów, co jest istotnym aspektem ich badania.
Definition: Monotoniczność ciągu określa, czy ciąg jest rosnący, malejący, czy stały.
Przedstawiono dwa przykłady:
Badanie monotoniczności ciągu rosnącego:
Badanie monotoniczności ciągu malejącego:
Highlight: Kluczowym krokiem w badaniu monotoniczności jest porównanie kolejnych wyrazów ciągu.
Vocabulary: Monotoniczność ciągu - właściwość ciągu określająca, czy jego kolejne wyrazy rosną, maleją lub pozostają stałe.

Dostęp do wszystkich materiałów
Popraw swoje oceny
Dołącz do milionów studentów
Ta strona kontynuuje temat badania monotoniczności ciągów, skupiając się na ciągach malejących oraz wprowadza koncepcję wykresów ciągów.
Example: Badanie monotoniczności ciągu bn = 2n/
Wprowadzono również temat wykresów ciągów arytmetycznych:
Highlight: Wykres ciągu arytmetycznego tworzy linię prostą, co wynika z stałej różnicy między kolejnymi wyrazami.
Przedstawiono przykładowy wykres ciągu arytmetycznego, ilustrując jak kolejne wyrazy układają się na płaszczyźnie.
Vocabulary: Wykres ciągu - graficzna reprezentacja ciągu, gdzie na osi poziomej zaznacza się numery wyrazów, a na osi pionowej ich wartości.

Dostęp do wszystkich materiałów
Popraw swoje oceny
Dołącz do milionów studentów
Ta strona skupia się na praktycznych obliczeniach związanych z ciągami arytmetycznymi.
Example: Obliczanie konkretnego wyrazu ciągu (14, 15, 13, 11, ..., a7)
Highlight: Umiejętność obliczania dowolnego wyrazu ciągu jest kluczowa w pracy z ciągami arytmetycznymi.
Strona zawiera również przypomnienie kluczowych wzorów:
Vocabulary: Różnica ciągu arytmetycznego - stała wartość, o którą każdy kolejny wyraz ciągu jest większy (lub mniejszy) od poprzedniego.

Dostęp do wszystkich materiałów
Popraw swoje oceny
Dołącz do milionów studentów
Strona ta przedstawia podstawowe pojęcia i wzory związane z ciągami arytmetycznymi.
Definition: Ciąg arytmetyczny to ciąg liczbowy, w którym różnica między każdymi dwoma kolejnymi wyrazami jest stała.
Kluczowe elementy omówione na tej stronie:
Highlight: Znajomość tych wzorów jest kluczowa dla rozwiązywania zadań związanych z ciągami arytmetycznymi.
Strona zawiera również informacje o wstawianiu określonej liczby wyrazów między dwa dane wyrazy, aby utworzyć ciąg arytmetyczny.
Example: Zadanie polegające na wstawieniu 5 liczb między 4 i 22, aby utworzyć rosnący ciąg arytmetyczny.
Nasz asystent AI jest specjalnie dostosowany do potrzeb uczniów. W oparciu o miliony treści, które mamy na platformie, możemy udzielać uczniom naprawdę znaczących i trafnych odpowiedzi. Ale nie chodzi tylko o odpowiedzi, towarzysz prowadzi również uczniów przez codzienne wyzwania związane z nauką, ze spersonalizowanymi planami nauki, quizami lub treściami na czacie i 100% personalizacją opartą na umiejętnościach i rozwoju uczniów.
Aplikację możesz pobrać z Google Play i Apple Store.
Tak, masz całkowicie darmowy dostęp do wszystkich notatek w aplikacji, możesz w każdej chwili rozmawiać z Ekspertami lub ich obserwować. Możesz użyć punktów, aby odblokować pewne funkcje w aplikacji, które również możesz otrzymać za darmo. Dodatkowo oferujemy usługę Knowunity Premium, która pozwala na odblokowanie większej liczby funkcji.
446
Inteligentne Narzędzia NOWE
Przekształć te notatki w: ✓ 50+ Pytań Testowych ✓ Interaktywne Fiszki ✓ Pełny egzamin próbny ✓ Plany Eseju
Zbiór zadań maturalnych z matematyki na poziomie podstawowym z maja 2023 roku. Obejmuje zagadnienia takie jak funkcje, geometria, obliczanie objętości i pól powierzchni, a także działania na potęgach i rozwiązywanie nierówności. Idealne materiały do nauki i powtórki przed maturą.
Zrozumienie ciągów arytmetycznych i geometrycznych: definicje, wzory, oraz przykłady. Dowiedz się, jak obliczać sumy i rozpoznawać monotoniczność ciągów. Idealne dla uczniów przygotowujących się do egzaminów z matematyki.
Praktyczne zadania dotyczące liczb rzeczywistych i wyrażeń algebraicznych, oparte na zbiorze zadań maturalnych Nowa Teraz Matura z matematyki na poziomie podstawowym. Zawiera szczegółowe rozwiązania, pytania oraz odpowiedzi, które pomogą w przygotowaniach do egzaminu. Idealne dla uczniów pragnących poprawić swoje umiejętności w matematyce.
Zrozumienie monotoniczności ciągów matematycznych, w tym definicje ciągów rosnących, malejących oraz ich właściwości. Obejmuje wzory rekurencyjne i przykłady. Idealne dla uczniów przygotowujących się do egzaminów z matematyki.
Zrozum podstawowe operacje na potęgach, w tym wzory i przykłady dotyczące potęg całkowitych oraz ułamkowych. Ten materiał edukacyjny zawiera kluczowe informacje na temat rozkładu potęg, działań na potęgach oraz zastosowania wzorów matematycznych. Idealne dla uczniów przygotowujących się do egzaminów z matematyki.
Praktyczny przewodnik po zadaniach dotyczących ciągów geometrycznych. Dowiedz się, jak obliczać iloraz, wyrazy oraz rozwiązywać problemy maturalne krok po kroku. Idealne dla uczniów przygotowujących się do egzaminów. Tematy obejmują operacje na potęgach, ciągi oraz granice ciągów.
App Store
Google Play
Aplikacja jest bardzo prosta i dobrze przemyślana. Do tej pory znalazłem wszystko, czego szukałem i mogłem się wiele nauczyć z innych notatek! Na pewno wykorzystam aplikację do pomocy przy robieniu prac domowych! No i oczywiście bardzo pomaga też jako inspiracja do robienia swoich notatek.
Stefan S
użytkownik iOS
Ta aplikacja jest naprawdę świetna. Jest tak wiele notatek i pomocnych informacji [...]. Moim problematycznym przedmiotem jest język niemiecki, a w aplikacji jest w czym wybierać. Dzięki tej aplikacji poprawiłam swój niemiecki. Polecam ją każdemu.
Samantha Klich
użytkownik Androida
Wow, jestem w szoku. Właśnie wypróbowałam aplikację, ponieważ widziałam ją kilka razy reklamowaną na TikToku jestem absolutnie w szoku. Ta aplikacja jest POMOCĄ, której potrzebujesz w szkole i przede wszystkim oferuje tak wiele rzeczy jak notatki czy streszczenia, które są BARDZO pomocne w moim przypadku.
Anna
użytkownik iOS
Kocham tę aplikację! Pomaga mi w zadaniach domowych, motywuje mnie i polepsza mi dzień. Dzięki tej aplikacji moje oceny się poprawiły. Lepszej aplikacji nie znajdę!🩷
Patrycja
użytkowniczka iOS
Super aplikacja! Ma odpowiedzi na wszystkie zadania. Testuję ją od paru miesięcy i jest po prostu perfekcyjna.
Szymon
użytkownik Android
Super aplikacja do nauki i sprawdzania wiedzy. Można znaleźć notatki z WSZYSTKICH przedmiotów. Polecam tym, którzy celują w oceny 5 i 6 😄
Szymon
użytkownik iOS
Aplikacja jest po prostu świetna! Wystarczy, że wpiszę w pasku wyszukiwania swój temat i od razu mam wyniki. Nie muszę oglądać 10 filmów na YouTube, żeby coś zrozumieć, więc oszczędzam swój czas. Po prostu polecam!
Kuba T
użytkownik Androida
W szkole byłem bardzo kiepski z matematyki, ale dzięki tej aplikacji radzę sobie teraz lepiej. Jestem bardzo wdzięczny, że ją stworzyliście.
Kriss
użytkownik Androida
Korzystam z Knowunity od ponad roku i jest mega! Najlepsze opcje z tej apki: ⭐️ Gotowe notatki ⭐️ Spersonalizowane treści ⭐️ Dostęp do chatu GPT W WERSJI SZKOLNEJ ⭐️ Konwersacje z innymi uczniami 🤍 NAUKA WRESZCIE NIE JEST NUDNA 🤍
Gosia
użytkowniczka Android
Bardzo lubię aplikację Knowunity, ponieważ pomaga mi w nauce. Odkąd ją mam moje oceny się poprawiają :)
Sara
użytkowniczka iOS
QUIZY I FISZKI SĄ SUPER PRZYDATNE I UWIELBIAM Knowunity AI. TO JEST DOSŁOWNIE JAK CHATGPT ALE MĄDRZEJSZY!! POMÓGŁ MI NAWET Z PROBLEMAMI Z TUSZEM DO RZĘS!! A TAKŻE Z PRAWDZIWYMI PRZEDMIOTAMI! OCZYWIŚCIE 😍😁😲🤑💗✨🎀😮
Krzysztof
użytkownik Android
Bardzo fajna aplikacja. Pomaga przygotować się do sprawdzianu, kartkówki lub odpowiedzi ustnej.
Oliwia
użytkowniczka iOS
Aplikacja jest bardzo prosta i dobrze przemyślana. Do tej pory znalazłem wszystko, czego szukałem i mogłem się wiele nauczyć z innych notatek! Na pewno wykorzystam aplikację do pomocy przy robieniu prac domowych! No i oczywiście bardzo pomaga też jako inspiracja do robienia swoich notatek.
Stefan S
użytkownik iOS
Ta aplikacja jest naprawdę świetna. Jest tak wiele notatek i pomocnych informacji [...]. Moim problematycznym przedmiotem jest język niemiecki, a w aplikacji jest w czym wybierać. Dzięki tej aplikacji poprawiłam swój niemiecki. Polecam ją każdemu.
Samantha Klich
użytkownik Androida
Wow, jestem w szoku. Właśnie wypróbowałam aplikację, ponieważ widziałam ją kilka razy reklamowaną na TikToku jestem absolutnie w szoku. Ta aplikacja jest POMOCĄ, której potrzebujesz w szkole i przede wszystkim oferuje tak wiele rzeczy jak notatki czy streszczenia, które są BARDZO pomocne w moim przypadku.
Anna
użytkownik iOS
Kocham tę aplikację! Pomaga mi w zadaniach domowych, motywuje mnie i polepsza mi dzień. Dzięki tej aplikacji moje oceny się poprawiły. Lepszej aplikacji nie znajdę!🩷
Patrycja
użytkowniczka iOS
Super aplikacja! Ma odpowiedzi na wszystkie zadania. Testuję ją od paru miesięcy i jest po prostu perfekcyjna.
Szymon
użytkownik Android
Super aplikacja do nauki i sprawdzania wiedzy. Można znaleźć notatki z WSZYSTKICH przedmiotów. Polecam tym, którzy celują w oceny 5 i 6 😄
Szymon
użytkownik iOS
Aplikacja jest po prostu świetna! Wystarczy, że wpiszę w pasku wyszukiwania swój temat i od razu mam wyniki. Nie muszę oglądać 10 filmów na YouTube, żeby coś zrozumieć, więc oszczędzam swój czas. Po prostu polecam!
Kuba T
użytkownik Androida
W szkole byłem bardzo kiepski z matematyki, ale dzięki tej aplikacji radzę sobie teraz lepiej. Jestem bardzo wdzięczny, że ją stworzyliście.
Kriss
użytkownik Androida
Korzystam z Knowunity od ponad roku i jest mega! Najlepsze opcje z tej apki: ⭐️ Gotowe notatki ⭐️ Spersonalizowane treści ⭐️ Dostęp do chatu GPT W WERSJI SZKOLNEJ ⭐️ Konwersacje z innymi uczniami 🤍 NAUKA WRESZCIE NIE JEST NUDNA 🤍
Gosia
użytkowniczka Android
Bardzo lubię aplikację Knowunity, ponieważ pomaga mi w nauce. Odkąd ją mam moje oceny się poprawiają :)
Sara
użytkowniczka iOS
QUIZY I FISZKI SĄ SUPER PRZYDATNE I UWIELBIAM Knowunity AI. TO JEST DOSŁOWNIE JAK CHATGPT ALE MĄDRZEJSZY!! POMÓGŁ MI NAWET Z PROBLEMAMI Z TUSZEM DO RZĘS!! A TAKŻE Z PRAWDZIWYMI PRZEDMIOTAMI! OCZYWIŚCIE 😍😁😲🤑💗✨🎀😮
Krzysztof
użytkownik Android
Bardzo fajna aplikacja. Pomaga przygotować się do sprawdzianu, kartkówki lub odpowiedzi ustnej.
Oliwia
użytkowniczka iOS