Logarytmy są kluczowym tematem w matematyce, obejmującym definicje, własności i... Pokaż więcej
Zarejestruj się, aby zobaczyć notatkęTo nic nie kosztuje!
Dostęp do wszystkich materiałów
Popraw swoje oceny
Dołącz do milionów studentów
Knowunity AI
Przedmioty
Triangle Congruence and Similarity Theorems
Triangle Properties and Classification
Linear Equations and Graphs
Geometric Angle Relationships
Trigonometric Functions and Identities
Equation Solving Techniques
Circle Geometry Fundamentals
Division Operations and Methods
Basic Differentiation Rules
Exponent and Logarithm Properties
Pokaż wszystkie tematy
Human Organ Systems
Reproductive Cell Cycles
Biological Sciences Subdisciplines
Cellular Energy Metabolism
Autotrophic Energy Processes
Inheritance Patterns and Principles
Biomolecular Structure and Organization
Cell Cycle and Division Mechanics
Cellular Organization and Development
Biological Structural Organization
Pokaż wszystkie tematy
Chemical Sciences and Applications
Atomic Structure and Composition
Molecular Electron Structure Representation
Atomic Electron Behavior
Matter Properties and Water
Mole Concept and Calculations
Gas Laws and Behavior
Periodic Table Organization
Chemical Thermodynamics Fundamentals
Chemical Bond Types and Properties
Pokaż wszystkie tematy
European Renaissance and Enlightenment
European Cultural Movements 800-1920
American Revolution Era 1763-1797
American Civil War 1861-1865
Global Imperial Systems
Mongol and Chinese Dynasties
U.S. Presidents and World Leaders
Historical Sources and Documentation
World Wars Era and Impact
World Religious Systems
Pokaż wszystkie tematy
Classic and Contemporary Novels
Literary Character Analysis
Rhetorical Theory and Practice
Classic Literary Narratives
Reading Analysis and Interpretation
Narrative Structure and Techniques
English Language Components
Influential English-Language Authors
Basic Sentence Structure
Narrative Voice and Perspective
Pokaż wszystkie tematy
1,813
•
Zaktualizowano May 6, 2026
•
Logarytmy są kluczowym tematem w matematyce, obejmującym definicje, własności i... Pokaż więcej





Ta strona skupia się na praktycznych zastosowaniach logarytmów i ich własnościach. Przedstawiono tu kilka kluczowych przykładów, które ilustrują, jak logarytmy mogą być używane do rozwiązywania równań wykładniczych.
Example: log₂² = 1, ponieważ 2¹ = 2
Highlight: Zrozumienie, że log₁a = 0 dla każdego a > 0, a ≠ 1, jest kluczowe w wielu obliczeniach logarytmicznych.
Strona ta podkreśla również znaczenie logarytmów dziesiętnych, które są szeroko stosowane w praktyce. Własności logarytmów wzory są tu implicite przedstawione poprzez przykłady, co pomaga w zrozumieniu ich praktycznego zastosowania.
Vocabulary: Logarytm dziesiętny to logarytm o podstawie 10, często używany w praktycznych obliczeniach.

Ta strona przedstawia kluczowe własności logarytmów, które są niezbędne do efektywnego operowania na wyrażeniach logarytmicznych. Omówiono tu podstawowe prawa, takie jak dodawanie logarytmów, mnożenie logarytmów, oraz inne istotne reguły.
Definition: log₂(x·y) = log₂x + log₂y - podstawowa zasada dodawania logarytmów o tej samej podstawie.
Example: log₂25 = log₂(5²) = 2·log₂5
Highlight: Zrozumienie tych praw jest kluczowe dla rozwiązywania zadań z logarytmami, szczególnie tych bardziej zaawansowanych.
Strona ta zawiera również praktyczne przykłady zastosowania tych praw, co jest niezwykle pomocne w rozumieniu, jak działania na logarytmach mogą być wykorzystywane w praktyce.
Vocabulary: Funkcja logarytmiczna to funkcja, która przypisuje każdej liczbie dodatniej jej logarytm o określonej podstawie.

Ostatnia strona koncentruje się na ważnym aspekcie pracy z logarytmami - zmianie podstawy. Ta umiejętność jest kluczowa w rozwiązywaniu bardziej złożonych problemów logarytmicznych i algebraicznych.
Definition: Wzór na zmianę podstawy logarytmu: log₂b = (log₃b) / (log₃a)
Example: log₅25 można przekształcić na (log₃25) / (log₃5)
Highlight: Umiejętność zmiany podstawy logarytmu jest szczególnie przydatna, gdy mamy do czynienia z logarytmami o różnych podstawach w jednym równaniu.
Ta strona podkreśla praktyczne zastosowanie tej techniki, co jest niezbędne dla uczniów rozwiązujących zaawansowane zadania z logarytmami. Zrozumienie tego konceptu pozwala na efektywne manipulowanie wyrażeniami logarytmicznymi i rozwiązywanie skomplikowanych równań.
Vocabulary: Działania na logarytmach wzory obejmują nie tylko podstawowe operacje, ale także techniki takie jak zmiana podstawy, co znacznie rozszerza możliwości pracy z logarytmami.

Strona ta wprowadza definicję logarytmu i jego podstawowe cechy. Logarytm jest przedstawiony jako odwrotność potęgowania, co jest kluczowe dla zrozumienia jego natury. Omówiono również specjalne przypadki logarytmów, takie jak logarytm o podstawie równej liczbie logarytmowanej oraz logarytm z jedynki.
Definition: Logarytm liczby dodatniej b przy dodatniej podstawie a to taka liczba x (lub wykładnik), do której należy podnieść podstawę a, aby otrzymać liczbę b.
Example: 4² = 16, więc log₄16 = 2
Highlight: Ważne jest zrozumienie, że podstawa logarytmu musi być dodatnia i różna od 1, a liczba logarytmowana musi być dodatnia.
Vocabulary: Logarytm naturalny to logarytm o podstawie e (liczba Eulera), często oznaczany jako ln.
Strona zawiera również przykłady ilustrujące, kiedy logarytm jest równy 0 oraz inne specjalne przypadki, co jest istotne dla pełnego zrozumienia koncepcji logarytmów.
Nasz asystent AI jest specjalnie dostosowany do potrzeb uczniów. W oparciu o miliony treści, które mamy na platformie, możemy udzielać uczniom naprawdę znaczących i trafnych odpowiedzi. Ale nie chodzi tylko o odpowiedzi, towarzysz prowadzi również uczniów przez codzienne wyzwania związane z nauką, ze spersonalizowanymi planami nauki, quizami lub treściami na czacie i 100% personalizacją opartą na umiejętnościach i rozwoju uczniów.
Aplikację możesz pobrać z Google Play i Apple Store.
Tak, masz całkowicie darmowy dostęp do wszystkich notatek w aplikacji, możesz w każdej chwili rozmawiać z Ekspertami lub ich obserwować. Możesz użyć punktów, aby odblokować pewne funkcje w aplikacji, które również możesz otrzymać za darmo. Dodatkowo oferujemy usługę Knowunity Premium, która pozwala na odblokowanie większej liczby funkcji.
App Store
Google Play
Aplikacja jest bardzo prosta i dobrze przemyślana. Do tej pory znalazłem wszystko, czego szukałem i mogłem się wiele nauczyć z innych notatek! Na pewno wykorzystam aplikację do pomocy przy robieniu prac domowych! No i oczywiście bardzo pomaga też jako inspiracja do robienia swoich notatek.
Stefan S
użytkownik iOS
Ta aplikacja jest naprawdę świetna. Jest tak wiele notatek i pomocnych informacji [...]. Moim problematycznym przedmiotem jest język niemiecki, a w aplikacji jest w czym wybierać. Dzięki tej aplikacji poprawiłam swój niemiecki. Polecam ją każdemu.
Samantha Klich
użytkownik Androida
Wow, jestem w szoku. Właśnie wypróbowałam aplikację, ponieważ widziałam ją kilka razy reklamowaną na TikToku jestem absolutnie w szoku. Ta aplikacja jest POMOCĄ, której potrzebujesz w szkole i przede wszystkim oferuje tak wiele rzeczy jak notatki czy streszczenia, które są BARDZO pomocne w moim przypadku.
Anna
użytkownik iOS
Kocham tę aplikację! Pomaga mi w zadaniach domowych, motywuje mnie i polepsza mi dzień. Dzięki tej aplikacji moje oceny się poprawiły. Lepszej aplikacji nie znajdę!🩷
Patrycja
użytkowniczka iOS
Super aplikacja! Ma odpowiedzi na wszystkie zadania. Testuję ją od paru miesięcy i jest po prostu perfekcyjna.
Szymon
użytkownik Android
Super aplikacja do nauki i sprawdzania wiedzy. Można znaleźć notatki z WSZYSTKICH przedmiotów. Polecam tym, którzy celują w oceny 5 i 6 😄
Szymon
użytkownik iOS
Aplikacja jest po prostu świetna! Wystarczy, że wpiszę w pasku wyszukiwania swój temat i od razu mam wyniki. Nie muszę oglądać 10 filmów na YouTube, żeby coś zrozumieć, więc oszczędzam swój czas. Po prostu polecam!
Kuba T
użytkownik Androida
W szkole byłem bardzo kiepski z matematyki, ale dzięki tej aplikacji radzę sobie teraz lepiej. Jestem bardzo wdzięczny, że ją stworzyliście.
Kriss
użytkownik Androida
Korzystam z Knowunity od ponad roku i jest mega! Najlepsze opcje z tej apki: ⭐️ Gotowe notatki ⭐️ Spersonalizowane treści ⭐️ Dostęp do chatu GPT W WERSJI SZKOLNEJ ⭐️ Konwersacje z innymi uczniami 🤍 NAUKA WRESZCIE NIE JEST NUDNA 🤍
Gosia
użytkowniczka Android
Bardzo lubię aplikację Knowunity, ponieważ pomaga mi w nauce. Odkąd ją mam moje oceny się poprawiają :)
Sara
użytkowniczka iOS
QUIZY I FISZKI SĄ SUPER PRZYDATNE I UWIELBIAM Knowunity AI. TO JEST DOSŁOWNIE JAK CHATGPT ALE MĄDRZEJSZY!! POMÓGŁ MI NAWET Z PROBLEMAMI Z TUSZEM DO RZĘS!! A TAKŻE Z PRAWDZIWYMI PRZEDMIOTAMI! OCZYWIŚCIE 😍😁😲🤑💗✨🎀😮
Krzysztof
użytkownik Android
Bardzo fajna aplikacja. Pomaga przygotować się do sprawdzianu, kartkówki lub odpowiedzi ustnej.
Oliwia
użytkowniczka iOS
Aplikacja jest bardzo prosta i dobrze przemyślana. Do tej pory znalazłem wszystko, czego szukałem i mogłem się wiele nauczyć z innych notatek! Na pewno wykorzystam aplikację do pomocy przy robieniu prac domowych! No i oczywiście bardzo pomaga też jako inspiracja do robienia swoich notatek.
Stefan S
użytkownik iOS
Ta aplikacja jest naprawdę świetna. Jest tak wiele notatek i pomocnych informacji [...]. Moim problematycznym przedmiotem jest język niemiecki, a w aplikacji jest w czym wybierać. Dzięki tej aplikacji poprawiłam swój niemiecki. Polecam ją każdemu.
Samantha Klich
użytkownik Androida
Wow, jestem w szoku. Właśnie wypróbowałam aplikację, ponieważ widziałam ją kilka razy reklamowaną na TikToku jestem absolutnie w szoku. Ta aplikacja jest POMOCĄ, której potrzebujesz w szkole i przede wszystkim oferuje tak wiele rzeczy jak notatki czy streszczenia, które są BARDZO pomocne w moim przypadku.
Anna
użytkownik iOS
Kocham tę aplikację! Pomaga mi w zadaniach domowych, motywuje mnie i polepsza mi dzień. Dzięki tej aplikacji moje oceny się poprawiły. Lepszej aplikacji nie znajdę!🩷
Patrycja
użytkowniczka iOS
Super aplikacja! Ma odpowiedzi na wszystkie zadania. Testuję ją od paru miesięcy i jest po prostu perfekcyjna.
Szymon
użytkownik Android
Super aplikacja do nauki i sprawdzania wiedzy. Można znaleźć notatki z WSZYSTKICH przedmiotów. Polecam tym, którzy celują w oceny 5 i 6 😄
Szymon
użytkownik iOS
Aplikacja jest po prostu świetna! Wystarczy, że wpiszę w pasku wyszukiwania swój temat i od razu mam wyniki. Nie muszę oglądać 10 filmów na YouTube, żeby coś zrozumieć, więc oszczędzam swój czas. Po prostu polecam!
Kuba T
użytkownik Androida
W szkole byłem bardzo kiepski z matematyki, ale dzięki tej aplikacji radzę sobie teraz lepiej. Jestem bardzo wdzięczny, że ją stworzyliście.
Kriss
użytkownik Androida
Korzystam z Knowunity od ponad roku i jest mega! Najlepsze opcje z tej apki: ⭐️ Gotowe notatki ⭐️ Spersonalizowane treści ⭐️ Dostęp do chatu GPT W WERSJI SZKOLNEJ ⭐️ Konwersacje z innymi uczniami 🤍 NAUKA WRESZCIE NIE JEST NUDNA 🤍
Gosia
użytkowniczka Android
Bardzo lubię aplikację Knowunity, ponieważ pomaga mi w nauce. Odkąd ją mam moje oceny się poprawiają :)
Sara
użytkowniczka iOS
QUIZY I FISZKI SĄ SUPER PRZYDATNE I UWIELBIAM Knowunity AI. TO JEST DOSŁOWNIE JAK CHATGPT ALE MĄDRZEJSZY!! POMÓGŁ MI NAWET Z PROBLEMAMI Z TUSZEM DO RZĘS!! A TAKŻE Z PRAWDZIWYMI PRZEDMIOTAMI! OCZYWIŚCIE 😍😁😲🤑💗✨🎀😮
Krzysztof
użytkownik Android
Bardzo fajna aplikacja. Pomaga przygotować się do sprawdzianu, kartkówki lub odpowiedzi ustnej.
Oliwia
użytkowniczka iOS
Logarytmy są kluczowym tematem w matematyce, obejmującym definicje, własności i zastosowania. Własności logarytmów i logarytmy wzory stanowią podstawę do rozwiązywania złożonych problemów matematycznych. Dokument omawia:

Dostęp do wszystkich materiałów
Popraw swoje oceny
Dołącz do milionów studentów
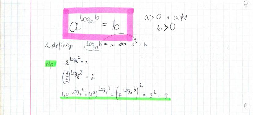
Ta strona skupia się na praktycznych zastosowaniach logarytmów i ich własnościach. Przedstawiono tu kilka kluczowych przykładów, które ilustrują, jak logarytmy mogą być używane do rozwiązywania równań wykładniczych.
Example: log₂² = 1, ponieważ 2¹ = 2
Highlight: Zrozumienie, że log₁a = 0 dla każdego a > 0, a ≠ 1, jest kluczowe w wielu obliczeniach logarytmicznych.
Strona ta podkreśla również znaczenie logarytmów dziesiętnych, które są szeroko stosowane w praktyce. Własności logarytmów wzory są tu implicite przedstawione poprzez przykłady, co pomaga w zrozumieniu ich praktycznego zastosowania.
Vocabulary: Logarytm dziesiętny to logarytm o podstawie 10, często używany w praktycznych obliczeniach.

Dostęp do wszystkich materiałów
Popraw swoje oceny
Dołącz do milionów studentów
Ta strona przedstawia kluczowe własności logarytmów, które są niezbędne do efektywnego operowania na wyrażeniach logarytmicznych. Omówiono tu podstawowe prawa, takie jak dodawanie logarytmów, mnożenie logarytmów, oraz inne istotne reguły.
Definition: log₂(x·y) = log₂x + log₂y - podstawowa zasada dodawania logarytmów o tej samej podstawie.
Example: log₂25 = log₂(5²) = 2·log₂5
Highlight: Zrozumienie tych praw jest kluczowe dla rozwiązywania zadań z logarytmami, szczególnie tych bardziej zaawansowanych.
Strona ta zawiera również praktyczne przykłady zastosowania tych praw, co jest niezwykle pomocne w rozumieniu, jak działania na logarytmach mogą być wykorzystywane w praktyce.
Vocabulary: Funkcja logarytmiczna to funkcja, która przypisuje każdej liczbie dodatniej jej logarytm o określonej podstawie.

Dostęp do wszystkich materiałów
Popraw swoje oceny
Dołącz do milionów studentów
Ostatnia strona koncentruje się na ważnym aspekcie pracy z logarytmami - zmianie podstawy. Ta umiejętność jest kluczowa w rozwiązywaniu bardziej złożonych problemów logarytmicznych i algebraicznych.
Definition: Wzór na zmianę podstawy logarytmu: log₂b = (log₃b) / (log₃a)
Example: log₅25 można przekształcić na (log₃25) / (log₃5)
Highlight: Umiejętność zmiany podstawy logarytmu jest szczególnie przydatna, gdy mamy do czynienia z logarytmami o różnych podstawach w jednym równaniu.
Ta strona podkreśla praktyczne zastosowanie tej techniki, co jest niezbędne dla uczniów rozwiązujących zaawansowane zadania z logarytmami. Zrozumienie tego konceptu pozwala na efektywne manipulowanie wyrażeniami logarytmicznymi i rozwiązywanie skomplikowanych równań.
Vocabulary: Działania na logarytmach wzory obejmują nie tylko podstawowe operacje, ale także techniki takie jak zmiana podstawy, co znacznie rozszerza możliwości pracy z logarytmami.

Dostęp do wszystkich materiałów
Popraw swoje oceny
Dołącz do milionów studentów
Strona ta wprowadza definicję logarytmu i jego podstawowe cechy. Logarytm jest przedstawiony jako odwrotność potęgowania, co jest kluczowe dla zrozumienia jego natury. Omówiono również specjalne przypadki logarytmów, takie jak logarytm o podstawie równej liczbie logarytmowanej oraz logarytm z jedynki.
Definition: Logarytm liczby dodatniej b przy dodatniej podstawie a to taka liczba x (lub wykładnik), do której należy podnieść podstawę a, aby otrzymać liczbę b.
Example: 4² = 16, więc log₄16 = 2
Highlight: Ważne jest zrozumienie, że podstawa logarytmu musi być dodatnia i różna od 1, a liczba logarytmowana musi być dodatnia.
Vocabulary: Logarytm naturalny to logarytm o podstawie e (liczba Eulera), często oznaczany jako ln.
Strona zawiera również przykłady ilustrujące, kiedy logarytm jest równy 0 oraz inne specjalne przypadki, co jest istotne dla pełnego zrozumienia koncepcji logarytmów.
Nasz asystent AI jest specjalnie dostosowany do potrzeb uczniów. W oparciu o miliony treści, które mamy na platformie, możemy udzielać uczniom naprawdę znaczących i trafnych odpowiedzi. Ale nie chodzi tylko o odpowiedzi, towarzysz prowadzi również uczniów przez codzienne wyzwania związane z nauką, ze spersonalizowanymi planami nauki, quizami lub treściami na czacie i 100% personalizacją opartą na umiejętnościach i rozwoju uczniów.
Aplikację możesz pobrać z Google Play i Apple Store.
Tak, masz całkowicie darmowy dostęp do wszystkich notatek w aplikacji, możesz w każdej chwili rozmawiać z Ekspertami lub ich obserwować. Możesz użyć punktów, aby odblokować pewne funkcje w aplikacji, które również możesz otrzymać za darmo. Dodatkowo oferujemy usługę Knowunity Premium, która pozwala na odblokowanie większej liczby funkcji.
36
Inteligentne Narzędzia NOWE
Przekształć te notatki w: ✓ 50+ Pytań Testowych ✓ Interaktywne Fiszki ✓ Pełny egzamin próbny ✓ Plany Eseju
Praktyczne zadania dotyczące logarytmów, obejmujące podstawowe wzory i operacje. Dowiedz się, jak rozwiązywać równania logarytmiczne, przekształcać wyrażenia oraz porównywać logarytmy. Idealne dla uczniów przygotowujących się do egzaminów z matematyki.
Zrozumienie logarytmów: definicje, zasady, kluczowe wzory oraz praktyczne przykłady. Dowiedz się, jak wykonywać operacje na logarytmach, zamieniać podstawy oraz rozwiązywać równania logarytmiczne. Idealne dla uczniów i studentów matematyki.
Zbiór kluczowych wzorów matematycznych, które nie są zawarte w tablicach maturalnych. Obejmuje liczby naturalne, całkowite, wymierne oraz podstawowe zasady dotyczące jednostek miar. Idealne dla uczniów przygotowujących się do matury z matematyki. Dowiedz się więcej o liczbach pierwszych i odwrotnych. Typ: Podsumowanie.
Zrozumienie logarytmów: definicje, zasady i przykłady. Dowiedz się, jak obliczać logarytmy, w tym logarytmy dziesiętne oraz ich zastosowania w matematyce. Idealne dla uczniów przygotowujących się do egzaminów.
Zrozumienie logarytmów i ich właściwości. Ta prezentacja omawia definicję logarytmu, zasady dotyczące logarytmu iloczynu, ilorazu oraz potęgi. Idealna dla uczniów przygotowujących się do egzaminów z matematyki.
Zrozumienie logarytmów: definicje, logarytm dziesiętny, zamiana podstaw oraz działania na logarytmach. Idealne dla uczniów przygotowujących się do egzaminów z matematyki.
App Store
Google Play
Aplikacja jest bardzo prosta i dobrze przemyślana. Do tej pory znalazłem wszystko, czego szukałem i mogłem się wiele nauczyć z innych notatek! Na pewno wykorzystam aplikację do pomocy przy robieniu prac domowych! No i oczywiście bardzo pomaga też jako inspiracja do robienia swoich notatek.
Stefan S
użytkownik iOS
Ta aplikacja jest naprawdę świetna. Jest tak wiele notatek i pomocnych informacji [...]. Moim problematycznym przedmiotem jest język niemiecki, a w aplikacji jest w czym wybierać. Dzięki tej aplikacji poprawiłam swój niemiecki. Polecam ją każdemu.
Samantha Klich
użytkownik Androida
Wow, jestem w szoku. Właśnie wypróbowałam aplikację, ponieważ widziałam ją kilka razy reklamowaną na TikToku jestem absolutnie w szoku. Ta aplikacja jest POMOCĄ, której potrzebujesz w szkole i przede wszystkim oferuje tak wiele rzeczy jak notatki czy streszczenia, które są BARDZO pomocne w moim przypadku.
Anna
użytkownik iOS
Kocham tę aplikację! Pomaga mi w zadaniach domowych, motywuje mnie i polepsza mi dzień. Dzięki tej aplikacji moje oceny się poprawiły. Lepszej aplikacji nie znajdę!🩷
Patrycja
użytkowniczka iOS
Super aplikacja! Ma odpowiedzi na wszystkie zadania. Testuję ją od paru miesięcy i jest po prostu perfekcyjna.
Szymon
użytkownik Android
Super aplikacja do nauki i sprawdzania wiedzy. Można znaleźć notatki z WSZYSTKICH przedmiotów. Polecam tym, którzy celują w oceny 5 i 6 😄
Szymon
użytkownik iOS
Aplikacja jest po prostu świetna! Wystarczy, że wpiszę w pasku wyszukiwania swój temat i od razu mam wyniki. Nie muszę oglądać 10 filmów na YouTube, żeby coś zrozumieć, więc oszczędzam swój czas. Po prostu polecam!
Kuba T
użytkownik Androida
W szkole byłem bardzo kiepski z matematyki, ale dzięki tej aplikacji radzę sobie teraz lepiej. Jestem bardzo wdzięczny, że ją stworzyliście.
Kriss
użytkownik Androida
Korzystam z Knowunity od ponad roku i jest mega! Najlepsze opcje z tej apki: ⭐️ Gotowe notatki ⭐️ Spersonalizowane treści ⭐️ Dostęp do chatu GPT W WERSJI SZKOLNEJ ⭐️ Konwersacje z innymi uczniami 🤍 NAUKA WRESZCIE NIE JEST NUDNA 🤍
Gosia
użytkowniczka Android
Bardzo lubię aplikację Knowunity, ponieważ pomaga mi w nauce. Odkąd ją mam moje oceny się poprawiają :)
Sara
użytkowniczka iOS
QUIZY I FISZKI SĄ SUPER PRZYDATNE I UWIELBIAM Knowunity AI. TO JEST DOSŁOWNIE JAK CHATGPT ALE MĄDRZEJSZY!! POMÓGŁ MI NAWET Z PROBLEMAMI Z TUSZEM DO RZĘS!! A TAKŻE Z PRAWDZIWYMI PRZEDMIOTAMI! OCZYWIŚCIE 😍😁😲🤑💗✨🎀😮
Krzysztof
użytkownik Android
Bardzo fajna aplikacja. Pomaga przygotować się do sprawdzianu, kartkówki lub odpowiedzi ustnej.
Oliwia
użytkowniczka iOS
Aplikacja jest bardzo prosta i dobrze przemyślana. Do tej pory znalazłem wszystko, czego szukałem i mogłem się wiele nauczyć z innych notatek! Na pewno wykorzystam aplikację do pomocy przy robieniu prac domowych! No i oczywiście bardzo pomaga też jako inspiracja do robienia swoich notatek.
Stefan S
użytkownik iOS
Ta aplikacja jest naprawdę świetna. Jest tak wiele notatek i pomocnych informacji [...]. Moim problematycznym przedmiotem jest język niemiecki, a w aplikacji jest w czym wybierać. Dzięki tej aplikacji poprawiłam swój niemiecki. Polecam ją każdemu.
Samantha Klich
użytkownik Androida
Wow, jestem w szoku. Właśnie wypróbowałam aplikację, ponieważ widziałam ją kilka razy reklamowaną na TikToku jestem absolutnie w szoku. Ta aplikacja jest POMOCĄ, której potrzebujesz w szkole i przede wszystkim oferuje tak wiele rzeczy jak notatki czy streszczenia, które są BARDZO pomocne w moim przypadku.
Anna
użytkownik iOS
Kocham tę aplikację! Pomaga mi w zadaniach domowych, motywuje mnie i polepsza mi dzień. Dzięki tej aplikacji moje oceny się poprawiły. Lepszej aplikacji nie znajdę!🩷
Patrycja
użytkowniczka iOS
Super aplikacja! Ma odpowiedzi na wszystkie zadania. Testuję ją od paru miesięcy i jest po prostu perfekcyjna.
Szymon
użytkownik Android
Super aplikacja do nauki i sprawdzania wiedzy. Można znaleźć notatki z WSZYSTKICH przedmiotów. Polecam tym, którzy celują w oceny 5 i 6 😄
Szymon
użytkownik iOS
Aplikacja jest po prostu świetna! Wystarczy, że wpiszę w pasku wyszukiwania swój temat i od razu mam wyniki. Nie muszę oglądać 10 filmów na YouTube, żeby coś zrozumieć, więc oszczędzam swój czas. Po prostu polecam!
Kuba T
użytkownik Androida
W szkole byłem bardzo kiepski z matematyki, ale dzięki tej aplikacji radzę sobie teraz lepiej. Jestem bardzo wdzięczny, że ją stworzyliście.
Kriss
użytkownik Androida
Korzystam z Knowunity od ponad roku i jest mega! Najlepsze opcje z tej apki: ⭐️ Gotowe notatki ⭐️ Spersonalizowane treści ⭐️ Dostęp do chatu GPT W WERSJI SZKOLNEJ ⭐️ Konwersacje z innymi uczniami 🤍 NAUKA WRESZCIE NIE JEST NUDNA 🤍
Gosia
użytkowniczka Android
Bardzo lubię aplikację Knowunity, ponieważ pomaga mi w nauce. Odkąd ją mam moje oceny się poprawiają :)
Sara
użytkowniczka iOS
QUIZY I FISZKI SĄ SUPER PRZYDATNE I UWIELBIAM Knowunity AI. TO JEST DOSŁOWNIE JAK CHATGPT ALE MĄDRZEJSZY!! POMÓGŁ MI NAWET Z PROBLEMAMI Z TUSZEM DO RZĘS!! A TAKŻE Z PRAWDZIWYMI PRZEDMIOTAMI! OCZYWIŚCIE 😍😁😲🤑💗✨🎀😮
Krzysztof
użytkownik Android
Bardzo fajna aplikacja. Pomaga przygotować się do sprawdzianu, kartkówki lub odpowiedzi ustnej.
Oliwia
użytkowniczka iOS